
第一作者:杨雪鹏、吴志征、李烨成、孙书平
通讯作者:李士阔、高敏锐
通讯单位:安徽大学、中国科学技术大学
论文DOI:doi.org/10.1038/s41467-025-58109-6
利用可再生电力驱动CO电还原(CORR)制备乙酸盐,是实现高附加值碳基化合物绿色合成的有效途径。然而,该技术面临多重挑战:1)反应网络复杂,存在乙烯、乙醇和正丙醇等多条竞争路径;2)析氢副反应(HER)难以抑制。这些因素严重制约了该技术的实际应用。本研究开发了一种铈单原子(Ce-SAs)修饰的结晶-非晶双相铜(Cu)催化剂,该催化剂能高效将CO转化为乙酸盐。其中,Ce-SAs降低了双相Cu表面的电荷密度,减少了界面水中自由水(K·H2O)的比例,从而降低了催化剂表面的氢中间体(H*)覆盖度。同时,双相Cu向Ce-SAs的电子转移生成了Cu+物种,这促进了顶位吸附CO(*COatop)的形成,加速了*COatop-*COatop耦合反应速率。这些协同效应使反应优先向生成烯酮(*CH2-C=O)中间体路径进行,而*CH2-C=O会与脉冲电解富集的OH⁻反应生成乙酸盐。利用该催化剂,在脉冲电解模式下实现了71.3±2.1%的乙酸盐法拉第效率(FE),110.6±2.0 mA cm-2的乙酸盐平均电流密度。此外,由该催化剂组装的流动电解器可保持稳定生产乙酸盐(FE>60%)至少138小时。
利用CORR制取乙酸盐是实现乙酸绿色合成的重要途径之一,相较于传统工业化生产能够有效降低反应能耗并减少二氧化碳排放。然而,该技术在实际应用中主要面临生成乙酸选择性低和运行稳定性差的难题,这严重限制其工业化应用。因此,开发高效催化剂以调控乙酸盐生成路径,提升乙酸盐选择性是目前该领域的研究重点。铜(Cu)对CO具有适中的吸附能,是当前少数能在大电流下催化 CORR 生成乙酸的催化剂之一。Cu表面H*和*CO覆盖度会对CORR催化选择性产生重要影响,低的H*覆盖度会诱使*CO中间体转变为*CCO中间体,促进乙酸生成。近年来,单原子催化剂(SACs)因其高原子利用率和可调控的电子结构,在电催化领域展现出巨大潜力。将单原子与Cu基材料结合,有望通过优化界面环境和电子结构,进一步提升催化性能。本文报道了一种Ce-SAs修饰的结晶-非晶双相Cu催化剂,Ce-SAs通过调控Cu表面界面水结构和电荷密度,显著提升了CORR制取乙酸盐的选择性,为设计高效CORR催化剂的设计提供了新思路。
1. 本文开发了一种Ce-SAs修饰的结晶-非晶双相Cu催化剂。这种独特的结构结合了单原子催化和双相材料的优势,通过精确调控界面环境和电子结构,显著提升了CORR制取乙酸盐的性能。
2. Ce-SAs的引入降低了双相Cu表面的电荷密度,减少了界面水中K·H2O比例,降低了催化剂表面H*的覆盖度,为CORR提供了更有利的反应环境。
3. 双相Cu向Ce-SAs的电子转移生成了Cu+物种,促进了*COatop的形成,并加速了*COatop-*COatop偶联反应,低的H*覆盖度促进了*CCO、*CH2-C=O等关键中间体的形成,这一机制显著提高了乙酸盐生成的反应速率和选择性。
4. 在脉冲电解模式下,OH-在催化剂表面富集,并与*CH2-C=O中间体反应生成乙酸盐,最终能够实现71.3±2.1%的乙酸盐FE、110.6±2.0 mA cm-2的乙酸盐平均电流密度和138小时的运行稳定性。
本研究在前期开发的双相铜(d-Cu)和非晶铜氧化物(a-Cu)催化剂基础上,通过实施表面修饰策略,将铈单原子(Ce-SAs)锚定在d-Cu和a-Cu表面,制备了Ce SAs修饰d-Cu和a-Cu的催化剂Ce-d-Cu和Ce-a-Cu(图1a-d)。HAADF-STEM图像显示,Ce-d-Cu呈现明显的晶格条纹(结晶区)与无序区域(非晶区)共存的特征,证实了双相结构的存在。原子级分辨图像中可观察到孤立的Ce原子(黄色圆圈)均匀分布在Ce-d-Cu和d-Cu基体上(图1b and d)。EXAFS及小波变换结果表明,Ce-d-Cu及Ce-a-Cu中不存在Ce-Ce键(图1e-g),证实Ce以单原子形式存在。
图1. Ce-d-Cu和Ce-a-Cu催化剂的结构表征。Ce-d-Cu (a)和Ce-a-Cu (c)示意图。Ce-d-Cu (b)和Ce-a-Cu (d)的HAADF-STEM图像和EDS元素mapping图像。橙色圆圈表示Ce SAs。Ce-d-Cu、Ce-a-Cu和CeO2的Ce L3边XANES谱(e)、Ce L3边傅里叶变换-EXAFS谱(f)和小波变换EXAFS信号(g)。
从图2可知,Ce-d-Cu制取乙酸盐的FE要显著高于d-Cu、结晶铜(c-Cu)、Ce-a-Cu和a-Cu催化剂(图2a-c),其表面生成乙烯和H2受到明显抑制(图2d-e)。在阳极电流密度为ia=-10 mA cm-2,阴极电流密度为ic=-300 mA cm-2,脉冲周期ta=tc=0.5 s的条件下,Ce-d-Cu制取乙酸盐的最大FE可达71.3%,平均电流密度可达111 mA cm-2,运行稳定性可达138小时(图2f-g)。
图2. CORR性能。在ia = -10 mA cm−2, ta=tc = 0.5 s时,Ce-d-Cu在不同阴极电流密度下的FE(a上图)和平均电流密度(a下图)。在100 ~ 500 mA cm-2的阴极电流密度范围内,不同催化剂上乙酸盐的FE(b)、乙酸盐平均电流密度(c)、乙酸盐与乙烯FE的比值(d)和H2的FE(e)。(f) 最佳脉冲参数下Ce-d-Cu连续138 h的稳定性试验。(g) 从乙酸盐的FE、C2+的FE、FE乙酸盐/FEC2+、H2的FE和稳定性方面,对该研究成果与现有的CORR电催化剂的比较。
从图3可知,CO在Ce-d-Cu表面主要以*COatop构型存在,其表面*COatop覆盖度要显著高于d-Cu、结晶铜(c-Cu)、Ce-a-Cu和a-Cu催化剂(图3a和c)。此外,υOCO和δCH3振动峰的存在证实乙酸盐的生成(图3b),对OCO峰的归一化分析表明,Ce-d-Cu表面生成乙酸盐产量要显著高于另外四种催化剂(图3d)。

图3. 原位ATR-SEIRAS研究。不同催化剂在脉冲条件下(Ec=−0.1~−1.2 V vs. RHE, Ea = 0 V vs. RHE,无iR校正,ta = tc = 0.5 s),在光谱范围为1750 ~ 2100 cm-1 (a)和1280 ~ 1440 cm-1 (b)时的原位ATR-SEIRAS光谱。*COatop/*CObridge的峰面积比(c)和*OCO的归一化峰面积(d)(归一化到*H2O的最大υ(O-H)带)与阴极电位的函数关系。
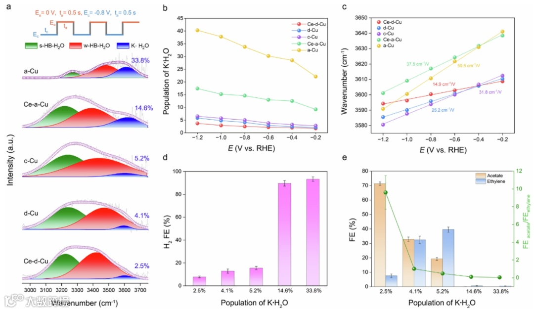
通过对五种催化剂的界面水结构进行分析,研究人员发现Ce-d-Cu中K∙H2O占比最低仅有2.5%(图3a),K∙H2O含量随着阴极电位变负而逐渐升高(图3b),Ce-d-Cu中K∙H2O的斯塔克斜率最小(图3c),证明其K∙H2O结构对电场扰动具有最优的稳定性。此外,H2的FE随K∙H2O含量的增加而增加,乙酸盐FE随K∙H2O含量的增加而下降,乙烯FE与乙酸盐FE的比值随K∙H2O含量的增加而下降(图3d-e),证明高含量K∙H2O所营造的富H*环境,能够促进H2和乙烯生成,而抑制乙酸盐生成。
图4. 催化剂界面水结构。在Ea = 0 V, Ec = -0.8 V, ta = tc = 0.5 s的脉冲条件下,不同催化剂上界面水的原位ATR-SEIRAS光谱(无iR校正)。(a)4-HB-H2O、2-HB-H2O和K∙H2O三种O-H拉伸模式的高斯拟合,分别以绿色、红色和蓝色表示。不同催化剂上的K∙H2O占比(b)和K∙H2O的O-H伸展模式频率(c)随电位变化的情况(不含iR校正)。H2的FE (d)、乙酸盐的FE、乙烯的FE和FE乙酸盐/FE乙烯比值(e)与K∙H2O占比的函数关系。
通过对五种催化剂进行原位DEMS分析,研究人员发现脉冲电解能够显著抑制H2和乙烯生成,其中Ce-d-Cu和Ce-a-Cu相对于d-Cu和a-Cu,H2和乙烯的下降幅度显著增强(图5a-b),进一步证实Ce SAs能够抑制H2 和乙烯的生成。通过对催化剂表面零电荷电势(pzc)和H*覆盖度分析发现(图5c-d),Ce SAs能够降低催化剂表面电荷密度,从而降低界面水中K∙H2O占比,进而降低催化剂表面的H*覆盖度。
图5. 乙酸盐选择性增强的机理。不同催化剂的C2H2+ (a)和H2+ (b)随时间变化的DEMS信号。在3 M KOH (pH=14.43±0.05)中恒定电流密度(i =−10 mA cm-2)下持续10 min,然后在脉冲模式(ia =−1 mA cm-2, ic =−10 mA cm-2, ta = tc = 0.5 s)下持续10 min的DEMS测试。不同催化剂上的PZC值(c)和Cφ与η的关系曲线 (d)(无iR校正)。Ce-SAs调控Ce-d-Cu (e)和Ce-a-Cu (f)的界面水结构,促进CORR生产乙酸盐以及抑制HER的示意图。
该研究展示了一种Ce-SAs修饰的结晶-非晶双相Cu催化剂,其中Ce-SAs作为结构改性剂,可在脉冲电解条件下将CO高选择性转化为乙酸盐。Ce-SAs通过降低催化剂表面电荷密度抑制K·H2O的形成,在催化剂表面营造低的H*覆盖度环境。此外,结晶Cu会转移电子到Ce-SAs,促进Cu+的形成,从而提高了局部*COatop覆盖率,有利于*(OH)C=COH的形成。而低的H*覆盖度更有利于*(OH)C=COH向*CH2-C=O转化,而*CH2-C=O将与脉冲条件下富集的OH-反应,生成乙酸盐(图5e-f)。最终实现生成乙酸盐的FE达到71.3±2.1%,平均电流密度达到110.6±2.0 mA cm−2。并且,该催化剂也被证明可在液流电池反应器中连续运行超过138小时。该研究展示了一种基于原子分散的稀土元素的独特催化剂设计,为开发高效稳定的CORR制乙酸催化材料提供了新的设计思路,对促进乙酸的绿色电化学合成具有重要意义。
杨雪鹏,安徽大学博士后,合作导师为高敏锐教授和李士阔教授。主要从事铜基纳米催化剂的设计合成及其在二氧化碳电还原领域应用研究,以第一(包含共同第一)在J. Am. Chem. Soc. (3)、Angew. Chem. Int. Ed. (2)、Nat. Commun.(1)|、Chem. Soc. Rev. (1)、Nano Mater. Sci.(1)、J. Energy Chem. (1)等期刊共发表论文9篇。获得碳未来青年研究者奖荣誉奖(2024)、“Nano Research Energy”学术新星金奖(2024)、中国科学院院长奖(2023)、国家奖学金(2020)等荣誉与奖励。
吴志征,加拿大多伦多大学博士后,合作导师为David Sinton教授。主要从事二氧化碳电还原制备多碳产物的基础科学研究。以第一(包含共同第一)作者在J. Am. Chem. Soc. (2)、Nat. Commun.(1)、PNAS(1)、Energy Environ. Sci. (1)、Energy Fuels (1)、Nano Mater. Sci.(1) 等期刊发表论文7篇。参与撰写“爱斯唯尔出版社”英文章节1篇。曾获中科大优秀毕业生(2024),研究生国家奖学金(2021,2022),德创奖学金,合肥微尺度物质科学国家研究中心研究生学术论坛二等奖等。
李烨成,中国科学技术大学高敏锐教授课题组博士研究生。研究方向是二氧化碳还原电催化材料开发以及新型反应系统设计。以第一(包含共同第一)在Nat. Commun. (1)、Angew. Chem. Int. Ed.(1)、Chemical Science(1)、iScience(1)等期刊上发表论文4篇。
孙书平,中国科学技术大学高敏锐教授课题组博士研究生。研究方向为电催化二氧化碳/一氧化碳还原,以第一(包含共同第一)在Nat. Commun.(2)上发表研究论文2篇。
李士阔,安徽大学材料科学与工程学院教授。2015年博士毕业于中国科学技术大学纳米化学专业,2017年获国家留学基金委资助受邀到美国匹兹堡大学交流访学。获评安徽省领军人才特聘教授,入选安徽省学术与技术带头人后备人选,获安徽省高校学科拔尖人才资助。主要从事光电催化材料的界面结构设计及性能开发研究,以多尺度纳米材料的精细结构调控及高性能光电催化研究为目标,重点围绕表界面结构设计、电荷转移及性能调控,实现绿色能源分子的催化合成。在Nature Communications, Advanced Materials, Advanced Functional Materials, Advanced Science等期刊发表SCI论文60余篇,授权发明专利5项,获省部以上科技奖励2项。获宝钢全国优秀教师奖,安徽省教学名师,安徽省优秀青年研究生导师等荣誉。
高敏锐,中国科学技术大学教授,十四五国家重点研发计划项目首席科学家,获国家杰出青年基金资助。2012年在中国科学技术大学获博士学位,师从俞书宏院士。2012年至2016年先后在美国特拉华大学、阿贡国家实验室和德国马普协会胶体与界面研究所从事博士后研究。入选国家高层次人才计划青年项目(终期考核优秀)、科睿唯安(Clarivate)和爱思唯尔(Elsevier)中国高被引学者榜单。 高敏锐教授研究方向是基于无机纳米材料结构的可控合成及优化,实现可持续电能在洁净氢以及高附加值燃料分子中的高效、廉价存储及转换。已发表60余篇通讯作者论文,包括Nat. Catal.,Sci. Adv.,PNAS,JACS,Angew. Chem.,Nat. Commun.等。曾获纳米研究青年科学家奖(2023)、中国科大海外校友基金会青年教师事业奖(2021)、中国新锐科技人物(2020)、香港求是基金会“杰出青年学者奖”(2018)等奖励。担任中国青年科技工作者协会理事(2020-)。指导学生获中国科学院院长奖(5人)、博新计划(1人)和国自然青年学生基础研究项目(2人)等奖励和支持。
欢迎关注我们,订阅更多最新消息
“邃瞳科学云”推出专业的自然科学直播服务啦!不仅直播团队专业,直播画面出色,而且传播渠道多,宣传效果佳。
“邃瞳科学云"平台正在收集、整理各类学术会议信息,欢迎学会、期刊、会议组织方择优在邃瞳平台上进行线上直播,希望藉此帮助广大科研人员跨越时空的限制,实现自由、畅通地交流互动。欢迎老师同学们提供会议信息(会有礼品赠送),学会、期刊、会议组织方商谈合作,均请联系18612651915(微信同)。
投稿、荐稿、爆料:Editor@scisight.cn