第一作者: 匡永琪
通讯作者: 刘丽娜
通讯单位:南开大学
论文DOI:10.1021/acscatal.5c02360
焦油CO2重整技术(CRT)为生物质气化副产物焦油和CO2的协同脱除和转化提供了有效途径。但相比传统焦油水汽重整(SRT),该过程具有更高的反应能垒,且反应物中增加的碳输入会使催化剂的积碳失活问题更为突出,因此要求催化剂具有更高的分子活化能力和抗积碳潜能。本研究创新性构筑了氧化铝纳米片自组装中空球负载的NiCo合金催化剂(CS@NiCo(CP)),催化剂的中空限域结构促进了CO2在其腔体内的相对富集;同时,催化剂表面含有丰富的氧缺陷与碱性位点,二者协同强化了CO2的吸附与活化,为甲苯裂解碳中间体的氧化提供了丰富的活性氧物种,进而有效抑制了积碳产生。
生物质气化是一种重要的碳中和技术,然而,该过程会产生大量副产物焦油与CO2,不仅会造成下游设备和管路的腐蚀堵塞、降低合成气品质,还会削弱生物质的碳减排潜力。传统策略多采用焦油水汽重整与碳捕集利用及封存(CCUS)等技术对焦油和CO2分别处理,过程复杂且效率受限。相比之下,焦油CO2重整反应可实现焦油与CO2的同步脱除并转化为合成气,展现出显著的经济性与工艺集成优势,但该路径要求催化剂具有更高的分子活化能力和抗积碳潜能。水滑石(LDH)衍生催化剂凭借其优异的热稳定性、高金属分散度及强金属-载体相互作用等,在催化重整过程中表现出显著的活性和抗金属烧结稳定性,且其固有碱性特征有利于CO2吸附活化,是CRT反应的理想选择。但目前水滑石衍生催化剂用于CRT反应仍存在两个重要挑战:(1)其片状堆叠结构使得底物分子传质受阻、活性位点难以被充分利用,严重限制其分子活化水平;(2)甲苯脱氢速率大于活性氧物种供给速率,导致催化剂金属活性位点因积碳封装失活。基于此,本研究创新设计并精准构筑了具有独特中空结构的CS@NiCo(CP)催化剂,其中空结构一方面能够有效提高活性位点的可及性,加快传质反应进行并提升CRT反应活性。同时,其空间限域效应和丰富的氧空位能够有效促进活性氧物种的生成和迁移,从而抑制焦油深度脱氢偶联导致的积碳失活问题。
(1) 中空结构设计实现反应物相对富集:通过模板牺牲共沉淀法成功制备了水滑石衍生的中空球催化剂,利用分子扩散阻力差异实现了空腔内CO2相对甲苯浓度富集。
(2) 丰富氧空位强化CO2活化:催化剂丰富的氧空位显著强化了CO2的吸附与活化,阐明了由此诱导的活性氧物种“产生-迁移-消耗-补充”动态循环机制,为高效消碳提供核心驱动力。
(3) 高金属载量下卓越的抗烧结和积碳稳定性:该催化剂在高金属负载量(77%)和 700°C的条件下,实现了长达80 h的甲苯CO2重整反应稳定运行(转化率下降<20%),展现出优异的抗烧结和积碳性能。
中空催化剂用于CRT反应性能研究
在本工作中,团队率先报道了一种适用于CRT反应的中空结构催化剂(CS@NiCo(CP)),相较于传统共沉淀法(NiCo(CP))、水热法(NiCo (HT))及模板牺牲水热法(CS/NiCo(HT))制得的催化剂,模板牺牲共沉淀法制备的CS@NiCo(CP)催化剂在80 h测试中表现出优异的催化活性和稳定性(图1),这得益于氧空位和限域效应的协同作用。
图1 (a,b) C7H8和CO2转化率; (c) 氧空位浓度与C7H8和CO2初始转化率的关系; (d,e) CO和H2选择性; (f) CO2/C7H8的实时化学计量比; (g,h) C7H8和CO2的阿伦尼乌兹图; (i) 积碳动力学研究
中空结构:打造CO2“相对富集区”
以碳球为模板合成的CS@NiCo(CP)呈现中空球体结构,壳层由 Al2O3纳米片自组装构成,中空球内部形成独特的限域空间,活性金属以NiCo合金的形式高度分散在载体上(图 2)。分子动力学模拟(图3d-h) 表明,因甲苯分子具有更大的动力学直径,其扩散系数(1.06 × e-7m2/s)低于CO2扩散系数(1.25 × e-7 m2/s),这一显著的扩散速率差异导致在空腔内部CO2/C7H8比例远高于进料化学计量比7:1,实现了CO2浓度相对于C7H8的富集,这能够加速甲苯裂解碳中间体的气化,从而抑制积碳的形成。
图2 (a) CS@NiCo(CP)催化剂的制备示意图; (b,c) CS@NiCo(CP)-LDO的TEM图像; (d) CS@NiCo(CP)-LDO的TEM图像及晶格条纹; (e)CS@NiCo(CP)的TEM图像; (f,g)CS@NiCo(CP)的TEM图像及晶格条纹; (h)CS@NiCo(CP)的EDX映射图像
图3 (a,b) NAP XPS; (c) 氧缺陷的相对含量; (d) 10 ns和(e) 20 ns的原子构型; (f) 膜左侧、(g) 膜右侧的CO2和C7H8分子数量; (h) CO2和C7H8的均方位移
氧空位:驱动活性氧物种动态循环
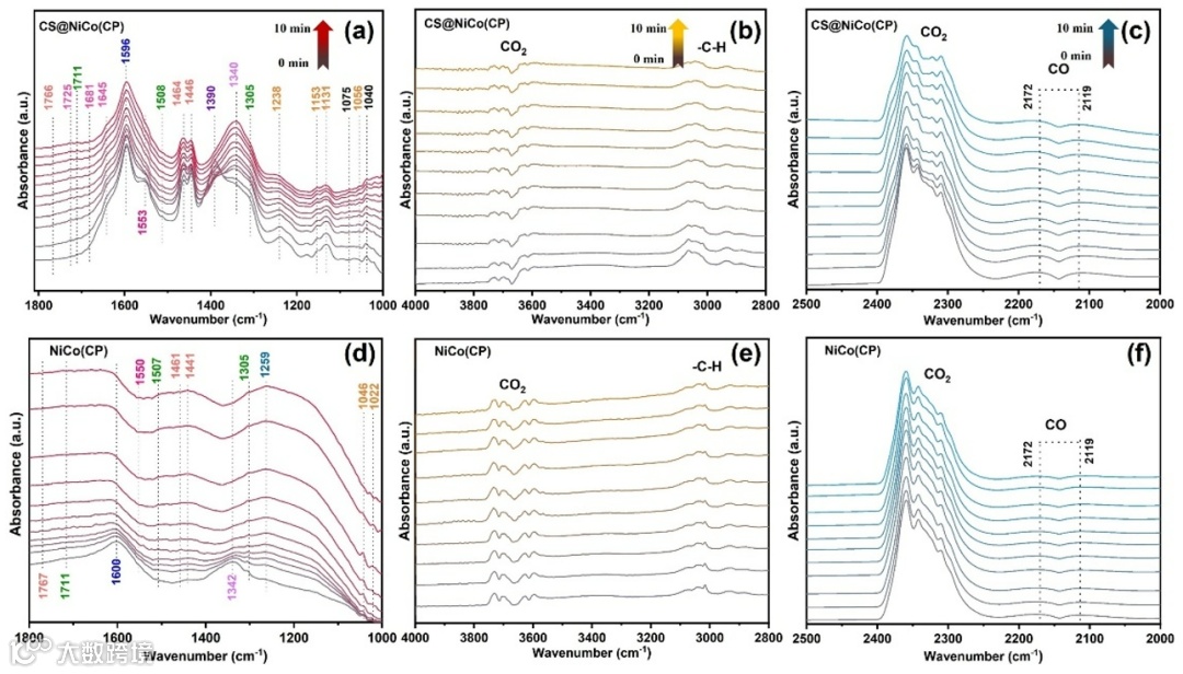
O 1s XPS谱图(图4c,e)和EPR结果(图4f)证实了CS@NiCo(CP)具有丰富的氧空位,为CO2的吸附和活化提供了活性位点。NAP-XPS进一步追踪了氧空位及其表面吸附活性氧物种的动态演变行为(图3a-c),揭示了CS@NiCo(CP)催化剂有效利用氧空位介导的活性氧动态循环机制高效活化CO2并生成表面活性氧物种,进而促进甲苯裂解产物的深度氧化、抑制积碳生成。CO2-TPSR结果(图5a,b)进一步证明,在CS@NiCo(CP)催化剂上具有丰富的表面活性氧物种,其优先于CO2与积碳反应,导致CO生成的起始温度(520°C)低于CO2的分解温度(550°C)。上述结果证明了CS@NiCo(CP)催化剂中的氧空位在促进活性氧物种的形成、储存和迁移方面具有突出贡献。
图4 (a) Ni 2p、(b) Co 2p 和 (c) O 1s XPS 谱图; (d) Ni0和Co0的相对含量; (e) O1、O2和O3物种的相对含量; (f) EPR
“限域效应”和“氧空位”协同实现高效抗积碳
CS@NiCo(CP)催化剂的限域效应促进了CO2在空腔内的相对富集,同时催化剂表面丰富的氧空位促进了CO2的吸附活化以及活性氧物种的生成、迁移和转化,二者协同强化了催化剂的抗积碳性能。CS@NiCo(CP)催化剂的积碳沉积速率为7.9 mg·g-1·h-1,显著低于其他催化剂,且以无定形碳为主。反应后XRD未检测出明显的石墨碳特征峰(图 5c);TG-DSC 显示其积碳氧化温度中心约为400°C,符合无定形碳特征(图 5e);拉曼光谱进一步证实积碳具有较高的无序度(图 5d)。
图5 (a,b) CO2-TPSR; (c) 反应后催化剂XRD图谱; (d) 反应后催化剂拉曼光谱; (e) 反应后催化剂的TGA和 DTA曲线,(f) 积碳沉积速率和碳平衡
In situ DRIFTS揭示反应路径
In situ DRIFTS揭示了CS@NiCo(CP)催化剂上的CRT反应路径(图6和7),甲苯在催化剂表面活性氧物种作用下逐步氧化为苯甲醇、苯甲醛和苯甲酸盐,随后被深度氧化开环生成马来酸酐,最终转化为CO和H2。在此过程中,催化剂丰富的氧空位能够保障充足的活性氧物种供应。而NiCo(CP)催化剂表面由于缺乏氧空位,甲苯易发生不完全氧化生成苯酚中间体,其在金属活性位点不断聚集并偶联脱氢,从而生成大量积碳导致催化剂失活。
图6 (a-c) CS@NiCo(CP)和 (d-f) NiCo(CP)催化剂的in situ DRIFTS结果
图7 CS@NiCo(CP)和NiCo(CP)催化剂的反应路径
本研究利用模板牺牲共沉淀法成功制备了CS@NiCo(CP)中空催化剂,该催化剂在 CRT反应中表现出优异的活性和稳定性,实现了焦油模拟物甲苯和CO2向H2和CO的高效定向转化。原因在于催化剂中空限域效应和氧空位的协同作用,中空结构可以促进空腔内CO2相对于甲苯的富集,加速CO2向催化剂活性位点的传质;同时,催化剂表面丰富的氧空位能够促进CO2的吸附活化,有利于活性氧物种的生成以及甲苯裂解碳中间体的氧化。该研究为生物质气化碳污短流程协同控制技术发展提供了新的策略和可行路径,且为空间限域催化领域研究提供了理论支持。
Synergy of Oxygen Vacancies and Confinement Effect in CO2 Reforming of Toluene over Hydrotalcite-Derived Hollow-Sphere NiCo@Al2O3 Catalysts. ACS Catalysis 2025, 15 (11), 9870-9885.
https://doi.org/10.1021/acscatal.5c02360
通讯作者:刘丽娜,南开大学教授,长期从事生物质、废塑料、含油污泥等多源有机固废资源化及其碳污协同控制技术研究。主持国家自然科学基金委区域创新发展联合基金重点项目、面上项目、青年基金、中德科学中心项目、重点研发计划子课题等国家级项目6项,天津市青年科技人才项目1项;以第一/通讯作者在ACS Catalysis, Advanced Energy Materials, JACS Au, Applied Catalysis B: Environmental等期刊发表论文34篇;授权国家发明专利6项;获得中国产学研合作创新成果奖一等奖(3/10)、环境保护科学技术奖二等奖(4/9)等奖励;担任Carbon Capture Science & Technology、Resources, Environment and Sustainability、Journal of Zhejiang University-SCIENCE A、《环境卫生工程》等期刊青年编委,天津市可再生能源学会生物质能专委会委员、天津市青年科技工作者协会创新创业专委会委员。
第一作者:匡永琪,现为南开大学环境科学与工程学院博士二年级研究生,主要研究方向为生物质焦油CO2重整制备合成气,以第一作者在 ACS Catalysis、Renewable & Sustainable Energy Reviews、Journal of Materials Chemistry A等发表SCI论文4篇。
声明

