
第一作者:魏烈浩
通讯作者:刘庆岭 教授
通讯单位:天津大学
论文DOI:10.1016/j.apcatb.2024.124755
本文通过煅烧和引入Ga合成了具有不同LAS/BAS比例的HZSM-5催化剂,并探究了H2O对不同催化剂CH3OH-SCR性能的影响。研究结果表明:H2O是富含BAS的HZSM-5的抑制剂,却是富含LAS的Ga/HZSM-5的促进剂。在无H2O条件下,HZSM-5中的BAS位点(Si(OH)Al)促进了中间体甲酰胺的生成;然而,Ga/HZSM-5催化剂中的LAS位点(Al-OH和GaO+)则将甲醇过度氧化为甲酸盐物种,因此呈现出较差的CH3OH-SCR性能。当引入H2O时,其会和CH3OH在BAS处发生强烈竞争吸附,使HZSM-5的催化活性急剧下降;而LAS含量较高的Ga/HZSM-5仍能吸附和活化CH3OH,因此表现出较好的催化活性。
HZSM-5分子筛具备丰富的Lewis和Brønsted酸性位点,是一种十分有潜力的甲醇选择性催化还原NOx催化剂。然而,H2O对具有不同LAS和BAS的HZSM-5催化剂的反应影响尚不清楚。因此,本文通过Ga改性结合煅烧合成了一系列具有不同LAS/BAS比例的HZSM-5催化剂,详细分析催化剂上不同酸性位点的来源和强度,并探究了H2O对不同酸性位主导催化剂上CH3OH-SCR的影响。采用原位DRIFTS技术、TPSR-MS和DFT计算系统研究了反应物的吸附活化行为和反应机理,并提出了HZSM-5和Ga/HZSM-5催化剂在有无H2O条件下的构效关系和活性增强机制。
(1) Ga改性和煅烧合成了不同LAS/BAS比例的HZSM-5催化剂;
(2) H2O抑制了富含BAS的HZSM-5甲醇-SCR反应活性,但增强了富含LAS的Ga/HZSM-5脱硝性能;
(3) BAS和LAS的协同作用促进了中间体甲酰胺的形成。

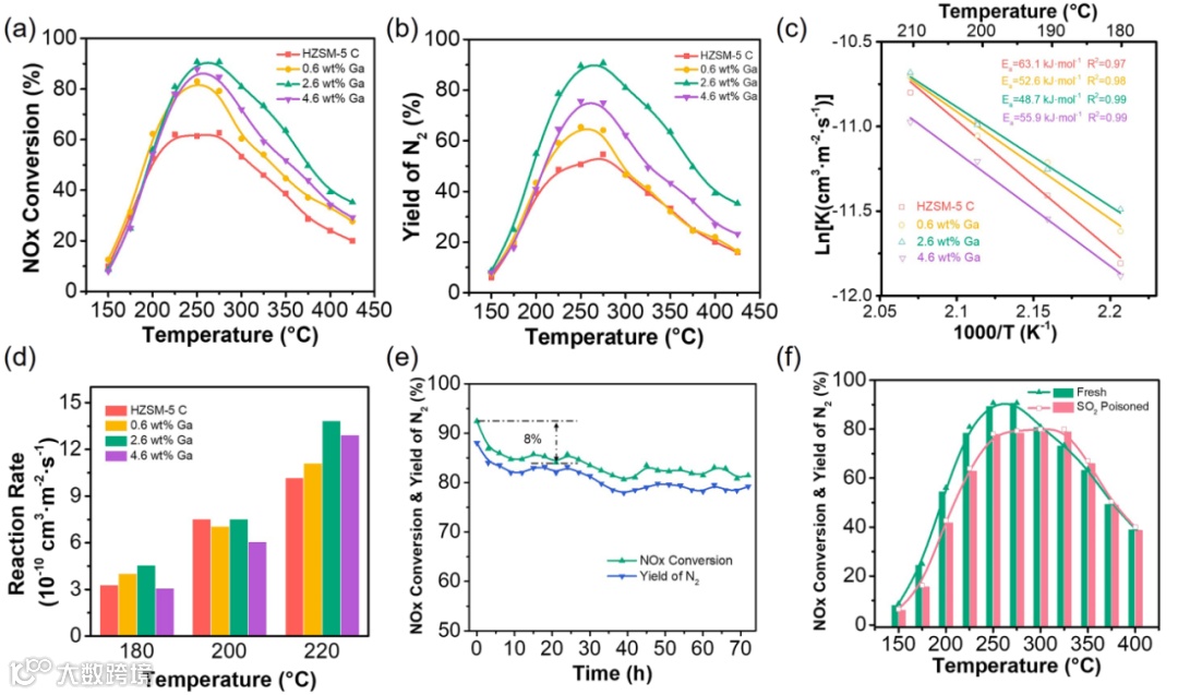
煅烧和Ga的引入降低了HZSM-5的相对结晶度,同时调整了分子筛中BAS和LAS的比例,使LAS随着Ga含量的增加先增加后减少,其中2.6wt%Ga样品具有最多的中强酸和LAS。Al NMR则显示非骨架Al是HZSM-5和HZSM-5C样品中LAS的主要来源。

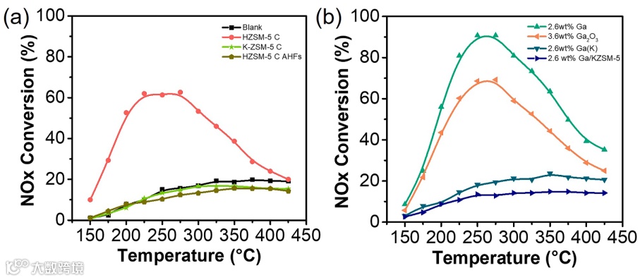
通过与3.6wt%Ga2O3(Ga2O3和HZSM-5物理混合)的对比,证实Ga/HZSM-5中Ga主要以Ga2O3纳米颗粒和GaO+离子形式存在,它们和分子筛骨架之间的强相互作用显著增强了分子筛中LAS的强度。

在无H2O条件下,HZSM-5催化剂具有最佳的催化活性,300℃时NOx转化率达93%,N2产率为90%。然而,引入H2O后HZSM-5的催化性能显著下降。相比之下,经过Ga改性的Ga/HZSM-5催化剂则表现出优异的低温催化活性,NOx转化率在225-305 ℃之间超过80%。这表明H2O抑制了HZSM-5的CH3OH-SCR性能,而促进了Ga/HZSM-5的脱硝活性。

随着Ga含量的增加,NOx转化率和N2产率在200 ℃以上先增加后减少。其中,2.6wt%Ga在275℃时表现出最佳催化活性,并具有最低的表观活化能和最高的反应速率。同时2.6wt%Ga具有稳定的长时催化性能和较好的抗SO2中毒性能。

分子筛中酸性位点的类型对CH3OH-SCR反应至关重要。研究发现,仅具有LAS位点或BAS位点的催化剂均呈现较差的性能,证明BAS和LAS的协同作用是卓越CH3OH-SCR性能的关键。此外,3.6wt%Ga2O3中的大颗粒Ga2O3并没有增强对脱硝活性,而2.6wt%Ga样品中BAS与分散的Ga物种相互作用,显著提高了NOx的降解。

图6 有无水条件下甲醇的原位红外吸附

图7 H2O和CH3OH在BAS和LAS位点吸附能
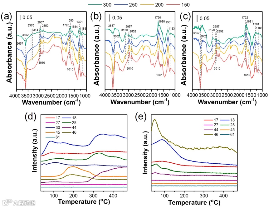
CH3OH-SCR反应中,催化剂的酸性位点对CH3OH的吸附和活化至关重要。研究发现,BAS和LAS的协同作用促进了CH3OH向HCOOH等物种的转化,Ga物种则显著增强了CH3OH的氧化。此外,由于H2O和CH3OH的竞争吸附,甲醇的氧化被明显抑制。
不同酸性位点上CH3OH和H2O的吸附行为具有很大差异。BAS和LAS均能有效吸附甲醇;H2O主要以H3O+和团簇水的形式大量吸附在BAS,在LAS位点仅有少量的吸附水分子;DFT计算也证实H2O更容易吸附在BAS,CH3OH则更容易吸附在GaO+位点上。这导致H2O和CH3OH在BAS主导的沸石上发生强烈的竞争吸附,而在LAS主导的催化剂上则相对缓和。

图8 无水条件下CH3OH-SCR稳态机理和TPSR-MS图谱
机理研究表明甲酰胺是反应过程中的重要中间体,并且其生成需要BAS和LAS协同作用。甲酰胺会进一步分解为NH3和CO,原位生成的NH3和NO反应生成N2和H2O。Ga/HZSM-5则将CH3OH过度氧化为甲酸盐,无法有效参与NOx还原反应。

图9 有水条件下Ga对CH3OH-SCR反应机理研究
水不仅抑制了CH3OH的过度氧化,并且能与亚硝酸甲酯反应促进反应的进行。同时,Ga的引入会显著促进甲酰胺生成,从而增强了甲醇-SCR性能。

图10 酸性比例构效关系图
无水条件下,BAS有利于提高CH3OH-SCR性能,引入水后LAS则更有利于脱硝活性的增强。此外,随着Ga含量增加,Ga/HZSM-5样品的LAS/BAS比呈“火山”型,其CH3OH-SCR性能也呈现相同的趋势。

HZSM-5中丰富的Si(OH)Al位点促进了甲酰胺的形成,在无水条件下表现出优异的SCR性能。然而,Ga/HZSM-5中大量的Al-OH和Ga物种会导致CH3OH过度氧化。当引入水后,CH3OH和H2O的竞争吸附减少了HZSM-5沸石上的-CH3O物种生成,从而抑制了甲酰胺的形成。然而,H2O可以缓解富含LAS催化剂上甲氧基物种的过度氧化,同时Ga物种有利于甲酰胺的形成和稳定,使Ga/HZSM-5表现出更好的催化性能。
本文合成了一系列不同LAS/BAS比例的HZSM-5和Ga/HZSM-5催化剂,并探究了H2O对其在CH3OH-SCR反应的影响。结果表明H2O是富含BAS的HZSM-5的抑制剂,却是富含LAS的Ga/HZSM-5的促进剂。系统研究了H2O对不同酸性位主导催化剂上CH3OH-SCR的作用机理,表明调节LAS/BAS比例以增强甲酰胺形成是开发高效CH3OH-SCR催化剂的有效策略。
Liehao Wei, Yan Zhang, Yanhua Wang, Chengzheng Tong, Weichao Wang, Caixia Liu, Qingling Liu*. Accelerator or inhibitor? The effects of H2O on selective catalytic reduction of NOx by methanol over HZSM-5 catalysts with different Lewis/Brønsted ratios. Applied Catalysis B: Environment and Energy 362 (2025) 124755.
https://doi.org/10.1016/j.apcatb.2024.124755
刘庆岭,天津大学英才教授、博士生导师,天津大学研究生院学位办公室主任,国家重点研发计划首席科学家。天津市室内空气环境控制重点实验室副主任,入选“天津市海外高层次人才计划”,天津大学“北洋青年学者”,天津大学“英才教授”。入选天津市“131人才计划”中国环境科学学会VOCs专委会常委,全国工程专业学位研究生教育指导委员会工程博士专项工作组专家,天津市人民政府学位委员会专业学位教育指导委员会委员,天津市环境工程领域教学指导委员会委员。主要从事环境工程、环境功能材料、膜分离材料,大气污染控制与防治等领域的工作。先后主持科技部973、国家自然科学基金、国家重点研发计划、天津市生态环境重大专项等项目。研发了车船重型柴油机尾气中氮氧化物、颗粒物等去除的关键催化材料与技术。研究成果应用于国之重器中交集团绞吸船舶以及商用柴油车量,获天津市科技进步一等奖2项,二等奖1项。近年来在Chem. Rev., J. Am. Chem. Soc., Environ. Sci. Technol., Appl. Catal. B: Environ., ACS Catal., Chem. Eng. J., Langmuir., Green. Chem., 等期刊发表论文 100余篇。
课题组网站:http://catalysis.tju.edu.cn/
欢迎关注我们,订阅更多最新消息
“邃瞳科学云”推出专业的自然科学直播服务啦!不仅直播团队专业,直播画面出色,而且传播渠道多,宣传效果佳。
“邃瞳科学云"平台正在收集、整理各类学术会议信息,欢迎学会、期刊、会议组织方择优在邃瞳平台上进行线上直播,希望藉此帮助广大科研人员跨越时空的限制,实现自由、畅通地交流互动。欢迎老师同学们提供会议信息(会有礼品赠送),学会、期刊、会议组织方商谈合作,均请联系18612651915(微信同)。
投稿、荐稿、爆料:Editor@scisight.cn