
第一作者: Yukun Zhao
通讯作者: 章宇超,陈春城,赵进才
通讯单位: 中科院化学所,中国科学院大学
论文DOI: https://doi.org/10.1038/s41929-021-00659-1

全文速览
赤铁矿 (α-Fe2O3) 作为光电化学水氧化中的光阳极,已被学术界广泛研究,但其产物 O2 的经济价值较低。在这里,作者将其应用扩展到高附加值化学品的生产,并报告了其在可见光照射下作为多功能且高效的氧原子转移催化剂的能力。以水为唯一氧源,多种有机化合物和无机阴离子被成功氧化为相应的单氧化产物,且具有高选择性和高法拉第效率。光激发空穴在 α-Fe2O3 表面产生铁-氧物种 (FeIV=O)。接着,所提出的氧原子转移过程通过协调的双空穴转移途径进行,该途径涉及氧原子从 FeIV=O 表面转移到底物。该研究证明 α-Fe2O3 是一种优异的全无机多相催化剂,可以驱动氧原子转移反应,该策略在合成精细和高附加值化学品方面具有巨大潜力。

背景介绍
光电化学 (PEC) 技术已被广泛研究用于太阳能转换(例如,水分解)以及通过污染物降解进行环境修复。此外,学术界还报道了通过 PEC 系统内有机化合物的光催化转化生产精细化学品,并显示出有一定希望的结果。例如,最近报道了一种以 BiVO4 为光阳极的 PEC 系统,以叔丁基过氧化氢为氧来源,实现了苯甲醇、环己烯和四氢萘的 C-H 键的活化,分别产生苯甲醛、环己酮和四氢萘酮。环己烷氧化产生环己醇和环己酮也是在 WO3 光阳极上实现的。然而,与用于有机转化的传统的电化学和光化学方法相比,合成 PEC 方法目前仍然不能令人满意。如何直接获取光生载流子(电子或空穴)以促进电化学界面的有机转化仍有待探索。
赤铁矿 (α-Fe2O3) 因其丰度、无毒、稳定性和可见光吸收等特性而被认为是 PEC 研究中最有前景的光阳极材料之一。以往对 α-Fe2O3 基PEC 反应的研究主要集中在水分解过程中光驱动的水氧化析氢。在水氧化过程中,产物O2的经济价值较低。因此,有必要探索在 PEC 系统中产生高附加值化学品的替代氧化反应。根据最近的报道,在α-Fe2O3 光阳极上,富电子芳烃通过光诱导空穴氧化而形成的自由基阳离子,导致具有不寻常邻位选择性的有效芳烃 C-H 胺化。此外,学术界也已经证明,在 α-Fe2O3 光阳极上的水氧化过程中,捕获在表面态的空穴,而不是价带中的空穴,并与吸附的水反应去驱动水氧化。通过原位衰减全反射傅立叶变换红外光谱以及软 X 射线 (O 1s) 光谱技术,这些被捕获的空穴已被证明为高价铁-氧中间体 (FeIV=O)。α-Fe2O3 表面捕获空穴的高价铁-氧特征与这种在在生物系统中普遍存在的、在催化氧化过程中被广泛研究的高价金属-氧物种有关。例如,已广泛应用于生产重要医药中间体(例如亚砜和环氧化物)的氧原子转移 (OAT) 反应通常由高价金属-氧物种引发。 OAT 涉及高价金属-氧中心的氧原子与底物的孤对电子之间的直接反应(其中不涉及自由基)。因此,OAT 反应通常具有高的化学或立体选择性。在基于金属配合物的 OAT 系统中,有机配体总是用于调节金属中心的微环境。这些有机配体在强氧化性 OAT 条件下容易受到损坏,这使得这些金属配合物相当不稳定。此外,高价金属-氧物种的形成通常是在极强氧化性过氧物种的帮助下实现的。因此,很难避免产生副产品。同时,在这些均相系统中,产品分离也是一个问题。实际上,使用金属氧化物电极的 PEC 方法可以有希望克服这些缺点。

图文解析

图 1. MPS氧化的线性扫描伏安法和光电解实验。a,在 AM 1.5G 光照(实线)和黑暗(虚线)条件下, 0.1 M TBABF4(四氟硼酸四丁基铵)溶液(CH3CN 含 5% H2O,20 ml)中,且不含有(黑色)和含有(红色)10.0 mM MPS 的 Ar 气氛中测量的 α-Fe2O3 光阳极的 J-V 扫描曲线。 垂直虚线表示进行光电解实验时的电位(0.37 V vs Fc/Fc+)。 b,MPS的PEC氧化(0.5 mM)期间,MPS的衰减(黑线),MPSO的析出(红线)和总硫平衡(剩余的MPS和生成的MPSO(蓝线)的总和)。误差线是标准差,为三个平行重复的结果。
表1. α-Fe2O3和TiO2a上各种底物PEC氧化反应的转化率、选择性和FE。
a相应的底物浓度、单氧化产物的浓度和光电解过程中的总电荷均列在表S1中。
b PEC 反应的转化率。除非另有说明,否则典型的反应条件为:在 CH3CN 系统中,使用 0.1 M TBABF4 作为电解质,底物的初始浓度为 0.5 mM,而在水性体系中,电解质为 0.1 M Na2SO4,底物的初始浓度为 0.2 mM . PEC 反应在 AM 1.5G 照明下,在 CH3CN 系统(20 ml)中以 0.37 V vs Fc/Fc+ 和在水体系(100 ml)中 1.42 V vs. RHE下进行 2 小时。
c 单氧化产物的选择性。
d 根据单氧化产物的电荷消耗和通过电路的总电荷估算的FE。
e 在 10.0 mM (10 ml) 的 MPS 浓度和 0.57 V vs Fc/Fc+ 的施加电位下,电解 5 小时。
f PEC 在 -0.13 V vs Fc/Fc+时的氧化。
g 光电解 1.5 h 后。
h 光电解1 h后。
i 环辛烯的初始浓度为0.2 mM,光电解在0.57 V vs Fc/Fc+进行1 h。
j 为了避免反式二苯乙烯的直接激发,使用了 420 nm 长通滤波器。
图 2. pKa 值和结构图。pH 7.0 下,亚硝酸盐、亚砷酸盐和亚磷酸盐的结构图。 亚硝酸盐和亚砷酸盐具有不成对的电子,能够接受来自 O 原子供体上的氧原子,而亚磷酸盐则不能。。
图 3. MPSO的质谱。a,b,在 H218O (a) 和 H216O (b) 存在下,MPS 在 α-Fe2O3 上氧化时产生的 MPSO 的质谱图。
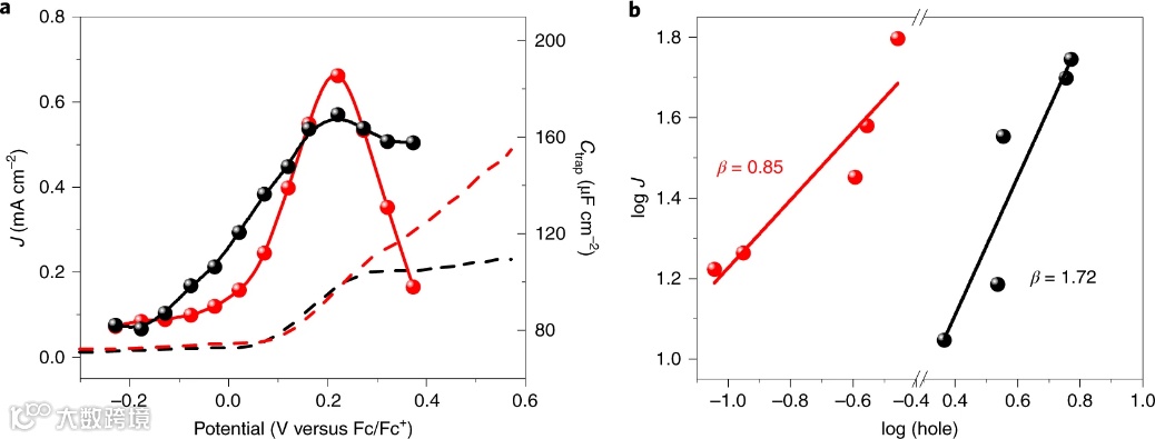
图 4. 基于 EIS 数据的表面空穴捕获状态。a,在 AM 1.5G 照明下,使用 MPS(红色)和不使用 MPS(黑色),在 α-Fe2O3 上获得的 J-V 曲线(虚线)和 Ctrap 值(实线和点)。 b,α-Fe2O3(黑色)和TiO2(红色)光阳极在10.0 mM MPS溶液中的光电流密度(μA cm-2)和表面空穴密度(空穴数 nm-2)之间的关系。
图 5. 在 α-Fe2O3 上以H2O 作为氧原子源的PEC OAT反应。该方案表明,通过光激发空穴,在 α-Fe2O3 表面上产生铁-氧物种(FeIV=O)(步骤(1))。步骤 (3) 描述了氧原子从 FeIV=O 表面通过协同双空穴转移路径转移到底物上。最后,水分子通过吸附和解离来补充催化循环中消耗的氧原子(步骤(4))。

总结与展望
基于上述结果,作者开发了一种 PEC 策略,可在温和条件下在 α-Fe2O3 进行 OAT 反应。其中,多种底物,包括硫醚、烯烃、Ph3P 和无机盐,都可以通过使用水作为唯一的氧原子源进行氧化。对于大多数底物来说,优异的氧化选择性和 FE 均可超过 90.0%。基于 EIS 和 DFT 研究,表面捕获空穴被证实在 OAT 机制中发挥关键作用。作者相信,这种 PEC 策略对于精细/增值化学品的各种氧化反应应用具有巨大的潜力。

文献来源
Zhao, Y., Deng, C., Tang, D. et al. α-Fe2O3 as a versatile and efficient oxygen atom transfer catalyst in combination with H2O as the oxygen source. Nat Catal (2021). https://doi.org/10.1038/s41929-021-00659-1

“邃瞳科学云”直播服务
“邃瞳科学云"平台正在收集、整理各类学术会议信息,欢迎学会、期刊、会议组织方择优在邃瞳平台上进行线上直播,希望藉此帮助广大科研人员跨越时空的限制,实现自由、畅通地交流互动。欢迎老师同学们提供会议信息(会有礼品赠送),学会、期刊、会议组织方商谈合作,均请联系翟女士:18612651915(微信同)。
扫描二维码下载
邃瞳科学云APP

