
第一作者: Hao Li
通讯作者: Jens K. Nørskov
通讯单位: Technical University of Denmark
论文DOI: https://doi.org/10.1038/s41929-021-00618-w

全文速览
氧还原反应(ORR)是燃料电池性能的重中之重。到目前为止,该反应中最活跃和最稳定的电催化剂是铂基催化剂。实际上,过渡金属氧化物(TMO)也是另一类可在氧化条件下实现操作稳定性的材料。不幸的是,通常发现TMO的活性不如Pt。在这里,作者分析了很难找到具有高ORR活性的TMO的两个原因。首先是TMO表面持续键合氧原子的能力比过渡金属更弱,这使得决速的O–O键断裂需要在大范围的TMO表面。第二个原因是TMO表面的电场效应更强,这进一步使O-O键断裂变得困难。为了验证这些预测并确定其对TMO的通用性,作者对7798种TMO组合物进行实验性ORR催化剂筛选,发现这些组合物的活性通常远低于Pt。

背景介绍
氧还原反应(ORR)是低温燃料电池性能的关键。迄今为止,该反应中最具活性的催化剂是Pt基金属,但是由于ORR动力学缓慢,这些催化剂仍然需要相当多的能量消耗。其实,过渡金属氧化物(TMO)构成了一类丰富的材料,能在氧化条件下保持稳定,但不幸的是,它们的活性不如Pt。

图文解析
图1. TMO催化剂性能总结。左:在酸性条件下,十种已报道的ORR催化剂在0.8 V RHE下的电流密度,每种催化剂的活性比Pt至少低30倍;右图:在碱性条件下,使用高通量技术对7,798个复杂TMO催化剂进行评估的总结直方图。
图2. Pt,ZrO2和HfO2(111)上四电子(4e-)ORR过程的自由能图。表面Pourbaix图计算表明,在酸性和碱性条件下,这两种TMO的原始表面在ORR电势下都是有利的。
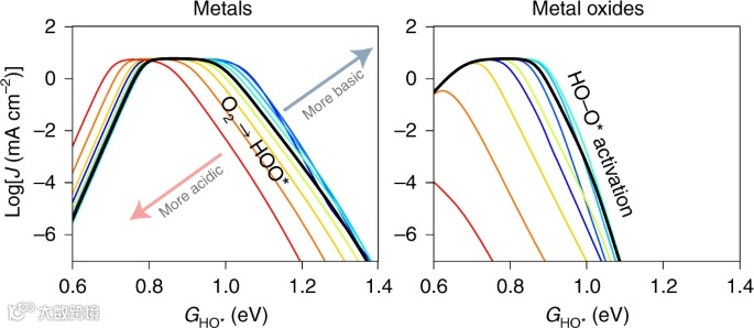
图3. 决定ORR活性的线性比例关系。a,EHO*与EHOO*的比例关系。 b,过渡金属(111)表面上的EHO*与EO*比例关系。 c,在高指数TMO表面上EHO*与EO*的比例关系。 d,低指数TMO表面上EHO*与EO*的比例关系。 e,在U = 0 V时,过渡态能量(GHO-O* - GHOO*)与ΔG(GO* - GHOO*)的关系。
图4. 在0.8 V RHE下4e– ORR过程的动力学火山模型图。a,过渡金属表面的活性火山模型图。b,低指数和c,高指数TMO表面的活性火山模型图。
图5. 电场效应和pH相关的动力学火山模型图。a-c, 电场对Au(100)(a),ZrO2(100)(b)和ZrO2(111)(c)上吸附物结合的影响。d,过渡金属表面的火山活动模型图。e,f,针对低指数(e)和高指数(f)TMO表面的活性火山模型图。较高和较低的电场分别代表更高的酸性和碱性条件。

总结与展望
因此,发现更多具有高ORR活性的TMO的一种途径是考虑具有更高配位O吸附能力的稳定TMO。对于键合弱的TMO,这可能是缺陷部位或晶格氧导致的。另外,要找到比Pt更好的ORR电催化剂,不仅需要显着改变O吸附能和O–O键断裂势垒的比例,同时还需要改变O2活化形成吸附的HOO的势垒。这很可能需要设计新的或未发现的多功能活性位点。


