
第一作者:何少雄
通讯作者:方晶云教授、林志群教授
通讯单位:中山大学环境科学与工程学院、新加坡国立大学化学与生物分子工程系
论文DOI:10.1002/anie.202424827
近年来水处理技术取得了显著进展,但是,成分复杂的实际水质场景中的复杂背景基质对痕量微污染物降解的抑制仍是一个巨大挑战。本文制备了氧化石墨烯 (GO) 包覆的缺陷型TiO2复合催化剂 (TiO2-OV/GO),将催化活性位点限域在TiO2表面,并通过GO对微污染物的选择性通透及对大分子天然有机物 (NOM) 的尺寸排阻效应,实现了微污染物的高效选择性降解。该复合催化剂在不同浓度的NOM和阴离子存在条件下以及实际水样中,均表现出优异的微污染物降解效率,克服了水中背景基质对微污染物降解的抑制作用。TiO2中的氧空位不仅抑制光生电子-空穴对的复合,还作为氧吸附位点,使限域空间内的羟基自由基 (HO•) 浓度提升4.9倍。此外,由于对NOM的有效排阻,消毒副产物 (DBPs)的生成得到了显著抑制。本研究提出了一种简便且高效的2D材料包覆催化剂的策略,为达到选择性降解复杂实际水体中的微污染物提供了新思路。
水处理高级氧化技术 (AOPs) 通过生成高活性自由基降解水中的微污染物,但在成分复杂的真实水体中,NOM和阴离子对自由基的过量消耗大大降低了其处理效率,并可能形成有毒有害的DBPs。目前,针对选择性降解痕量微污染物的有效策略研究仍然不足。
1) 本研究构建了由GO包覆缺陷型TiO2的复合催化剂,在不同复杂水质背景基质中,均展现出卓越且稳定的微污染物降解性能,尤其是可以完全抵抗NOM的干扰作用。
2) 通过设计氧空位,使得TiO2-OV/GO的反应位点被局限于TiO2-OV的表面,形成高浓度表面自由基。小尺寸的微污染物能够选择性通过GO的纳米孔径进入反应位点,而较大尺寸的NOM则被GO有效排阻,同时GO表面的负电荷通过静电排斥作用有效阻碍阴离子进入反应位点。
3) 通过有效排阻NOM进入反应位点,显著抑制反应过程中有毒有害副产物的生成,达到水中微污染物的绿色无害化处理。
TiO2-OV/GO的合成过程如图1a所示。首先,将TiO2和NaBH4的混合物在350 °C下退火,得到TiO2-OV,然后将其添加到不同浓度(0.05、0.1、0.2、0.4 mg/mL)的单层GO悬浮液中。通过调节pH至3.0,TiO2-OV与GO之间的静电作用促进了GO对TiO2-OV的包覆。SEM和TEM显示TiO2-OV纳米颗粒被GO良好包覆。XPS分析揭示TiO2-OV中的氧空位含量约为18.0%;BET比表面积测量结果表明,TiO2-OV/GO的比表面积为96.3 m²/g,GO中的介孔和微孔有助于在纳米孔隙中构建限域催化空间。
图1. TiO2-OV/GO的合成与表征
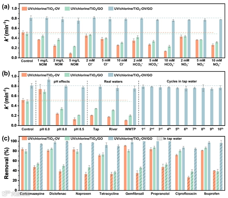
在1、2、5 mg/L的NOM和2、5、10 mg/L的阴离子(如Cl–、HCO3–、NO3–)存在条件下,UV/氯/TiO2-OV和UV/氯/TiO2/GO的CBZ降解速率显著下降,而UV/氯/TiO2-OV/GO几乎不受影响。此外,UV/氯/TiO2/GO还表现出对pH变化和不同真实水样的良好抗性,并在自来水中展现出超过10个循环的优异耐用性。在浓度为1 µg/L的8种共存微污染物(如卡马西平、布洛芬、环丙沙星等)降解实验中,UV/氯/TiO2-OV/GO在纯水和自来水中的降解效果几乎持平,验证了其在实际水处理中的优异适用性。
图2. 水质成分对微污染物降解的影响
通过PL和TRPL光谱分析,发现TiO2-OV/GO在分离载流子方面表现出最佳的动态性能,其较长的TRPL寿命表明电子-空穴对的分离更有效。UV/TiO2-OV和UV/TiO2-OV/GO的电流密度显著高于UV/TiO2,说明氧空位在促进载流子分离和提升光催化活性中起关键作用。低溶解氧浓度对UV/TiO2的影响较小,但显著抑制了UV/TiO2-OV和UV/TiO2-OV/GO的卡马西平降解速率,表明溶解氧在含氧空位体系中的重要作用。O2-TPD 和DFT计算表明,TiO2-OV对O2的吸附较TiO2更有利,增强了O2•−的生成,从而促进了HOCl的活化,进一步生成HO•。此外,NBT探针和EPR测试证实,TiO2-OV/GO中O2•−生成显著提高,最终促进了HO•的生成。
图3. 氧空位在载流子动力学和自由基生成中的作用
原位XPS分析发现,TiO2-OV/GO在光照下,Ti 2p峰向低结合能方向偏移,表明光生电子被TiO2-OV表面捕获,形成纳米限域催化位点;而TiO2/GO的光生电子从TiO2转移至GO表面。拉曼光谱进一步确认TiO2-OV/GO表面捕获了更多光生电子,而TiO2/GO的电子则集中在GO表面。此外,自由基浓度测试显示,TiO2-OV/GO表面HO•和ClO•浓度显著高于其他材料,表明在UV/氯/TiO2-OV/GO体系中,CBZ的降解主要通过纳米限域空间内的表面自由基作用实现。
图4. 纳米限域在微污染物选择性降解中的作用机制
在水处理过程中,微污染物的降解可能伴随着有毒DBPs的产生。在UV/氯体系中添加TiO2-OV/GO后,总有机氯(TOCl)和DBPs的生成量分别减少了95.9%和98.4%,表明TiO2-OV/GO的纳米限域作用通过排除NOM抑制了DBP的产生。
图5. 不同体系中DBPs生成的对比
本研究提出了一种简单易行的方法,制备了纳米限域的GO包覆缺陷型TiO2催化剂,通过排除反应位点中的NOM和阴离子,实现了复杂实际水体中微染物的高效选择性降解。TiO2的氧空位抑制了光生载流子的复合并增强了氧气的吸附,在TiO2-OV表面形成了纳米限域催化位点,有效削减了反应过程中DBPs的生成。该策略为实际水净化中的AOPs性能提升提供了一种简便且高效的方法,并且可拓展应用于其他二维材料包覆的光催化剂。
文献链接:https://doi.org/10.1002/anie.202424827
方晶云,中山大学教授,博士生导师,国家杰出青年基金获得者,ACS ES&T Engineering副主编,英国皇家化学学会会士。1999-2010在哈尔滨工业大学市政环境工程学院获得本科、硕士和博士学位,2010-2012在香港科技大学土木与环境工程系从事博士后研究。主要从事水污染控制理论和技术研究,包括自由基化学、高级氧化/消毒技术等。在Acc. Chem. Res.、Angew. Chem. Int. Ed.、Environ. Sci. Technol.、Water Res.等期刊发表SCI论文100余篇,获得2020 James J. Morgan ES&T Early Career Award、首创水星奖和南京大学紫金全兴“青年学者奖”,多次入选“全球高被引科学家”。
课题组主页:http://sese.sysu.edu.cn/fangjingyun
何少雄,中山大学方晶云教授与新加坡国立大学林志群教授联合培养博士研究生,研究方向聚焦于光催化剂在环境修复与能源转换中的设计与应用。以第一作者身份在Chem. Soc. Rev.、Angew. Chem. Int. Ed.、Environ. Sci. Technol.、Appl. Catal. B: Environ.等期刊发表论文。
欢迎关注我们,订阅更多最新消息
“邃瞳科学云”推出专业的自然科学直播服务啦!不仅直播团队专业,直播画面出色,而且传播渠道多,宣传效果佳。
“邃瞳科学云"平台正在收集、整理各类学术会议信息,欢迎学会、期刊、会议组织方择优在邃瞳平台上进行线上直播,希望藉此帮助广大科研人员跨越时空的限制,实现自由、畅通地交流互动。欢迎老师同学们提供会议信息(会有礼品赠送),学会、期刊、会议组织方商谈合作,均请联系18612651915(微信同)。
投稿、荐稿、爆料:Editor@scisight.cn