
第一作者:张继方,张欣源
通讯作者:尹华杰,赵惠军
通讯单位:中国科学院合肥物质科学研究院固体物理研究所,澳大利亚格里菲斯大学
论文DOI:10.1002/adma.202413949
酯化反应在诸如化工、香料和制药等行业中起着关键作用,然而,由于其较高的可逆性和较低的反应活性,常常面临诸多限制,致使产率受限。在本研究中,中国科学院合肥物质科学研究院固体物理所尹华杰研究团队,提出了一种利用焦耳热界面催化(JIC)系统的电气化酯化途径,其中在碳毡(CF)上生长的亲水性磺酸官能化共价有机框架(COF-SO3H@CF)充当界面催化剂,碳毡作为电热源。在加热功率密度为0.49 W cm−3时,乙酸的转化率可达80.5%,是理论平衡极限的1.29倍(62.5%)。综合分析表明,电热源与 COF-SO3H 催化剂的紧密接触能够在催化位点上实现高效、局部的焦耳加热,最大限度地减少了热损失,并实现对反应界面的精确控制。这一结果表明,该JIC系统不仅提高了酯化效率,而且为实现高收率化学过程提供可持续的、节能的途径。
焦耳加热作为一种新兴的电热辅助手段,已展现出均匀的热场和精确的温度调控。此外,还具有卓越的电热转换效率和出色的加热速率,已应用在各种常规反应(如甲烷重整/热解、二氧化碳还原以及废塑料回收)中。然而,电热驱动反应技术在精细化学品生产方面的应用依旧受限。酯化反应在化学、香料和制药等领域中具有极为重要的意义。这一反应的实用性却因其高可逆性和低活性而受到挑战,致使总体收率受到限制。例如,在传统的乙酸乙酯(EA)生产过程中,反应物摩尔比(乙醇:乙酸)为 1:1时,乙酸(AcOH)的平衡转化率仅能达到 62.5%。为提高平衡转化率,往往需要额外的试剂,比如过量的乙醇(EtOH)或者甲苯。此外,酯化反应通常需要在较高温度(60 - 225°C)下进行,以加快反应动力学(图1a)。然而,这些策略存在一些弊端,成本增加、产品分离困难以及显著的能耗等问题。因此,提出一种基于焦耳加热界面催化(JIC)系统的电催化酯化方法(图1b)。与传统的体相加热(CBH)系统相比,JIC系统巧妙地将界面催化与焦耳加热蒸发技术结合起来,以高效地促进酯化反应。

图1. a) 传统体相加热(CBH)系统,b) 用于电气化酯化反应的焦耳加热界面催化(JIC)系统。
1. 提出了一种新颖的焦耳加热界面催化(JIC)系统,该系统将界面催化与焦耳加热蒸发巧妙地结合在一起,以高效地促进酯化反应。JIC系统快速热响应和精确温度控制最大限度地提高了加热效率并降低了能耗。
2. 采用水热法在碳毡(CF)基底上原位生长COF-SO3H催化剂,为酯化反应提供了丰富的酸位点。
3. 在反应物摩尔比为1:1、加热功率密度为0.49 W cm−3时,乙酸的转化率可达80.5%,是理论平衡极限的1.29倍(62.5%)。
4. 通过系统的实验和理论计算,揭示了 JIC 系统中打破酯化反应化学平衡转化率的关键因素。

图2. COF-SO3H@CF催化剂的制备工艺示意图。
图3. COF-SO3H@CF催化剂的表征。a-c) COF-SO3H@CF催化剂的SEM图和插图(插图为COF-SO3H@CF的光学图像),d) TEM-EDS图,e) FT-IR光谱,f) XPS测量光谱和g) 13C NMR光谱。
图2-3显示,通过简单的水热法成功地在碳毡上原位生长了COF-SO3H催化剂,为酯化反应提供了丰富的酸位点。

图4. 以COF-SO3H@CF为催化剂的JIC系统的电热特性及模拟研究。a) 温度-功率密度关系,b) JIC系统温度响应,c) JIC系统加热过程红外热像图,d-e) JIC系统三维模型,x表示石墨纸电极与COF-SO3H@CF的接触高度,f) 不同接触高度下COF-SO3H@CF的最高表面温度和体相溶液温度,g) JIC系统温度场三维模拟图像。
图4表明,COF-SO3H@CF具有卓越的电热转换性能和优异的加热速率。通过有限元模拟优化加热区域,以扩大催化剂有效的加热面积,同时能最大限度地减少热能耗散。当接触高度 x = 12 mm 时达到目标反应温度 355 K。该高度下体相溶液的温度波动很小,可以忽略不计。

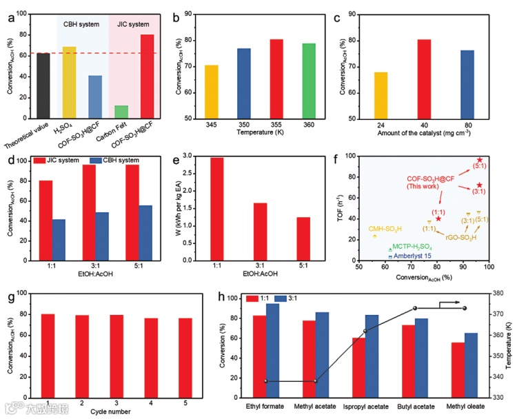
图5. 电气化酯化反应性能评估。a) 在不同催化剂上AcOH的转化率,反应条件:0.1 mol AcOH, 0.1 mol EtOH, T = 355 K,反应时间= 6 h,b) 不同反应温度,c) 不同催化剂负载量,d) 不同反应物摩尔比,e) JIC系统在不同反应物摩尔比下的能耗(kgEA),f) 与所报道的催化剂进行AcOH转化率和TOF值的比较,g) COF-SO3H@CF在JIC系统中进行了5次稳定性测试,h) JIC系统中不同反应物的转化率。
图5显示,反应物摩尔比为1:1时,采用COF-SO3H@CF作催化剂,乙酸的转化效率高达80.5%,超过了理论平衡的转化率(62.5%)和浓硫酸催化的转化率(68.9%),优异的转化性能凸显了COF-SO3H催化剂在提升催化性能方面所具有的显著优越性。增加反应物摩尔比可以提高乙酸的平衡转化率,特别是在比例超过3:1(EtOH:AcOH)时,平衡转化率超过96%。此外,采用 COF-SO3H@CF 催化剂的 JIC 系统大幅降低了酯化反应的能耗。该系统应用于不同反应物的酯化反应时,亦展现出良好的性能。

图6. JIC系统的机理研究。在a) 320 K和b) 350 K时,不同系统中EtOH和EA的质量变化(红色代表EA,蓝色代表EtOH),c) 在320或350 K下,两种系统中EtOH和EA的蒸发速率,d) EtOH 和 e) EA 在 COF-SO3H上的最优结构,f) JIC系统中产生的蒸汽的 GC 色谱图。
图6表明,COF-SO3H中的-SO3H基团与EtOH中的-OH基团之间强的静电相互作用和氢键增加了EtOH与COF-SO3H之间的结合强度,从而减少了EtOH的蒸发。因此,在催化界面处,产物更容易从活性位点解离,而反应物可以维持较高的浓度,从而有利于酯化反应的正向进行。
本文通过简单的水热法成功制备了具有丰富酸性位点的COF-SO3H@CF催化剂,并将其应用于构建电气化酯化反应的JIC系统中,实现了高转化率和高能效。通过优化酯化反应条件,在加热功率密度为0.49 W cm−3时,无需添加额外的试剂,乙酸的转化率高达80.5%,突破了酯化反应的化学平衡极限。综合有限元模拟、蒸发速率实验、原位ATR-SEIRAS光谱和DFT计算等分析表明,催化界面的焦耳加热效应促进了JIC系统中产物的快速蒸发,使得催化剂位点周围反应物浓度维持在较高水平,而产物浓度处于较低水平,从而加速酯化过程。该工作不仅显著提高了酯化反应的平衡转化率,而且降低了能耗。
Joule-Heated Interfacial Catalysis for Advanced Electrified Esterification with High Conversion and Energy Efficiency. Adv. Mater. 2024, 2413949.
尹华杰,研究员,博士生导师,2021年2月加入中国科学院固体物理研究所,入选国家高层次人才青年项目。从事清洁能源器件所需的高效催化剂与电极材料设计与合成,及相应催化机理研究;同时涉及光电化学,光催化合成等领域。以第一作者/通讯作者在Chem. Soc. Rev.、Nat. Energy.、Nat. Commun.、Matter、Adv. Mater.、Adv. Energy Mater.、ACS Nano等重要期刊发表论文90余篇、总被引用13000余次。课题组常年招收硕士、博士、博士后和访问学者,热忱欢迎加入!
赵惠军,澳大利亚科学院、工程院两院院士,澳大利亚格里菲斯大学催化与清洁能源中心创始主任,英国皇家化学会会士,澳大利亚皇家化学会会士。研究兴趣主要集中在能源和环境纳米材料、水源控制与管理、场传感技术和水环境质量评估方向,近期主要研究方向之一为探索多种非贵金属材料活化的新方法,设计并实现利用非贵金属作为新一代高活性催化剂的可行方案。在包括Nature、Nat. Energy、Nat. Chem.、Nat. Commun.、J. Am. Chem. Soc.、Angew. Chem. Int. Ed.、Adv. Mater.、Energy Environ. Sci.等SCI期刊上发表500余篇,引用50,000余次,h-index 122,入选科睿唯安高被引学者。在功能性纳米材料和纳米技术、光电催化和环境监测系统等领域获得68项国际专利,并全部实现产业化应用。
欢迎关注我们,订阅更多最新消息
“邃瞳科学云”推出专业的自然科学直播服务啦!不仅直播团队专业,直播画面出色,而且传播渠道多,宣传效果佳。
“邃瞳科学云"平台正在收集、整理各类学术会议信息,欢迎学会、期刊、会议组织方择优在邃瞳平台上进行线上直播,希望藉此帮助广大科研人员跨越时空的限制,实现自由、畅通地交流互动。欢迎老师同学们提供会议信息(会有礼品赠送),学会、期刊、会议组织方商谈合作,均请联系18612651915(微信同)。
投稿、荐稿、爆料:Editor@scisight.cn