第一作者:刘文聪
通讯作者:毛善俊、王勇
通讯单位:浙江大学
论文DOI:10.1016/j.apcatb.2025.125466
1,4-环己烷二甲醇(CHDM)是合成抗冲击、耐热、高透明度的高端聚酯的关键单体。近日,浙江大学王勇教授团队设计了一种双温度接力催化系统,将废旧塑料聚对苯二甲酸乙二醇酯(PET)的醇解产物对苯二甲酸二甲酯(DMT)一锅升级转化为CHDM,为实现塑料闭环循环提供了精简高效的高值化方案。该体系采用Pd/C与Cu-MnOx-ZrO2物理混合催化剂,在一锅中分别针对性地完成苯环和酯基两个位点的加氢反应。工作利用Pd与Cu催化剂的温度响应差异设计双温度策略,实现了苯环与酯基的接力选择性加氢,解决了一锅体系中苯环对酯基选择性加氢的干扰问题。该方案实现了DMT的完全转化和92.6% CHDM收率,将传统一锅体系中的加氢脱氧副反应减少了70%。
PET是人类社会产量最高、回收量最大的聚酯。当前,PET 的化学回收方案以热解与醇解为主。这些方案普遍以回收PET的上游产品(如对二甲苯、对苯二甲酸、对苯二甲酸二甲酯)为目标,通过后续的重聚合实现PET的再生,从而完成"聚合-解聚"的闭环循环。但这一过程伴随高温与试剂损耗导致的碳原子潜在损失,其无增值的本质对建立真正的循环经济模式优势有限。
通过多相催化加氢策略将PET升级转化为CHDM是一条具有效益前景的路线。 CHDM可作为高质量且无毒的单体,参与高端聚酯如聚1,4-环己二甲基对苯二甲酸乙酯(PCT)、聚对苯二甲酸乙酯-co-1,4-环己二亚甲基对苯二甲酸乙酯(PETG)的合成,投入到更高级的消费链中。
本文以PET的醇解产物DMT为研究对象,对其苯环与酯基进行催化加氢实现升级制备CHDM。通过反应工艺与催化剂的优化实现了快捷、高效的DMT升级转化。
1. 在反应工艺方面,本文将传统的双反应器两步法整合为一锅反应体系,并指出工艺中的难点在于苯环的存在干扰了酯基的正常加氢过程。基于此,研究团队设计了双温度控制策略,利用钯和铜催化剂在不同温度下的活性差异,有效控制苯环和酯基的先后加氢顺序。这一策略将传统一锅法中的副反应减少了70%,最终实现了DMT的完全转化与92.6%的CHDM收率。
2. 在催化剂设计方面,本文通过Mn修饰的Cu催化剂实现了高效的酯基加氢催化剂构筑:Mn为催化剂引入的氧空位调控了催化剂对酯基的吸附能力,并通过与Cu的电子相互作用调控Cu的价态,使催化剂对氢气与酯基的活化速率互相匹配,最终实现单位面积Cu的活性优化。
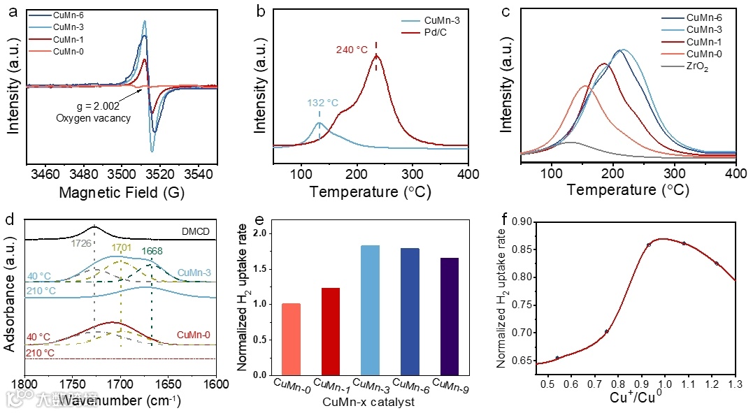
本研究制备了不同Mn/Zr比的CuMn-x催化剂(x=Mn:Zr摩尔比),并筛选出最优催化剂CuMn-3。XRD中,Cu(111)晶面衍射峰半高宽逐渐增加(图1a),表明Mn对Cu分散度的促进作用。H2-TPR结果显示,CuO还原峰温随Mn含量增加从221℃降至193℃(图3b),表明Mn促进了CuO还原的还原过程。
图1 CuMnZr三元催化剂的构筑与基础表征。
尽管单一催化步骤(DMT苯环加氢制DMCD与DMCD酯基加氢制CHDM)在各自最优催化剂(Pd/C和CuMn-3)上分别实现了98.6%和97.8%的高选择性,但在Pd-Cu混合催化DMT的一锅法反应中,仅得到75%的CHDM收率(图2a,c)。这意味着仅仅通过优化催化剂无法有效实现反应的一锅耦合。更重要的是,在这一涉及多个反应位点与催化活性中心的体系中,低选择性的问题核心更是需要对副反应路径的解析及配套的工艺设计。
图2b表明,在未除去苯环的体系(DMT)中,此时反应以加氢脱氧为主导。这意味着苯环对酯基的电子相互作用极大地改变了酯基加氢反应路径,并导致大量甲基产物生成。基于以上动力学研究和中间体追踪,图2d构建了这一系列反应的网络,揭示了分别以DMCD和MB为关键中间体的两条竞争路径。其中DMCD主导的路径主要生成目标产物CHDM,而MB主导的路径则倾向于产生MCHM和DMCH等副产物。
为了解决酯基与苯环加氢的动力学竞争导致的CHDM低收率问题,本文利用Pd与Cu催化剂在各自反应的温度响应性差异,设计了一锅双温度法以实现严格的“苯环-酯基”先后加氢反应顺序。在200℃-5h和230℃-6h的梯度升温设计下,这一方案最终实现了一锅中92.6%的CHDM收率,减少了一锅反应中70%副产物生成。
图2 DMT与DMCD加氢反应动力学分析及反应中间体网络构建。
在高效的CuMn-x催化剂构筑中,通过引入Mn诱导氧空位生成,及Mn与Cu物种之间的电子相互作用,二者因素共同提高了催化剂对酯基的催化活性。如图3a所示,EPR证实了氧空位浓度随Mn含量增加表现出火山型变化趋势。这些空位为催化剂提供了新的酯基强吸附位点,赋予催化剂更大的酯基吸附量和吸附强度,这一结论也得到醋酸甲酯-TPD和DMCD原位红外的支持(图3c,d)。
此外,本研究发现CuMn-x催化剂中Cu+与Cu0物种存在显著的协同催化效应:通过表面位点归一化分析和价态-活性关联研究(图3e-f),证实酯基加氢活性并非由单一Cu0位点决定,而是呈现典型的火山型曲线关系。在该体系中,当Cu+/Cu0约为1时达到最佳活性。具体地,两个价态的Cu之间的协同作用实现了H2解离与酯基活化的动力学调控与匹配,从而提升单位面积Cu 的反应效率。该发现为设计高效加氢催化剂提供了重要的理论依据,即需要精确调控活性中心的价态分布以实现不同反应步骤的动力学平衡。
图3 CuMn-x催化剂中Mn通过氧空位辅助酯基加氢的机制分析。
本研究解析了Pd-Cu混合催化剂一锅体系中的反应网络,设计双温度催化加氢工艺,成功实现废弃PET衍生物DMT的高效转化。在高效Cu基催化剂的构筑方面, Mn为催化剂引入了一种氧空位辅助的酯基加氢机制,调控了酯基的吸附与活化能力。该工作不仅为PET的升级回收提供路径指南,也为多维度构建高效Cu催化剂提供了重要参考。
Wencong Liu, Zhouyuan Wang, Heng Ban, Chenyang Tang, Liwei Zhang, Bing Lu, Kaichao Zhang, Shanjun Mao, Yong Wang, Appl. Catal. B Environ., 2025, 125466. DOI: 10.1016/j.apcatb.2025.125466.
https://doi.org/10.1016/j.apcatb.2025.125466
王勇,浙江大学求是特聘教授,催化研究所所长,国家杰出青年基金获得者,国家重点研发计划项目首席科学家。中国催化青年奖、侯德榜化工科技创新奖及青山科技奖获得者。研究工作聚焦多相催化与能源转换材料的基础科学探索与应用,在深耕催化基础理论研究的同时,持续推动绿色能源技术的创新突破与产业化实践。带领团队围绕高端精细化学品制造布局创新链,将先进催化技术、过程强化技术和化工产业深度融合,开发了一系列具有自主知识产权和核心竞争力的新型催化技术和绿色生产系统解决方案,实现了多个高端精细化学品的工业生产。在JACS, Chem等期刊发表 SCI 论文 200 余篇,被引2.7万余次,h-index为75;授权国家发明专利50余件,美国专利5件。作为第一完成人荣获中国专利金奖、中国石油与化学工业联合会技术发明特等奖以及浙江省技术发明一等奖和自然科学一等奖等荣誉。
毛善俊,浙江大学化学系副研究员。围绕工业重要多相催化选择性加氢体系,提出辨识吸附、辨识活化和正交解耦等策略,发展了加氢反应过程辨识技术,在维生素、抗生素和香料合成过程中设计了高效选择性加氢工业催化剂,参与完成国际首例炔醇半加氢的无铅无助剂绿色生产。
课题组主页:www.chemwy.cn
声明
“邃瞳科学云”直播服务

