
第一作者:王鑫宇
通讯作者:薛庆忠,田健
通讯单位:山东科技大学
论文DOI:10.1016/j.apcatb.2024.124817
开发用于氮还原反应(NRR)高效合成NH3的光催化剂迫在眉睫,但仍面临巨大挑战。本文采用模板法制备了具有有序多孔纳米通道结构的3D BiVO4光催化剂,优化后的3D BiVO4光催化NH3合成速率显著提高(7.81 mM·h-1·g-1),是块体BiVO4的7.6倍,且稳定性良好。同时,在370和456 nm光照条件下,使用0.2 g光催化剂的3D BiVO4的表观量子产率(AQE)分别为3.65%和2.55%。3D BiVO4通过模板法呈现有序多孔纳米通道结构,增加了入射光的散射和反射,减少了电荷传输距离,增加了比表面积,从而提高了光吸收能力,促进了电荷和质量转移,增加了活性位点。DFT计算证实BiVO4的N2还原通过远端途径进行,活性中心为靠近氧空位的V位点,有利于*NNH和*N中间体的生成,从而促进NRR过程中的加氢动力学。该研究为开发环境友好、高效的固氮光催化剂提供了思路。
氨(NH3)作为重要的化工原料和能源载体,是人类日常生活中不可缺少的一部分。氮气(N2)固定是将空气中的N2转化为NH3,而该过程涉及能量高,动力学复杂,具有挑战性。与使用生物酶、电能、热能等复杂条件的方法相比,利用太阳能、氮气和水作为可再生能源和原料,在常温常压下固定N2合成NH3被称为氨的绿色合成,近年来受到了广泛的关注。尽管大量NRR光催化剂被报道,并表现出良好的催化活性,但由于它们对紫外光吸收有限、光生载流子复合迅速、活性位点缺乏等原因,导致光生载流子浓度低,电子传输速度慢,不能有效参与6电子NRR反应,而且难以吸附和活化N2。因此,设计和开发具有更宽光吸收范围和良好催化活性位点的光催化剂对于显著提高光催化N2固定效率至关重要。
1. 采用模板法制备了具有有序多孔纳米通道结构的3D BiVO4作为光催化剂。
2. 优化后的3D BiVO4表现出显著提高的光催化NH3合成速率(7.81 mM·h-1·g-1)。
3. 3D BiVO4的表观量子产率在370和456 nm条件下分别为3.65%和2.55% 。
4. DFT计算证实BiVO4在靠近氧空位的V位点通过远端途径进行N2固定。

机理1 PMMA微球的合成示意图。

本文通过在聚合甲基丙烯酸甲酯(MMA)单体合成了直径约300nm的PMMA微球(机理1),并以PMMA微球为模板,通过液相合成和煅烧,得到具有有序多孔纳米通道结构的3D BiVO4(机理2)。

X射线衍射(XRD)、X射线光电子能谱(XPS)、拉曼(Raman)和红外(FTIR)光谱证明了具有氧空位的单斜相3D BiVO4的成功制备。其中,XRD主衍射峰的偏移、XPS中OV的出现和EPR证明了氧空位的存在。

采用扫描电子显微镜(SEM)和透射电子显微镜(TEM)对3D BiVO4的微观结构进行表征。图2a为块体BiVO4的SEM,其具有典型的BiVO4多面体形貌,尺寸为0.2~1.1 μm。图2b、2c为3D BiVO4的SEM,3D BiVO4以PMMA微球模板在有机水溶液中制备并经煅烧后表面形成了多级孔道(图2b),这些表面孔径大小为0.3~5 μm和壁厚为0.1~0.2 μm,有利于催化剂表面与反应底物之间的接触。其放大SEM(图2c)表明,3D BiVO4的多级孔道由尺寸为30~80 nm的有序BiVO4纳米粒子和更细的内部孔道组成。相关报道指出有机溶剂对于纳米孔通道的形成至关重要。这种具有内外多级孔道的3D纳米结构可以增加入射光的散射和反射,减少电荷传输距离,增加表面积,从而提高光吸收能力,促进电荷和质量的转移,增加活性位点,最终提高3D BiVO4的光催化活性。3D BiVO4的煅烧温度也影响这种有序多级孔道的形成。较低的煅烧温度可能导致煅烧不充分,形成BiVO4块状和蜂窝结构;较高的煅烧温度可能导致过度结晶,形成较大的不规则块状BiVO4,导致3D结构的破坏,这些都会影响光催化性能(支持信息)。氮吸附实验进一步表征3D BiVO4具有较大的比表面积。3D BiVO4的BET表面积为21.460 m2·g-1,是块体BiVO4的8倍。TEM进一步表征3D BiVO4的微观结构(图2d),3D BiVO4呈现由纳米颗粒组成的多孔形貌。图2e和2f可以进一步观察到0.305 nm晶格条纹,对应于XRD中主布拉格衍射峰的(112)晶面。图2g为3D BiVO4的EDX元素映射图,可见Bi、V和O分布均匀。因此,以上结果进一步证实了通过模板法成功合成了具有有序多孔纳米通道结构的3D BiVO4,用于改善3D BiVO4的光催化性能。

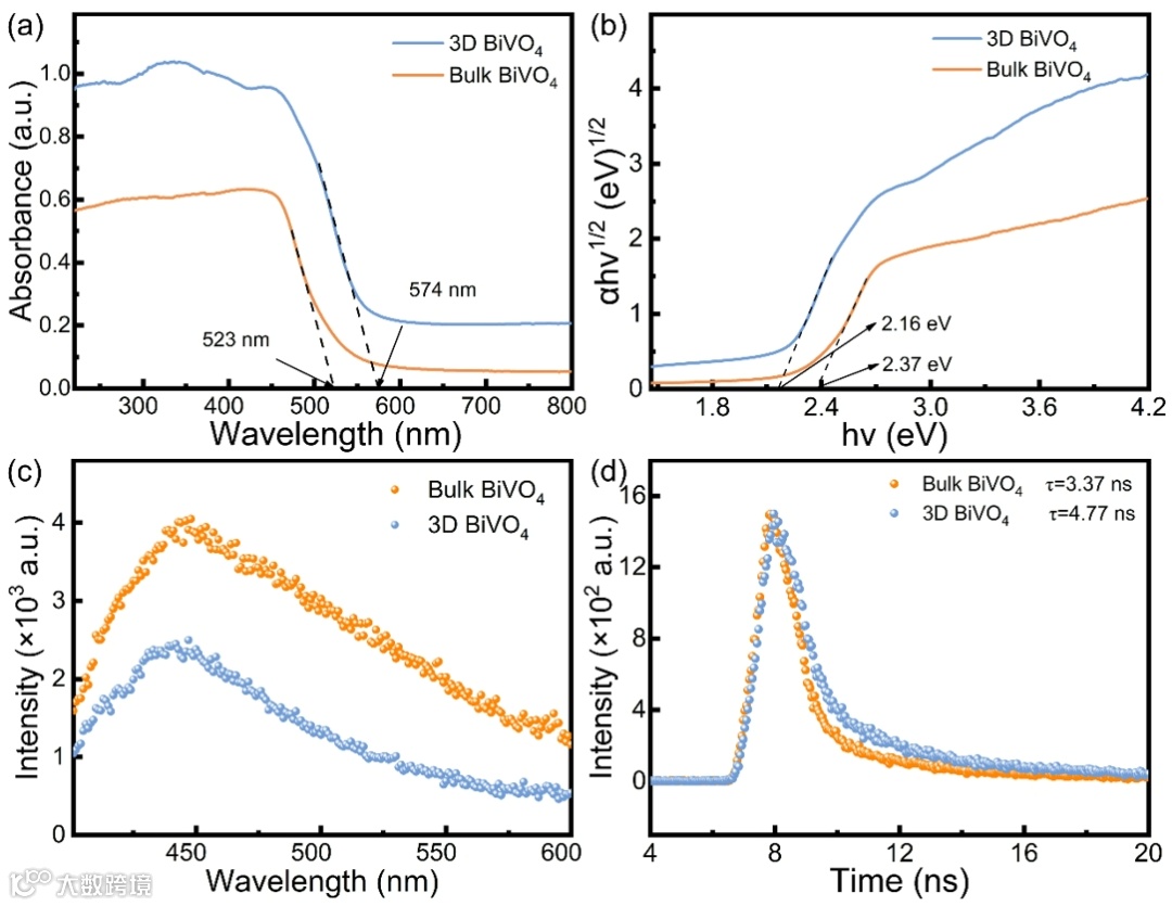
紫外-可见漫反射(DRS)和光致发光(PL)光谱用于表征3D BiVO4的光学性能。3D BiVO4表现出更高的光吸收强度,更广的光吸收范围(图3a),这是因为BiVO4独特的具有多级内外通道的三维纳米结构可以增加入射光的散射和反射,促使材料捕获入射光子,从而增加光生载流子的浓度。根据公式计算得到的带隙能量可知,3D BiVO4的带隙能量值为2.16eV(图3b),其较窄带隙有利于吸收更多可见光,从而促进光催化N2固定。此外,3D BiVO4显示更低的稳态PL强度(图3c)和缓慢衰减时间分辨PL光谱(图3d),表明BiVO4独特的具有内外多级孔的3D纳米结构可以缩短电荷传输距离并抑制光生载流子的复合,使更多的电子能够参与后续的表面化学反应。以上光学结果表明,BiVO4独特的内外多级通道的三维纳米结构可以提高光吸收,提高光生电子浓度;缩短电荷传输距离,抑制光生载流子的复合,提高载流子的利用率,最终提高光催化性能。

瞬态光电流响应(TPR)、线性扫描伏安法(LSV)和电化学阻抗谱(EIS)被用于进一步表征3D BiVO4的光生载流子动力学。3D BiVO4具有增强的光电流响应强度(图4a)、更小的EIS圆弧半径(图4b)和更低的过电位(图4c),这是因为3D BiVO4独特的多孔通道结构可以促进光的散射和反射,提高其光吸收能力,从而增加光生载流子的浓度;可以缩短电荷和材料的传输距离;对表面化学反应具有更强的氧化还原能力。这些结果都证明了3D BiVO4独特的多孔通道结构可以产生更多的光生载流子,缩短电荷和物质传输距离,促进表面化学反应,从而提高光催化活性。为了确定3D BiVO4的能带结构,进行了不同频率下的莫特-肖特基(MS)测试。3D BiVO4具有更负的导带电位,代表更强的表面化学反应的还原能力。

在带有420 nm可见光截止滤光片的300 W Xe灯照射下,以甲醇为牺牲剂,1 wt.% Pt为助催化剂,对3D BiVO4的光催化N2固定活性进行测试。为了比较煅烧温度对光催化活性的影响,对不同阶段煅烧温度下获得的3D BiVO4进行了光催化N2固定测试。3D BiVO4在275和425 oC两段煅烧后的光催化活性最好(7.81 mM·h-1·g-1,图5a和5b),这对应于支持信息中3D BiVO4由于不充分或过度煅烧导致形貌改变,从而影响光催化性能。3D BiVO4优异的光催化性能来自于通过模板法形成的有序多孔纳米通道结构以及合成过程中氧空位的形成。退火温度影响PMMA微球模板的煅烧和消除,改变3D BiVO4的形貌,从而影响光催化性能。采用标准离子色谱进一步验证Nessler试剂检测的结果,3D BiVO4的NH4+产率为7.85 mM·h-1·g-1,与相关文献描述一致。为了直观地展示3D BiVO4光催化N2固定效率,结合相关标准,在370和456 nm单波长辐照下测试了0.2 g催化剂的表观量子效率(AQE)。3D BiVO4在370和456 nm处的AQE分别为3.65%和2.55%,与DRS吻合较好。以上结果表明3D BiVO4具有优异的光催化N2固定活性,这归因于上述表征和测试中获得的共同结果。3D BiVO4的对照实验证明检测到的NH4+来自于以水和N2为原料在光照下发生的3D BiVO4光催化固定N2反应。此外,在3D BiVO4的光催化产物中没有检测到N2H4副产物。进行光催化固定N2循环测试以证明3D BiVO4的稳定性(图5d),反应后光催化剂保持了多孔通道结构(支持信息)。

为探究BiVO4在N2还原反应中活性位点,采用DFT计算研究其反应路径。XPS和EPR证明了3D BiVO4具有更多的氧空位,相关文献报道氧空位的存在可以改变局域电子态,促进N2吸附。选择了XRD和TEM暴露的(112)面为主要研究晶面,研究该面上氧空位的形成能(图6a),OV6形成氧空位的能量最低。在OV6相邻的4个Bi位点及V位点进行N2吸附计算(图6b),V2位点对N2表现出较好的吸附能。进一步计算了VO-BiVO4上V位点的N2途径的吉布斯自由能(ΔG)。N2吸附在BiVO4的V位点上,第三步加氢生成*NH-NH2的交替途径的电位决定步骤(PDS)低于远端途径,因此BiVO4倾向于交替途径加氢(图6c)。N2吸附在VO-BiVO4的V位点上,第三步加氢生成*N+NH3的远端途径的速率决定步骤PDS低于交替途径,因此VO-BiVO4倾向于远端途径加氢(图6d)。为了更好的比较,BiVO4在第一步加氢过程中需要更多的能量,不利于N2的还原过程,因此VO-BiVO4最佳途径为远端途径,其PDS步骤为1.05 eV的第三步加氢*N+NH3(图6f)。DFT计算表明,VO-BiVO4通过远端途径进行N2固定,活性中心为靠近氧空位的V位,有利于*NNH和*N中间体的生成,从而促进NRR过程中的加氢动力学。

基于以上分析与计算,提出的3D BiVO4用于光催化固定N2机理(方案3)。首先,在可见光照射下,3D BiVO4吸收可见光光子,其能量Ehv高于带隙能量Eg,于是光生电子被激发,产生光生空穴;电子由VB激发到CB,移动到催化剂表面氧空位附近的V位,通过远端途径参与N2还原反应,生成NH3;空穴在电子迁移的作用下迁移到3D BiVO4表面,与甲醇发生反应生成氧化产物。在此过程中,通过模板法制备的3D BiVO4有序多孔纳米通道结构,增加了对入射光的散射和反射,减少了电荷传输距离,增加了比表面积,从而提高了光吸收能力,促进了电荷和质量的转移,增加了活性位点。活性中心为靠近氧空位的V位,有利于*NNH和*N中间体的生成,从而促进NRR过程中的加氢动力学,该研究为开发环境友好、高效的固氮光催化剂提供了思路。
本工作采用模板法制备了细化多孔3D BiVO4纳米通道结构作为光催化剂,优化后的3D BiVO4光催化NH3合成速率显著提高(7.81 mM·h-1·g-1),且稳定性良好。同时,在370和456 nm光照条件下,使用0.2 g光催化剂制备的3D BiVO4的AQE分别为3.65%和2.55%。通过模板法合成的3D BiVO4呈现出有序的多孔纳米通道结构,增加了入射光的散射和反射,减少了电荷传输距离,增加了比表面积,从而提高了光吸收能力,促进了电荷和质量的转移,增加了活性位点。DFT计算证实BiVO4通过远端途径进行N2固定,活性中心为靠近氧空位的V位,有利于*NNH和*N中间体的生成,从而促进NRR过程中的加氢动力学。该研究为开发环境友好、高效的固氮光催化剂提供了思路。
Structural regulation of three-dimensional bismuth vanadate nanochannels for excellent visible light photocatalytic nitrogen fixation, Applied Catalysis B: Environment and Energy
https://doi.org/10.1016/j.apcatb.2024.124817
欢迎关注我们,订阅更多最新消息
“邃瞳科学云”推出专业的自然科学直播服务啦!不仅直播团队专业,直播画面出色,而且传播渠道多,宣传效果佳。
“邃瞳科学云"平台正在收集、整理各类学术会议信息,欢迎学会、期刊、会议组织方择优在邃瞳平台上进行线上直播,希望藉此帮助广大科研人员跨越时空的限制,实现自由、畅通地交流互动。欢迎老师同学们提供会议信息(会有礼品赠送),学会、期刊、会议组织方商谈合作,均请联系18612651915(微信同)。
投稿、荐稿、爆料:Editor@scisight.cn