
光催化为温和条件下甲烷(CH4)向多碳(C2+)化合物的转化提供了一条十分具有吸引力的途径。然而,通过甲基自由基作为唯一的反应中间体,目前的C2+产物主要为乙烷(C2H6),对乙烯(C2H4)的选择性可忽略不计。而C2H4作为一种关键的化工原料,具有比C2H6更高的附加值。在本工作中,我们报道了在钯修饰的氧化锌-金复合催化剂(ZnO-AuPd)上,通过烷氧中间体(即甲氧基和乙氧基)的形成与脱氢来实现直接光催化CH4向C2H4转化的反应路径。多种原位表征技术揭示,Pd诱导的催化剂脱氢能力是开启该路径的关键。在反应过程中,CH4分子可以在Pd的辅助下解离形成ZnO表面的甲氧基。随后,这些甲氧基中间体可以进一步脱氢并与甲基自由基偶联形成乙氧基,最后脱氢得到C2H4。作为结果,在光照反应8 h后,具有原子分散Pd位点的优化的ZnO-AuPd复合催化剂(ZnO-AuPd2.7%)实现了536.0 μmol g−1的CH4转化速率以及96.0%的C2+产物选择性(在所有C2+产物中,C2H4与C2H6的选择性分别为39.7%和54.9%)。这项工作为温和条件下的CH4转化机制提供了新的认识,并强调了脱氢对于提升光催化反应活性以及产物中不饱和碳氢化合物选择性的重要性。
CH4作为天然气、页岩气以及可燃冰的主要成分,不仅是一种储量丰富的清洁能源,同时也是一个重要的结构单元,可用于生产具有高附加值的化工品(Chem. Rev. 2017, 117, 8497-8520; Chem. Soc. Rev. 2008, 37, 1592-1602)。但是,由于CH4分子的强C–H键、低极性以及可忽略的电子亲和性,其转化通常需要在高温高压的反应条件下进行。在这一背景下,光催化CH4转化仅需要太阳能作为能量输入,被认为是在温和条件下实现CH4转化的一种非常具有吸引力的途径。尽管潜力巨大,这一途径在反应产物的选择性上仍面临极大挑战。CH4转化的一类目标产物是C2+化合物,并且低碳烯烃(主要为C2H4)具有比饱和烷烃(例如C2H6)更高的附加值。但是目前报导的光催化CH4转化反应中,C2+产物主要为C2H6,而对C2H4的选择性可忽略不计。
从反应机理来看,光催化CH4转化的反应中间体通常被认为是甲基自由基。然而,由于得到的甲基自由基十分倾向于偶联形成C2H6,使得C2H4的生成从原理上难以实现。相比之下,热催化的CH4转化制C2H4反应已经有很长的研究历史。在热催化反应过程中,CH4分子可以先通过甲基自由基中间体转化为C2H6,得到的C2H6再在高温的反应条件下(通常超过700℃)经历气相脱氢得到C2H4。显然,在光催化的温和条件下C2H6的气相脱氢是难以实现的。但是,受到这一机制的启发,我们设想如果赋予光催化剂较强的脱氢能力,或许能够解决当前CH4转化所面临的瓶颈。更具体地说,如果能通过合理的催化剂结构与功能设计将脱氢过程引入到甲基自由基的偶联过程中,那么直接的光催化CH4向C2H4转化将成为可能。
基于这一设想,中科大熊宇杰教授团队及合作者设计了一种多孔ZnO纳米片负载的AuPd核-壳纳米棒结构(ZnO-AuPd)。在这一结构中,ZnO可以在光照下提供大量的Zn+–O−对。其中,O−中心可以打断CH4的C–H键生成甲基自由基,而Zn+位点则可以帮助俘获甲基自由基,实现后续的转化。Au纳米棒被选择作为等离激元金属纳米结构,旨在提供局域电场,以进一步促进光照下ZnO表面Zn+–O−对的产生。而Pd位点则被选择作为修饰剂来调控复合催化剂的脱氢能力,以实现对光催化CH4转化途径以及产物C2H4选择性的调控。
图1是复合结构的合成示意图与形貌表征图:(a)巯基丙酸(MPA)辅助的ZnO-AuPd复合结构合成过程示意图;(b)AuPd2.7%核-壳纳米棒结构的TEM图像;(c)ZnO-AuPd2.7%的TEM图像;(d)ZnO-AuPd2.7%的HRTEM图像;(e)ZnO-AuPd2.7%的STEM图像及对应的EDX元素面分布图像。
图2确认了ZnO-AuPd复合结构中Pd位点在Au纳米棒表面晶格中的高度分散:(a)ZnO-Au,ZnO-AuPd1.4%, ZnO-AuPd2.7%,ZnO-AuPd4.3%,ZnO-AuPd8.3%与ZnO-Pd样品的CO吸附DRIFTS结果;(b)ZnO-AuPd2.7%样品k2加权的傅里叶变换Pd K边EXAFS谱以及对应的拟合分析。
图3是复合结构的光催化CH4转化性能研究:(a)光照4 h后,ZnO、ZnO-Pd、ZnO-Au、ZnO-AuPd1.4%、ZnO-AuPd2.7%、ZnO-AuPd4.3%、ZnO-AuPd8.3%以及ZnO-Au,Pd样品上的C2+产物产率;(b)使用同等物质的量的13CH4、CH4以及CD4作为反应物,在ZnO-AuPd2.7%催化剂上产生的乙烯的质谱图;(c)ZnO-AuPd2.7%光催化剂上时间依赖的C2H6与C2H4产率;(d)ZnO-AuPd2.7%催化剂的循环性实验,一次反应时间为4 h,每次反应之间催化剂通过水洗后干燥处理。
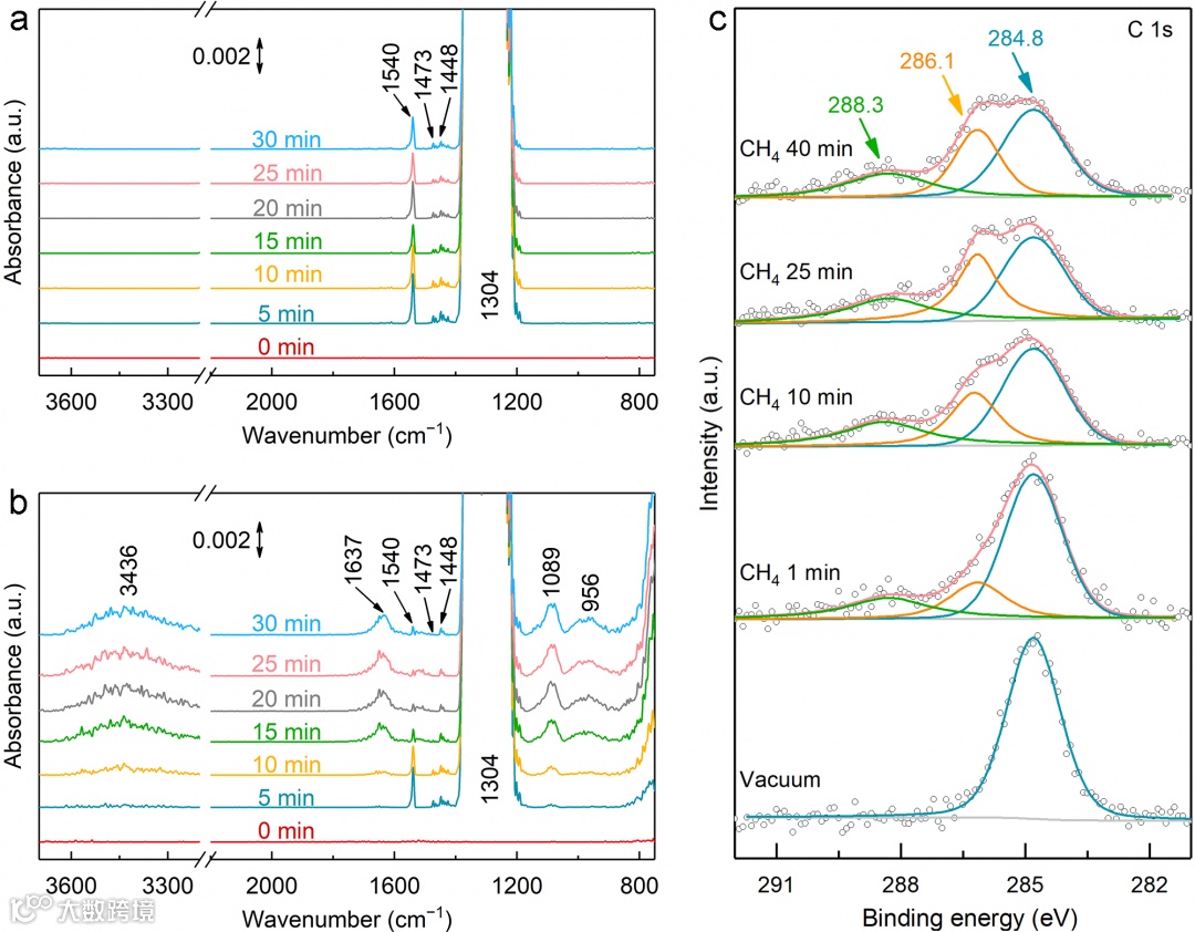
图4是CH4在催化剂表面的吸附过程探究:(a)ZnO-Au与(b)ZnO-AuPd2.7%样品上的原位CH4吸附DRIFTS结果;(c)ZnO-AuPd2.7%样品在超高真空下以及暴露于0.45 mbar CH4气氛下不同时间后的高分辨C 1s XPS谱。
图5是揭示了烷氧中间体介导的光催化CH4转化机制:(a)ZnO-AuPd2.7%样品上光催化CH4转化过程的原位DRIFTS结果;(b)ZnO-AuPd2.7%样品暴露于不同气氛条件下的原位ESR谱图;(c)提出的在ZnO-AuPd复合催化剂上通过甲氧基与乙氧基中间体实现直接光催化CH4转化制C2H4的反应机制。
综上所述,本工作基于Pd修饰的ZnO-Au复合催化剂,揭示了一条在温和条件下通过甲氧基与乙氧基中间体实现直接光催化CH4转化制C2H4的机制。这一新转化机制的开启得益于Pd诱导的复合催化剂强脱氢能力。具体来说,Pd修饰作为一种非常实用的策略,可以促进CH4转化中的多个关键步骤,包括CH4分子在ZnO表面解离为甲氧基,生成的甲氧基进一步脱氢并与甲基自由基偶联得到乙氧基,以及随后的乙氧基脱氢得到C2H4。作为结果,在光照反应8 h后,具有原子分散Pd位点的优化的ZnO-AuPd2.7%催化剂实现了536.0 μmol g−1的CH4转化速率以及96.0%的C2+产物选择性(在所有C2+产物中,C2H4与C2H6的选择性分别为39.7%和54.9%)。这一工作从控制光催化反应中脱氢过程的角度,为高活性与选择性的CH4向高附加值碳氢化合物转化提供了新的见解。
熊宇杰,中国科学技术大学教授、博士生导师,“长江学者奖励计划”特聘教授,国家杰出青年科学基金获得者,国家“万人计划”科技创新领军人才,英国皇家化学会会士。现任化学与材料科学学院副院长,合肥微尺度物质科学国家研究中心纳米催化与能量转化研究部主任。组织了中国科学院创新交叉团队,基于所发展的“精准合成-原位谱学-理论模拟”三位一体研究方法,探索界面耦合激发态下的分子转化机制,推动其在太阳能驱动人工碳循环方面的应用。已在Science等国际刊物上发表200余篇论文,总引用25,000余次(H指数77),入选科睿唯安全球高被引科学家榜单和爱思唯尔中国高被引学者榜单。曾获英国皇家化学会Chem Soc Rev开拓研究者讲座奖、中美化学与化学生物学教授协会杰出教授奖、中国科学院优秀导师奖、教育部“基础学科拔尖学生培养计划”优秀导师奖等奖励。
龙冉,中国科学技术大学国家同步辐射实验室副教授,博士生导师。主要研究方向是基于无机固体材料的晶格工程,利用晶面调控、电子态调控、原子修饰以及复合结构等手段,调节金属纳米催化剂的表面微结构,进而调控催化反应中相关反应分子的吸附、活化行为,建立结构与性能的本征关系。已在高水平学术期刊上发表70余篇论文,他引2800余次(H指数32),其中以第一作者/共同第一作者/共同通讯作者在Journal of the American Chemical Society、Angewandte Chemie International Edition、Advanced Materials、Chemical Society Review、Nano Energy和Small等期刊上发表 20 余篇论文。
Wenbin Jiang, Jingxiang Low, Keke Mao, Delong Duan, Shuangming Chen, Wei Liu, Chih-Wen Pao, Jun Ma, Shuaikang Sang, Chang Shu, Xiaoyi Zhan, Zeming Qi, Hui Zhang, Zhi Liu, Xiaojun Wu, Ran Long*, Li Song and Yujie Xiong*. Pd-Modified ZnO-Au Enabling Alkoxy Intermediates Formation and Dehydrogenation for Photocatalytic Conversion of Methane to Ethylene. J. Am. Chem. Soc, DOI: 10.1021/jacs.0c10369.


