第一作者:Dr. Christopher D. Windle
1. 分子催化剂与氮化碳通过共价键结合,实现了高效、稳定的光催化氢气制备。
2. 瞬态吸收光谱显示,共价结合实现了亚微秒级的快速电子传输,光生电子的半衰期因分子催化剂的引入提高了1000倍以上。
氢能以其洁净、高效、无污染的特点越来越引起关注,氢能制备也正成为国家能源发展战略的一个重点领域。光催化技术为太阳能分解水制氢提供了一条完美路径。然而要想大规模推广应用还有几个关键问题亟待解决:1. 目前大多产氢光催化剂需要担载贵金属,导致其成本过高,因此产氢催化剂的廉价化十分重要;2. 尽可能拓展光吸收范围以有效利用太阳光;3. 长时间的稳定运行。
制备高效、长寿命、廉价的光催化剂以推动绿色氢能的普及。
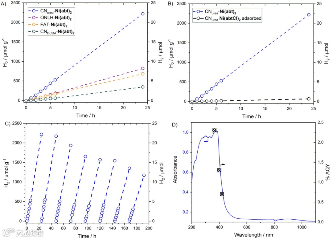
自2009年氮化碳被首次制备并用于光催化产氢以来,它凭借简单的制备方法、优异的稳定性成为了明星光催化剂。然而,为提高产氢效率,一般需要在其表面沉积贵金属纳米颗粒,因此大大提高了其制备成本。有鉴于此,伦敦大学学院唐军旺教授等人将不含贵金属的分子催化剂共价嫁接在氮化碳表面,大大提高了光生电子向活性位点的传输速率,并将电子的半衰期提高了1000倍以上,实现了和担载贵金属相当的产氢效率,并可维持运行7天以上。这为稳定、高效光催化剂的制备提供了一种新的通用策略。

要点1:偶联反应实现共价结合
共价结合是通过芳基胺与芳基氯在叔丁醇钾的催化下进行偶联反应实现。对比反应前后的XPS图谱,Cl元素的显著减少证实了偶联反应的有效进行。此外,用相同方法引入另一种分子催化剂的成功验证了这种方法的通用性。
图2. 催化剂的制备与XPS表征。
要点2:高效、稳定的产氢性能
分子催化剂的特色是可以显著提高氮化碳的产氢性能。此前报道的绝大多数文献中,分子催化剂通过物理吸附附着在光催化剂表面,这导致其催化性能极短期内提高很多,可是产氢速率难以长时间保持,几个小时就很快下降。而通过化学共价结合氮化碳和分子催化剂的光催化体系,在连续7天的分解水产氢性能测试中,产氢速率下降不到50%,显示出卓越的稳定性。
要点3:显著优化的电子传输性能
瞬态吸收光谱研究发现,引入分子催化剂之后,电子在亚微秒的时间内快速传输到分子催化剂。同时,电子半衰期从10μs提高到7 ms。这些结果表明分子催化剂大幅度提高了光生载流子的分离效率,进而有效推动还原反应的进行,同时大幅度抑制了逆反应的发生。
图4. 光生电子在催化剂中的传输性能。
综上,这项研究通过共价键嫁接分子催化剂实现了氮化碳高效、长时间的稳定产氢。
共价键嫁接分子催化剂到聚合物催化剂表面是一个全新的研究领域,对其全面和深入的研究必然会带来催化领域新的性能和材料的突破,这篇文章介绍的思路与方法对于新型聚合物光催化剂的制备与研究具有普适的指导意义。
2. R. Godin, Y. Wang, M. A. Zwijnenburg, J. Tang and J. R. Durrant, J. Am. Chem. Soc., 2017, 139, 5216-5224.
3. Y. O. Wang, M. K. Bayazit, S. J. A. Moniz, Q. S. Ruan, C. C. Lau, N. Martsinovich and J. W. Tang, Energy & Environmental Science, 2017, 10, 1643-1651.
4. Y. Wang, F. Silveri, M. K. Bayazit, Q. Ruan, Y. Li, J. Xie, C. R. A. Catlow and J. Tang, Advanced Energy Materials, 2018, 8, 1801084.
5. D. J. Martin, K. Qiu, S. A. Shevlin, A. D. Handoko, X. Chen, Z. Guo and J. Tang, Angew. Chem. Int. Ed., 2014, 53, 9240-9245.
唐军旺教授,伦敦大学学院(University College London,简称UCL)材料中心主任以及光催化和高级材料反应工程研究组负责人,在新催化材料的设计和制备,光催化小分子活化(分解水制氢,甲烷转化,二氧化碳转化和合成氨),微波催化和光化学反应机理研究方面具有很深厚的造诣。目前在Nature Catalysis, Nature Energy, Nature Communications, Chemical Reviews, Chemical Society Reviews, Journal of the American Chemical Society、Angewandte Chemie等杂志发表了150多篇文章,引用率>13500次,h因子55;申请和授权了11项专利,目前担任Appl. Catal. B等多本杂志主编。
课题组网站:https://www.ucl.ac.uk/solar-energy-advanced-materials/
Twitter: Tang_group_UK



