

第一作者:吴林科
通讯作者:刘雨溪、戴洪兴
通讯单位:北京工业大学材料科学与工程学院
论文DOI:10.1021/acs.est.4c09649
含氯和含氧挥发性有机物(CVOCs和OVOCs)对人体健康构成严重威胁。催化氧化可有效去除这些污染物,但催化剂失活是一个挑战。因此,研发具有良好耐水、耐氯性能的催化剂具有重要意义。本文研究了Ru/MOx/HZSM-5(M=W,Mo)催化剂上氯苯(CB)和乙酸乙酯(EA)的水解氧化反应。结果表明,MoOx掺杂提高了催化剂的结构羟基含量和平衡表面酸性,从而显著提高了催化剂的稳定性。水蒸气的引入不仅显著促进了水解氧化,而且保护了活性中心不受累积氯的毒害。Ru/MoOx/HZSM-5中Mo−O(H)−Al结构与Si−OH−Al结构的协同作用促进H2O活化形成桥接羟基,为水解氧化提供了富质子环境。解离的H2O与吸附的氧反应生成高活性的*OOH,加速了中间体的深度氧化。本研究为复杂环境下多组分VOCs的有效去除提供了独特的策略。
CVOCs和OVOCs是大气化学研究中的重要组成部分,它们在环境和健康领域具有重要意义,目前的大气污染控制正从单一污染物的去除发展到多污染的协同消除。催化氧化是一种极具发展前景的方法,由于其净化效率高、能耗低的显著优势,已被认为是消除VOCs的有效途径。
由于多组分VOCs的特殊性,单组分催化剂几乎不可能同时满足低温高活性、高选择性和高水热稳定性的要求。过渡金属氧化物在催化氧化中展现出多样的结构特性和优异的催化活性,具有丰富酸性位点的分子筛可提高催化剂的抗氯中毒能力。因此,过渡金属氧化物与分子筛的复合催化体系受到了广泛的关注。
水蒸气在众多工业过程中扮演着关键角色,尤其在VOCs的氧化过程中发挥着至关重要的作用。水蒸气的引入往往也会导致反应活性的降低,主要是由于水与氧或反应物分子在活性位上的竞争吸附。也有研究者提出,水蒸汽的引入会减少中强酸的数量,特别是Brønsted酸量,但本课题组先前的研究却发现水蒸气实际上能够促进VOCs的催化氧化过程。
鉴于此,探索能够利用水蒸气促进效应的适宜催化体系,可能是攻克VOCs催化氧化挑战的有效策略。因此,开发既耐水又耐氯的分子筛负载贵金属和过渡金属氧化物催化剂,对于去除多组分VOCs具有重要的实际意义。
1. 提出一种潜在的通用策略,通过构建过渡金属氧化物与分子筛的复合催化体系,增强了催化剂的耐水性,当反应体系中有水蒸气存在时,VOCs的氧化过程表现出促进作用。
2. 结合一系列实验表征结果分析了水蒸气在催化过程中的反应机理,水蒸气在Ru/MoOx/HZSM-5催化剂上容易被活化形成桥接羟基,为水解氧化提供了富质子环境,保护了活性中心不受累积氯的毒害。
Figure 1. (A) EPR spectra, (B) Py-FTIR spectra of the samples after pyridine adsorption at 200 oC, (C) Brønsted acid amount and (D) Lewis acid amount versus temperature of the samples.
从图1可看出,MoOx引入使Ru/HZSM-5催化剂表现出更高的活性氧浓度,但Ru/HZSM-5中BAS和LAS的信号强度有所减弱。酸度的定量分析结果可看出,虽然WOx或MoOx覆盖了HZSM-5微孔外表面的部分酸性位点,但却增强了HZSM-5酸性位点的稳定性,在催化氧化过程中,催化剂的选择性明显提高,并能保持催化剂的高活性。
Figure 2. (A) CB conversion as a function of temperature over the samples at SV =20 000 mL g−1 h−1, (B) CB conversion as a function of on-stream reaction time over the samples, (C) CB and (D) EA conversions versus temperature over the samples in the oxidation of the mixed VOCs at SV = 20 000 mL g−1 h−1), (E) DCB and (F) Cl2 distributions.
从图2B可看出,WOx或MoOx的引入明显增加了催化剂催化氧化氯苯的稳定性。由图2C和D可看出,当有水蒸气存在时,Ru/MoOx/HZSM-5对多组分VOCs(氯苯和乙酸乙酯)的氧化均表现出促进作用。根据产物分布发现水蒸气的引入抑制了氯化副产物的生成。在潮湿条件下,Ru/MoOx/HZSM-5氧化氯苯和乙酸乙酯时,DCB(邻二氯苯和间二氯苯)的浓度趋于零,产生的副产物浓度远低于无水蒸气时的副产物浓度。
Figure 3. (A) H2O-TPD profiles, (B) He-TPD profiles, (C) in situ DRIFTS spectra of H2O and D2O adsorption over the Ru/MoOx/HZSM-5 sample at 30 °C and different time.
从图3A可看出,Ru/MoOx/HZSM-5催化剂上有较明显的Ⅱ型水的脱附,说明MoOx的引入使催化剂表面吸附了更多的水,有利于激发催化剂的水蒸气促进作用。此外,He-TPD谱图(图3B)显示,MoOx的引入导致Ru/HZSM-5催化剂的脱附峰温度从700 oC降低到400 oC,说明Ru/MoOx/HZSM-5催化剂上的强键羟基更活跃,更容易激活水分子。因此,我们认为水更有可能在MoOx位点解离,参与VOCs的氧化。从图3C可看出催化剂表面的H2O很容易被D2O取代,说明表面吸附的水和桥接的羟基很活跃,很容易参与反应。
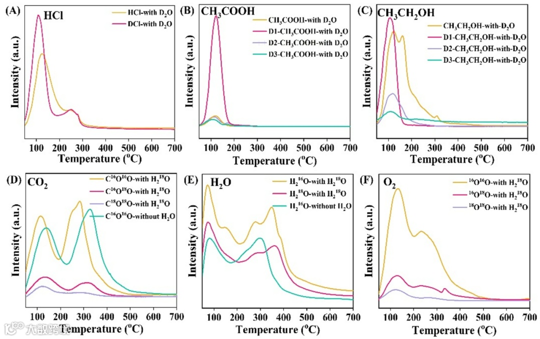
Figure 4. (A) HCl, (B) CH3COOH, (C) CH3CH2OH desorption in (CB + EA + D2O)-TPO profiles and (D) CO2, (E) H2O, (F) O2 desorption in (CB + EA + H218O)-TPO profiles of the Ru/MoOx/HZSM-5 sample.
由(CB + EA + D2O)-TPO实验可看出,DCl是主要的脱氯产物,其解吸峰强度远强于HCl,说明吸附的水非常活跃,优先为脱氯过程提供质子,加速HCl或DCl的生成。由(CB + EA + H218O)-TPO实验可看出,活性氧物种16O18O以及18O18O是通过水与催化剂之间的氧交换而形成的,且H2O解离产生的活性物质与吸附的氧物质首先与乙酸乙酯发生反应,然后随着温度的升高与氯苯发生一系列氧化反应。
Figure. 5. In situ DRIFTS spectra of the Ru/MoOx/HZSM-5 sample in a flow of (A) (EA + CB + N2 + 1.0 vol% H2O), (B) (EA + CB + N2 + 1.0 vol% H2O + O2) at 30 oC for 30 min, (C) (EA + CB + N2 + 1.0 vol% H2O) and (D) (EA + CB + N2 + 1.0 vol% H2O + O2) at different temperatures.
由原位红外可知,反应物分子吸附在催化剂的酸性位点,当无氧气存在时,羧基加速积累且不能完全转化;当在反应体系中通入氧气后,羧基迅速被消耗,且随着温度的升高,催化剂表面酸性桥式羟基的倒带也得到了补充,表明催化剂上O2和H2O协同活化形成的桥式羟基有利于及时补充消耗的羟基,加速了Cl-的解离,减少了含Cl副产物的产生。
本文研究了热稳定性好、酸中心丰富、氧化还原能力适中的Ru/MoOx/HZSM-5催化剂对氯苯和乙酸乙酯的催化氧化性能;在有水的情况下,多氯副产物的生成在很大程度上受到抑制。此外,水蒸气在Ru/MoOx/HZSM-5催化剂上更容易活化成桥羟基,桥羟基比端羟基表现出更强的提供H+的能力。提出了H2O参与的水解氧化途径,揭示了HCl对水解氧化的促进作用和对含Cl副产物的抑制作用。总体而言,本研究阐明了水蒸气在催化去除多组分CVOCs和OVOCs中的促进作用,为开发用于去除混合VOCs的水解氧化技术提供了可能的简明途径。
Linke Wu, Yuxi Liu, Xiaohui Yu, Ruyi Gao, Yiwen Jia, Qinpei Sun, Ying Feng, Lin Jing, Zhiquan Hou, Jiguang Deng, Hongxing Dai,Constructing Bridge Hydroxyl Groups on the Ru/MOx/HZSM-5 (M = W, Mo) Catalysts to Promote the Hydrolysis Oxidation of Multicomponent VOCs, Environmental Science & Technology.
DOI: 10.1021/acs.est.4c09649
戴洪兴,北京工业大学材料科学与工程学院教授、博士生导师,2012年获全国优秀博士学位论文指导教师奖, 2014~2023年入选爱思维尔中国化学工程领域“高被引作者”榜单。发表SCI论文400余篇(ESI高被引论文20余篇),被他人引用19000余次,H-Index为79。迄今为止,发表在Nat. Commun.、J. Am. Chem. Soc.、Angew. Chem. Int. Ed.、ACS Nano、Nano Energy、J. Catal.、Appl. Catal. B、Adv. Funct. Mater.、Environ. Sci. Technol.、Small、ACS Catal.、Nanoscale、J. Mater. Chem. A、J. Hazard. Mater.、ACS Appl. Mater. Interfaces、Sci. Bull.、Chinese J. Catal.、Int. J. Hydrogen Energy、ChemSusChem、Chem. Commun.、Chem. Eng. J.等影响因子高于3.0的论文300余篇以及综述论文20余篇;主编和与他人合编教材或参考书7部(其中包括2部英文专著章节),获授权发明专利90余项(其中美国发明专利2项)。
刘雨溪,北京工业大学材料科学与工程学院教授、博士生导师,国家优秀青年科学基金获得者。现主要围绕环境污染物净化过程中的催化基础科学问题开展工作。在J. Am. Chem. Soc.、Angew. Chem. Int. Ed.、Environ. Sci. Technol.等刊物上发表SCI论文140余篇,被他人引用6900余次,H-Index为54,获国家发明专利8项,参编专著5部。先后获得国家自然科学基金青年项目、面上项目、优秀青年基金项目,科技部重点研发计划青年科学家项目资助。先后入选北京工业大学优秀人才计划、北京市高水平教师队伍建设青年拔尖人才、2019~2021年World’s Top 2% Scientists以及担任中华环保联合会VOCs污染防治专业委员会技术专家。
欢迎关注我们,订阅更多最新消息
“邃瞳科学云”推出专业的自然科学直播服务啦!不仅直播团队专业,直播画面出色,而且传播渠道多,宣传效果佳。
“邃瞳科学云"平台正在收集、整理各类学术会议信息,欢迎学会、期刊、会议组织方择优在邃瞳平台上进行线上直播,希望藉此帮助广大科研人员跨越时空的限制,实现自由、畅通地交流互动。欢迎老师同学们提供会议信息(会有礼品赠送),学会、期刊、会议组织方商谈合作,均请联系18612651915(微信同)。
投稿、荐稿、爆料:Editor@scisight.cn