广义相对论的数学基础
郝维昌
北京航空航天大学物理学院
学习广义相对论最大障碍就是对以张量分析为代表的微分几何的恐惧,作者在自学的过程中深受其害,主要是没有明白这些符号背后的几何意义。很多教材只给公式不给解释、不给实例导致大家更是在学习中困难重重。
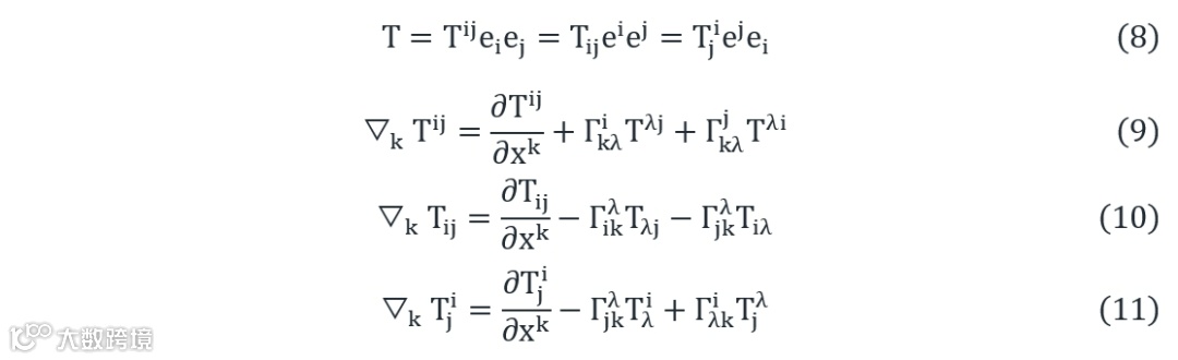
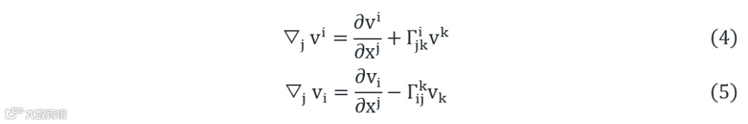
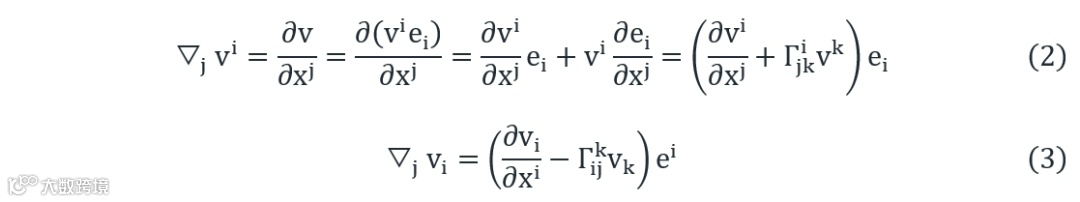
其中i=0,1,2,3;e1,e2,e3,e4为基矢;ei称为原基,ei 称为对偶基,vi 称为逆变矢量,vi称为协变矢量。在曲线坐标系下,基矢随空间变化而变化,因此矢量的导数不但随空间坐标变化,而且与基矢的变化相关(与度规相关),因此矢量协变导数比普通的导数多一项。


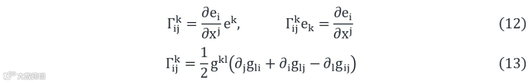
其中克里斯托弗符号(Christoffel Symbol)如下定义:
度规张量是广义相对论中的最基本量,定义了时空的所有几何,用于定义时间、距离、体积、曲率等概念。在黎曼空间中若有度规张量gij,使得空间邻近两点之间的距离由正定二次型给出:
由于度规张量的特殊性,在张量分析中可以用度规张量升降指标,对协变量和逆变量进行转化:
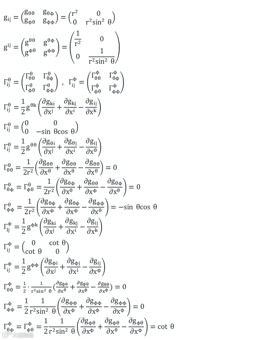
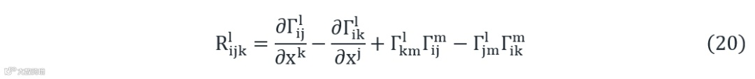
习题1:以典型的球坐标系V(r,θ,φ)为例,说明一下克矢符号计算:
因此其度规张量仅有对角项,其协变量和逆变量分别如下:
2. 黎曼曲率张量(Riemann curvature tensor)
若(M, g)是黎曼流形,由列维-奇维塔联络 (Levi-Civita connection),即列维-奇维塔符号可以定义黎曼曲率张量:
列维-奇维塔联络是典型无挠联络,黎曼张量的无挠性(torsion-free property)是指只通过曲率张量(黎曼张量)描述几何特性,而无需考虑额外的扭曲(挠率)。用克氏符号表示黎曼张量如下:
黎曼张量是由度规张量经由反对称的里括号计算得来的反对称张量,对于叉乘、泊松括号、里括号等反对称操作,存在雅可比恒等式:
3. 里奇张量(Ricci Tensor)
里奇张量(Ricci Tensor)是黎曼张量的缩并得到的
:
至此与广义相对论有关的重要概念基本都涉及到了。度规张量gij决定了空间的性质,对空间中场函数的一阶微分需要引入克里斯托弗符号,对场函数的二阶微分需要引入黎曼张量。
4. 爱因斯坦张量和场方程
爱因斯坦张量是由里奇张量和度规张量的线性组合构成的:
1915年爱因斯坦得到了引力场方程(1915年数学家希尔伯特先于爱因斯坦得到了相同的结果)。爱因斯坦场和希尔伯特都认识到所有与坐标变换的对称性相联系的物理量只能是无散度、对称的能动张量TUV。方程的左边是时空曲率,是一种美丽的几何结构,是“玉石”做的。而方程右边是真实的物质世界是“木头”做的。这也是宇宙中一种奇特的木石姻缘。
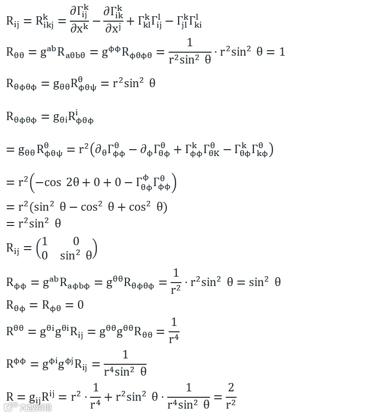
习题2:以2D-球面为例,演示如何计算里奇张量

对于2D球面
:
方法二:由张量分析进行计算


欢迎关注我们,订阅更多最新消息
“邃瞳科学云”推出专业的自然科学直播服务啦!不仅直播团队专业,直播画面出色,而且传播渠道多,宣传效果佳。
“邃瞳科学云"平台正在收集、整理各类学术会议信息,欢迎学会、期刊、会议组织方择优在邃瞳平台上进行线上直播,希望藉此帮助广大科研人员跨越时空的限制,实现自由、畅通地交流互动。欢迎老师同学们提供会议信息(会有礼品赠送),学会、期刊、会议组织方商谈合作,均请联系18612651915(微信同)。
投稿、荐稿、爆料:Editor@scisight.cn