
第一作者:秦英楠博士、王作超博士
通讯作者:赖建平教授、王磊教授、郭少军教授
通讯单位: 青岛科技大学
DOI: 10.1021/acs.nanolett.1c01581

全文速览
近日,青岛科技大学王磊/赖建平课题组联合北京大学郭少军课题组在国际知名学术期刊Nano Letters (IF = 11.189)发表了关于高价态贵金属掺杂材料在碱性全水解反应中的新进展,题为“High Valence M‑Incorporated PdCu Nanoparticles (M = Ir, Rh, Ru) for Water Electrolysis in Alkaline Solution”。

背景介绍
电解水是生成高纯度氢气最清洁高效的途径,但是由于氧气析出反应(OER)涉及到多步电子转移过程,其缓慢的动力学严重阻碍了电解水制氢的发展。其中,高价过渡金属材料被普遍认为是优良的OER催化剂,而高价态贵金属催化剂鲜有研究。在此,青岛科技大学王磊/赖建平课题组和北京大学郭少军课题组在Fe3+的辅助下合成了不同价态的贵金属M (M = Ir, Ru, Rh) 掺杂PdCu纳米颗粒,并表现出优异的水电解性能。在0.1 M KOH条件下,Ir16-PdCu/C的OER和HER质量活性分别是PdCu/C的50.5和16.5倍,在1.63 V下的整体水裂解电流密度为10 mA cm-2。DFT计算表明,高价Ir的掺入可以优化中间产物的结合能,促进O2和H2的析出。非原位XPS结果表明,OER中形成的大量氧化Ir (V)能促进O-O键的形成。在OER过程中,高价金属可以增强M-O键的共价性,加速电子转移。同时,高价金属的d带中心向下移动,穿透氧配体的p-band,促进O-O键的形成,降低反应能垒。

图文解析
图1是对合成的Ir16-PdCu/C进行一系列的物理表征分析,表明Ir16-PdCu为尺寸均一的小颗粒;HRTEM、SAED和XRD共同证明其为fcc结构;EDS表明Ir、Cu和Pd的原子比例约为15:44:41;与商业Ir/C相比,XPS峰发生明显负移,表明Ir与O之间的作用;当合成过程中不使用Fe3+时,Ir氧化态比例明显降低。
图1. (a - f) Ir16−PdCu纳米颗粒的形貌和表征。(a)TEM; (b) HRTEM;(c) SAED;(d) XRD; (e) EDS; (f) XPS; (g)不添加Fe3+合成PdCuIr的XPS谱图。
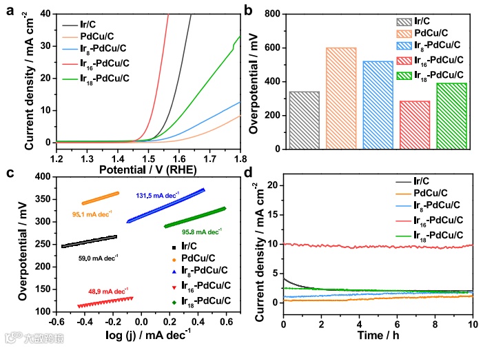
图2是对催化剂进行碱性OER测试的数据。经实验及数据处理发现,Ir16-PdCu/C具有最优异的OER活性和稳定性,10 mA cm-2过电位为284 mV,Tafel斜率为48.9 mV dec−1。
图2. Ir-PdCu和PdCu NPs在0.1 M KOH中的OER性能。(a) 95% iR补偿的极化曲线; (b)电流密度为10 mA cm-2时的过电位; (c) Tafel斜率; (d)在1.55 V vs. RHE下10小时计时安培测试。
图3是对催化剂进行碱性HER测试的数据。经实验及数据处理发现,Ir16-PdCu/C具有最优异的OER活性和稳定性,10 mA cm-2过电位为99 mV,Tafel斜率为90.3 mV dec−1。
图3. Ir-PdCu和PdCu NPs在0.1 M KOH中的HER性能。(a) 95% iR补偿的极化曲线; (b)电流密度为10 mA cm-2时的过电位; (c) Tafel斜率; (d)在-0.1 V vs. RHE下10小时计时安培测试。
图4是对Ir16-PdCu/C和PdCu/C OER和HER反应路径的计算,Ir16-PdCu/C体系具有更小的反应能垒,因此展现了更优异的活性。
图4. Ir16−PdCu/C和PdCu/C在碱性溶液中的反应途径(a) OER; (b)HER。
图5是对Ir16-PdCu/C作为HER、OER双功能催化剂用于碱性全水解的测试。由LSV、it、CP等测试数据可以看出Ir16-PdCu/C具有更优异的全水解活性和稳定性,在1.63 V应用电压下可以达到10 mA cm-2的电流密度;非原位XPS测试表明,经过长时间稳定性测试后,OER过程中会原位产生大量的Ir(V)物种,这是Ir16-PdCu/C展现出优异OER性能的关键。
图5. Ir16-PdCu NPs在0.1 M KOH中的全水解性能。(a) Ir16-PdCu/C/CFP对HER和OER在0.1 M KOH溶液中95% ir补偿的极化曲线; (b)扫描速率为5 mV s-1时,0.1 M KOH中全水解的极化曲线; (c) 施加电压为1.65 V时的计时安培测试; (d) 在电流密度为10 mA cm-2下持续10小时的计时电位测试; (e) Ir16-PdCu/C/CFP全水解耐久性试验前后的XPS对比图。

总结与展望
通过Fe3+的使用,采用简单的手段调节了贵金属Ir、Rh和Ru的价态,合成高价态贵金属掺杂的纳米颗粒。本研究为合成高价贵金属催化剂提供了新的途径,证明了高价金属的性能改善效果。
青岛科技大学王磊教授和赖建平教授,北京大学郭少军教授为论文的共同通讯作者,博士秦英楠、王作超为第一作者。该工作得到了国家自然科学基金面上项目,泰山学者优势特色学科人才团队和青岛科技大学生态化工重点实验室开放课题等支持。

论文信息
Yingnan, Qin, Zuochao Wang, Wenhao Yu, et al. High Valence M-Incorporated PdCu Nanoparticles (M = Ir, Rh, Ru) for Water Electrolysis in Alkaline Solution. https://doi/10.1021/acs.nanolett.1c01581

通讯作者介绍
赖建平 教授,2019年以高层次引进到青岛科技大学化学与分子工程学院,教授,博导,泰山学者青年专家,山东省优秀青年基金获得者。近五年发表SCI论文60余篇,其中以通讯作者和第一作者身份在 Nat. Commun.(2)、Chem、 Joule、 ACS Cent. Sci.、Energy Environ. Sci.(2)、 Adv. Mater.、 Adv. Energy Mater.(2)、Adv. Funct. Mater.(2)、Nano Today、 Nano Lett.、Cell Reports Phys. Sci.、 Electrochem. Energy Rev.、Appl. Catal. B: Environ.(3)、 Small(2)、 J. Mater. Chem. A(7)等国际著名期刊上发表SCI论文二十余篇。授权国内发明专利两项。主持科研项目包括山东省泰山学者人才工程计划项目、山东省优秀青年基金、国家青年基金等项目。
王磊 教授,山东省杰青,泰山学者青年专家,青岛科技大学崂山学者,博士生导师。2006年博士毕业于吉林大学无机合成与制备化学国家重点实验室,同年来青岛科技大学工作至今。长期从事绿色能源相关领域研究,包括能源储存与转换材料、光电催化、超分子化学、金属-有机配位聚合物、有机-无机杂化材料等,先后合成出来首例微孔亚磷酸铍和首例具有三棱镜结构的高稳定金属有机钠盐。已在Nat. Commun., Angew. Chem. Int. Ed., Adv. Mater., Adv. Enery Mater., Adv. Funct. Mater., Energy Storage Mater., Nano Energy, ACS Cent. Sci,Appl. Catal. B: Environ., J. Mater. Chem. A., Science.China.Chem.、中国科学、科学通报等国内外重要学术期刊上发表SCI论文二百余篇, 其中通讯作者影响因子大于10.0的论文三十余篇。主持国家级和省部级项目十余项,首位获得中国石油和化学工业联合会科技进步奖、山东省高等学校科学技术奖共六项。

“邃瞳科学云”直播服务
扫描二维码下载
邃瞳科学云APP

