背景介绍
单原子催化剂由于其极高的原子利用率和优越的催化性能引起研究者极大的关注。但是,究竟单原子还是其纳米颗粒(NP)催化剂在本征活性方面具有优势目前仍具有较大争论。Ag/Al2O3是许多催化反应中广泛使用的催化剂,但由于合成从单原子到不同尺寸的Ag团簇/颗粒的系列催化剂具有较大难度,关于Ag粒径效应对活性影响的研究还主要停留在理论研究阶段。
我们前期成功制备出了单原子分散的Ag/Al2O3催化剂,并深入揭示了Ag在Al2O3表面的锚定机制(Nat. Commun., 2020, 11: 529. https://www.nature.com/articles/s41467-019-13937-1)。在此基础上,本研究采用锚定-还原策略对单原子锚定的Ag/Al2O3催化剂在不同的温度条件下进行H2还原,从而制备出系列具有不同Ag粒径的Ag0/Al2O3催化剂,进而研究了Ag的粒径效应对CO氧化活性的影响。
成果简介
贺泓院士课题组通过对比单原子与不同尺寸粒径的Ag0/Al2O3催化剂的CO氧化活性,发现Ag0纳米颗粒比单原子Ag具有更高的CO氧化活性和稳定性。实验数据和DFT理论计算结果揭示Ag基催化剂对CO的催化氧化过程存在显著的尺寸效应,CO氧化活性随Ag粒径增加呈现“火山型”曲线。这是由于较大尺寸的Ag0纳米颗粒更有利于O2的解离,从而具有较高的本征活性,但在固定负载量下,Ag的过度团聚会导致表观活性降低。同时还发现,较大的Ag粒径可维持较强的Ag-Ag键能,从而使催化剂具有较高的稳定性。
图文导读

Figure 1 UV-vis and XAFS characterization of 1% Ag/Al2O3 fresh and reduced samples. (a) UV-vis spectra. ((b), (c)) Ag-K edge XANES and EXAFS spectra of standard samples, 1% Ag/Al2O3 fresh and reduced samples (Fourier transform k range 2.9-14.3 Å−1). (d) The fitting results of EXAFS spectra.

Figure 2 XRD, BET and HAADF-STEM images of 1% Ag/Al2O3 fresh and reduced samples. (a) XRD spectra. (b) BET and (c-f) HAADF-STEM images of 1% Ag/Al2O3 fresh, H2 reduced at 400 °C, 600 °C and 800 °C samples, respectively.
由图1、2可知,本文基于单原子分散的1%Ag/Al2O3样品,经H2不同温度还原处理后Al2O3表面不同粒径尺寸的Ag物种呈现金属态而Al2O3载体物理化学性质变化不大,从而成功地制备了粒径范围从单原子到数十纳米的系列Ag基催化剂。

Figure 3 CO oxidation activity and dispersion of 1% Ag/Al2O3 fresh and reduced samples. (a) CO oxidation activity (b) TOF plots of the intrinsic reaction rate and (c) dispersion of 1% Ag/Al2O3 fresh and reduced samples.

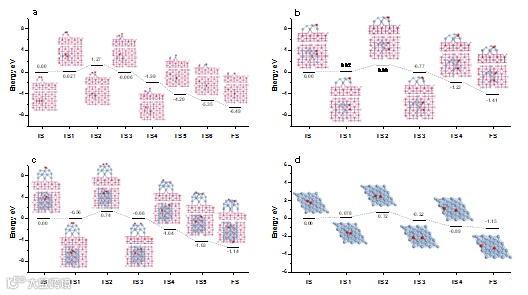
Figure 4 Density-functional-theory calculations of O2 dissociation energy on different size of Ag clusters. O2 dissociation energy and the corresponding transition states of on (a) Ag3 cluster (b) Ag13 cluster (c) Ag36 cluster (d) Ag(111) surface.
Ag基催化剂对CO的催化氧化过程存在显著的尺寸效应,CO氧化活性随Ag粒径增加呈现“火山型”曲线。大尺寸的Ag0颗粒上O2的解离能垒更低,从而具有较高的CO氧化本征活性;而固定负载量下Ag的过度团聚会使表面暴露的活性位点数量大大减少,因此表观活性显著下降。粒径的增大可导致Ag团簇与载体之间相互作用的减弱,因此较大的Ag粒径可维持较强的Ag-Ag键能,从而在反应过程中Ag颗粒不易被氧化而保持较高的稳定性。

Figure 5 Stability of 1%Ag/Al2O3-400 and 1%Ag/Al2O3-600 catalysts. (a) Durability study of 1%Ag/Al2O3-400 and 1%Ag/Al2O3-600 samples at 250 °C. (b) Color and (c) valence states from XANES, changes of 1%Ag/Al2O3-400 and 1%Ag/Al2O3-600 catalysts after CO oxidation reaction. (d) Average bond length of Ag-Ag bond in Ag3, Ag13 and Ag36 clusters on Al2O3 support.
课题组简介
贺泓,中国工程院院士,中国科学院生态环境研究中心副主任,研究员,博士生导师,国家杰出青年科学基金获得者。主要研究方向为环境催化和非均相大气化学过程,系统研究大气复合污染形成机理、催化剂与催化反应体系设计和大气污染物催化净化新原理、新方法及其应用,取得了柴油车排放污染控制、室内空气净化和大气灰霾成因研究方面的系列成果。
发表《环境催化—原理及应用》专著一部,学术论文400余篇(SCI论文360余篇),总被引13700余次。爱思唯尔发布的2015、2016、2017、2018年化学工程领域中国高被引学者。回国后申请国家发明专利60余项,已经授权45项,有多项专利技术转让给企业实施应用。
详见课题组主页:http://hehong.rcees.ac.cn/)。
文章信息
Fei Wang, Zhao Li, Honghong Wang, Min Chen, Changbin Zhang*, Ping Ning & Hong He*. Nano-sized Ag rather than single-atom Ag determines CO oxidation activity and stability. Nano Research https://doi.org/10.1007/s12274-021-3501-1.

识别二维码或点击左下角“阅读原文”可访问全文
关注微信号、视频号、官网,获取更多精彩!
微信号
视频号
官网

“邃瞳科学云”直播服务
扫描二维码下载
邃瞳科学云APP

