
第一作者:黄沛,杨明意
通讯作者:兰亚乾,路猛,张蜜
通讯单位:华南师范大学化学学院
论文DOI:10.1002/anie.202423091
乙烯(C2H4)是生产聚乙烯的主要化学品,每年消耗量超过 1.85 亿吨。值得注意的是,在生产聚乙烯之前,必须除去原料 C2H4中的 C2H2 以满足聚合物级 C2H4 的要求。一种有吸引力的策略是将C2H2 原位半加氢为 C2H4。然而,如何在温和条件下实现乙炔加氢制乙烯目前仍然是一个巨大的挑战。华南师范大学兰亚乾/路猛/张蜜研究团队设计了一系列基于[8+4]连接结构的晶态三维共价有机框架(3D COFs)。通过调控这些3D COFs中的金属活性位点和局域氢转移效应,成功实现了高效光催化乙炔(C2H2)加氢制乙烯(C2H4)。其中,含有钴乙醛肟活性中心和局域氢转移效应的Cz-Co-COF-H在纯C2H2中C2H4平均产率为1755.33 umol g-1 h-1,在含1% C2H2的粗C2H4混合物中(工业相关条件)C2H2转化率接近100%,最终得到聚合物级C2H4。大量的实验结合理论计算表明Cz-Co-COF-H中合适的底物吸附和局域氢转移效应协同促进了乙炔到乙烯的转化。这项工作为C2H2加氢制C2H4的高效光催化剂的合理设计和开发提供了新的见解。
乙烯(C2H4)是生产聚乙烯的主要化学品,每年消耗量超过 1.85 亿吨。大部分工业原料 C2H4 来自石油的蒸汽裂解。 尽管如此,这样制成的 C2H4 不可避免地含有约 0.5-3 vol.% 的乙炔(C2H2)杂质,当将 C2H4 聚合成聚乙烯时,这些杂质会毒害齐格勒-纳塔催化剂。因此,在塑料生产之前,必须除去原料 C2H4 中的 C2H2以满足聚合物级 C2H4 的要求。一种有吸引力的策略是将 C2H2 原位半加氢为 C2H4。然而,目前工业上的C2H2半加氢工艺主要基于热催化乙炔加氢(TAH)工艺(C2H2 + H2 →C2H4),其过程存在反应温度和压力高、使用不可再生的化石燃料作为能源以及氢气消耗过多等诸多复杂问题尚未解决,从而导致成本高昂。因此,有必要开发更绿色、更节能、更经济的方法来实现温和条件下的C2H2加氢。
1. 本工作设计了一系列基于[8+4]结构的新型晶态三维共价有机框架,并成功实现了高效光催化乙炔(C2H2)加氢制乙烯(C2H4)。
2. 通过调节这些3D COFs中的氢定位转移效应,含Cz-Co-COF-H的乙醛酸肟钴活性中心表现出优异的C2H2到C2H4的性能,在纯C2H2中平均C2H4产率为1755.33 μmol g-1·h-1,在含1% C2H2的粗C2H4混合物中也表现出接近100%的C2H2转化率(工业相关条件),并最终获得聚合物级C2H4。相反,由于缺乏氢定位转移,Cz-Co-COF-BF2仅显示五分之一的活性。
3. 基于密度泛函理论(DFT)、态密度(PDOS)和分子动力学“慢生长”动力学计算证实了快速氢物种转移、增强的水离解和COFs中合适的C2H2吸附共同促进了高效的光催化乙炔加氢制乙烯(PAH)。
图1 Cz-Co-COF-H和Cz-Co-COF-BF2的设计结构示意图及tty拓扑。
图2 COFs 的表征和形貌。(a) Cz-Co-COF-H 的实验和模拟 PXRD 图案。(b) Cz-Co-COF-H、Co(bpag)2-H 和 Cz-8CHO 的 FTIR。(c) Cz-Co-COF-H 的 N2 吸附等温线和孔径分布。(d) Cz-Co-COF-H 的 ssNMR。(e) Cz-Co-COF-H 的 TEM 图像和 (f) EDS 元素映射图像。
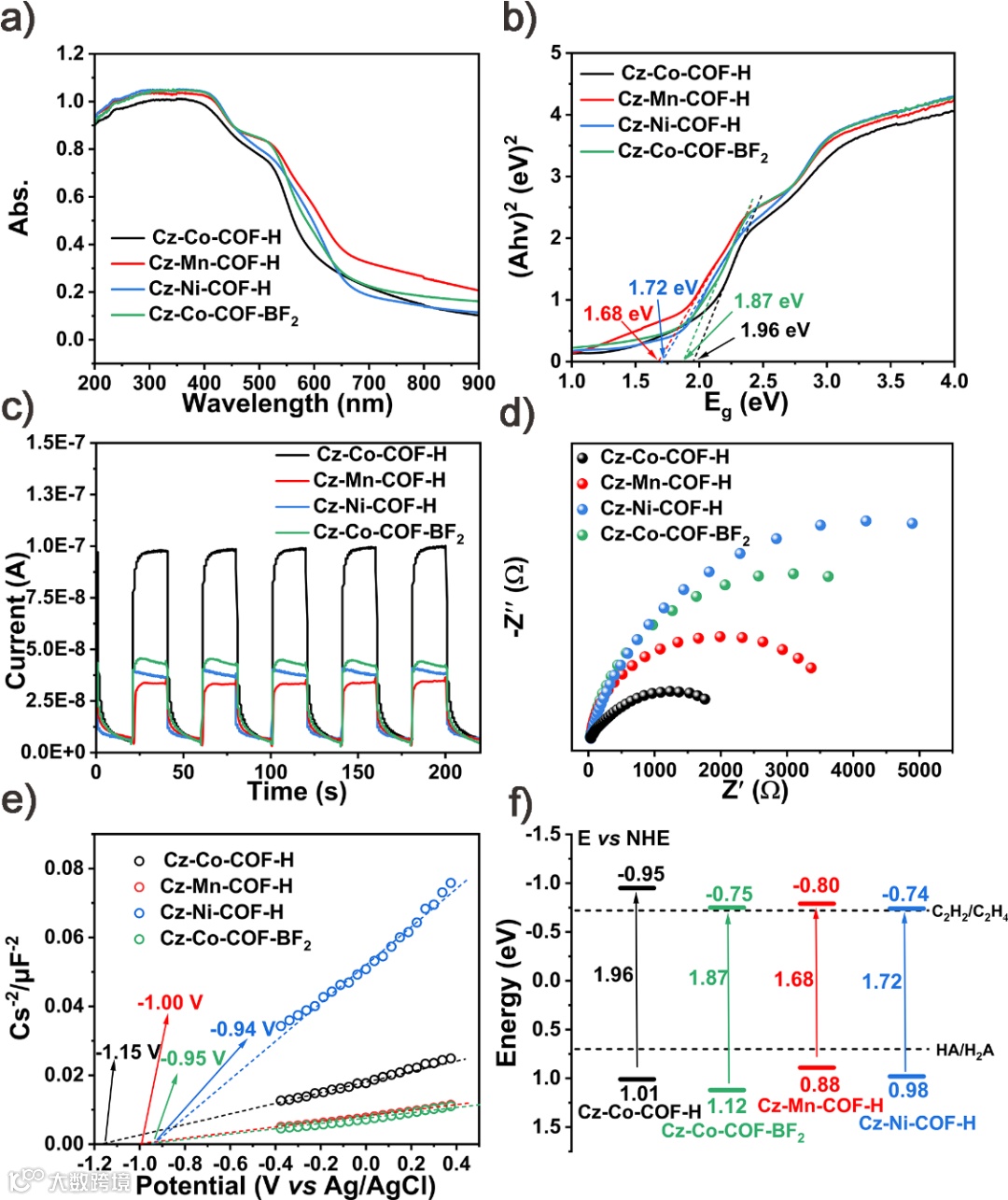
图3 COFs 的光学特性。(a) COFs 的紫外/可见光吸收光谱。(b) COFs 的 Tauc 图。(c) COFs 的瞬态光电流响应。 (d) COFs 的电化学阻抗谱。(e) COFs 的 Mott-Schottky 图。(f) 能带结构示意图。
图4 PAH 的性能。(a) COFs 的光催化 C2H2 到 C2H4性能。(b) Cz-Co-COF-H 的 PAH 控制实验。(c) COFs 随时间变化的 C2H4 生产性能。(d) 耐久性测试。(e) 光照前后的气相色谱图。(f) COFs 随时间变化的 1% C2H2到 C2H4 性能。
图5 机理和 DFT 计算。 (a) Cz-M-COFs-H 上 C2H2 加氢的能量分布。 (b) Cz-Co-COF-H和 Cz-Co-COF-BF2 上 C2H2加氢的自由能分布。 (星号表示活性物质的吸附状态。) (c) 计算出的 Cz-M-COFs-H 的 PDOS。(d)-(f) 和 (g)-(i) 依次对应于“乙炔吸附过程”、“第一次质子化过程”和“第二次质子化过程”的反应快照和基于动力学“慢生长”的自由能计算。
综上所述,本工作成功构建了一系列基于金属乙醛肟盐的结晶3D COFs非均相催化剂用于PAH。通过研究不同金属活性位点和局域氢转移效应,我们发现含有氢定位转移位点和钴活性中心的Cz-Co-COF-H在纯C2H2和工业粗C2H4气氛中都表现出优异的PAH性能。在纯C2H2气氛中Cz-Co-COF-H的C2H4平均产率达到1755.33 μmol g-1 h-1,远高于其他COFs。值得注意的是,Cz-Co-COF-H在工业相关的含1%C2H2的粗C2H4混合气体中也表现出优异的PAH性能,最终达到了接近100%的C2H2转化率。此外,DFT计算表明Cz-Co-COF-H上PAH的动力学和热力学RDS自由能远低于其他COFs,因此具有更高的活性。此外,Cz-Co-COF-BF2由于疏水效应和较高的C2H2吸附能而表现出较低的PAH活性,这与测试结果一致。以上结果为高效光催化剂的设计和开发提供了新的思路。
兰亚乾,华南师范大学化学学院二级教授,国家杰青,国家优青,“万人计划”科技创新领军人才,长江学者,英国皇家化学学会会士,高被引科学家。研究方向主要以团簇化学和配位化学为研究导向,设计合成结构新颖且稳定的晶态材料用于光、电、化学能等相关清洁能源领域的转化与应用;研究内容涉及多酸(POM)、金属有机团簇、金属有机框架(MOFs)以及共价有机骨架材料(COFs)的合成与应用。目前,已在光解水、CO2还原、质子导电及固态电解质材料等方面取得一系列重要进展。以通讯作者在Nat. Synth.、Sci. Adv.、PNAS, Nat. Commun.、J. Am. Chem. Soc.、Angew. Chem. Int. Ed.、Adv. Mater.、Matter、Chem、Natl. Sci. Rev.等期刊上发表通讯作者论文200余篇。论文被他引24000多次,ESI高引论文35篇,个人H-index 82。
路猛,华南师范大学青年拔尖人才,特聘研究员,广东省杰青。2021年获南京师范大学化学博士学位,2021年至今在华南师范大学化学学院团簇能源材料研究中心工作。工作后获国家自然科学基金-青年科学基金项目、广东省自然科学基金-杰出青年基金项目、博士后创新人才支持计划项目、中国博士后科学基金-面上资助、广东省自然科学基金-面上项目等资助。主要从事COFs及其复合材料在能源领域的应用探索。近五年在国际高水平期刊发表论文30余篇,其中以一作/通讯作者发表论文19篇,包括J. Am. Chem. Soc.(3)、Angew. Chem. Int. Ed.(9)、Nat. Commun.(1)、ACS Central Science.(1)、Applied Catalysis B: Envir.(2)、ACS Catalysis(1)、等。论文总被引4200余次,ESI高被引论文11篇,Hot Paper 4篇,个人H-index为22。担任《Research》《Microstructures》期刊青年编委。
张蜜,华南师范大学化学学院副研究员,副高职,硕士生导师。2020年获得南京师范大学化学博士学位,2020至今在华南师范大学化学学院工作。获国家自然科学基金-青年基金项目、博士后面上资助、广东省自然科学基金面上项目、广州市基础与应用基础研究项目等项目资助。主要从事COFs及其复合材料的设计合成及光电催化应用研究。近年来在化学领域顶级学术期刊上发表论文27篇,其中以第一作者/通讯作者身份发表高水平论文17篇,包括J. Am. Chem. Soc.(1)、Adv. Mater. (1)、Angew. Chem. Int. Ed. (6)、Energy Storage Materials (1)、JACS Au(1)、National Science Review(1)、JMCA(1)等,其中ESI高引论文5篇。论文总被引3000余次,个人H-index 21。申获专利2项。现任《Catalysts》期刊Guest Editor。
课题组主页http://www.yqlangroup.com
欢迎关注我们,订阅更多最新消息
“邃瞳科学云”推出专业的自然科学直播服务啦!不仅直播团队专业,直播画面出色,而且传播渠道多,宣传效果佳。
“邃瞳科学云"平台正在收集、整理各类学术会议信息,欢迎学会、期刊、会议组织方择优在邃瞳平台上进行线上直播,希望藉此帮助广大科研人员跨越时空的限制,实现自由、畅通地交流互动。欢迎老师同学们提供会议信息(会有礼品赠送),学会、期刊、会议组织方商谈合作,均请联系18612651915(微信同)。
投稿、荐稿、爆料:Editor@scisight.cn