第一作者:张千一
通讯作者:孔令帅、金鑫、占金华
通讯单位:山东大学
论文DOI:10.1021/acs.est.5c01601
近日,山东大学占金华教授、孔令帅副研究员和南京师范大学金鑫研究员在Environmental Science & Technology上发表了题为“Insight into the Hydrogen Bond-assisted Base-catalytic Hydrolysis of Chloramphenicol on ZnO under Limited Moisture Condition”的研究论文(DOI: 10.1021/acs.est.5c01601),探究了纳米氧化锌在有限湿度条件下快速催化水解氯霉素的机理,通过原位漫反射红外光谱(in-situ DRIFTS)和密度泛函理论(DFT)计算深入解析了氯霉素(CAP)在纳米ZnO表面的催化水解并提出了新的非水饱和相催化水解机理:氢键辅助碱催化水解,氧化锌表面晶格氧可以捕获水解离而来的质子并释放游离OH-实现碱催化水解CAP,同时≡Zn-OH可以通过与CAP的羰基形成氢键大大降低了碱催化水解活化能。本研究为进一步了解纳米氧化锌在农田土壤中的环境效应奠定了基础,并强调了天然土壤中可能普遍存在的碱催化水解机理。
纳米氧化锌广泛应用于农业并在土壤中积累,其造成的环境效应不容忽视。在有限湿度条件下金属氧化物介导的污染物水解由于其与天然土壤环境相似而受到关注。本研究发现纳米氧化锌暴露于大气湿度条件下会具有强的表面碱性(pH > 9.0),在最优的湿度条件下(∼2.9wt%),可以实现对氯霉素的强催化水解,其催化水解速率比以往报道的靠酸催化的矿物快7-347倍。此外,纳米氧化锌对其他各种污染物也具有优越的催化水解活性。研究通过化学计算和实验测定揭示了在有限湿度条件下纳米氧化锌催化水解机理,即氢键辅助碱催化水解。该研究中新发现的机理加深了我们对于在非水饱和相的土壤环境中金属氧化物介导的水解过程的理解。
纳米氧化锌因大量使用农业锌肥和饲料添加剂而进入土壤中,从而可能引发不容忽视的环境效应。目前大多数研究集中于其光催化活性,而对于其催化水解活性却鲜少报道。氧化锌作为两性氧化物,其表面Zn2+ 可以作为Lewis酸位点与OH−结合,周围的O2-可以作为碱位点接受 H+。而且,锌酶是典型的水解酶,因此合理推测ZnO可能具有优越的催化水解活性。本工作选取了氯霉素作为模型化合物,探究了纳米氧化锌在有限湿度条件下的催化水解活性。
纳米氧化锌的催化水解活性
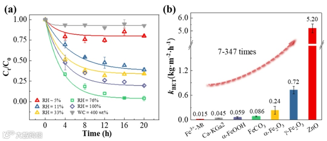
Fig. 1. (a) Hydrolysis rates of CAP on ZnO nanoparticles under vary moisture conditions, fitted by first-order rate kinetics. RH means exposure of ZnO under the different relative humidity conditions. WC = 400 wt.% means adding 200 μL water into 50 mg ZnO. (b) The hydrolysis rates (kBET) of CAP on different minerals under the same moisture condition of RH 76%.
纳米氧化锌在有限表面湿度条件下(RH = 11~100%)显著地促进了CAP的水解。与先前报道的酸催化矿物表面湿度效应规律一致,然而其催化水解速率要比酸催化矿物快7-347倍,这表明纳米氧化锌可能存在其他的催化水解机理。
Lewis碱催化的作用
Fig. 2. In-situ DRIFTS measurement of 2-chloro-N, N-dimethylacetamide (Cl-DMA) adsorbing onto (a) the nano-ZnO and (b) the nano-α-Fe2O3 under RH 76%. (c) In-situ IR spectra of the ZnO-CAP wafer under RH 76%. The spectroscopic signals were recorded as a function of time.
原位漫反射红外光谱(In-situ DRIFTS)实验证明,纳米氧化锌中等的Lewis酸度无法解释其优越的催化水解活性((t1/2 < 9.7 hours on ZnO vs. t1/2 > 4 days on nano-α-Fe2O3 under RH range of 33% ~ 100%)。因此,Lewis酸催化机制被排除。此外,原位红外光谱表明氯霉素与纳米氧化锌之间存在氢键作用,但仅靠氢键作用不足以诱导如此快的催化水解活性。
Fig. 3. (a) The surface basicity of the nano-ZnO under different moisture levels using phenolphthalein as the indicator. (b) The referent colors of phenolphthalein in water of different pHs.
碱催化水解通常比酸催化水解速率快,于是Lewis碱的催化机理就被我们考虑在内。我们使用酚酞原位表征了有限表面湿度条件下纳米氧化锌表面的碱性,发现纳米氧化锌在有限的表面湿度条件下,其表面 pH 值大于 9.0 (图 3a)。因此,纳米氧化锌优越的催化水解活性可归因于其表面的Lewis碱的作用。
Fig. 4. (a) The structure of bicarbonate and carbonate species formed on metal oxides. (b, c) In-situ DRIFTS of CO2(g) adsorbing onto the nano-ZnO (b) and the nano-α-Fe2O3 (c) as a function of time (0-60 min). (d, e) CO2-TPD profiles of the nano-ZnO (d) and the nano-α-Fe2O3 (e) after adsorbing CO2(g).
CO2作为探针,利用原位漫反射红外光谱(In-situ DRIFTS)实验和CO2程序升温解吸(CO2-TPD)实验表明,纳米氧化锌表面存在Lewis碱位点,主要归因于纳米氧化锌表面晶格氧。
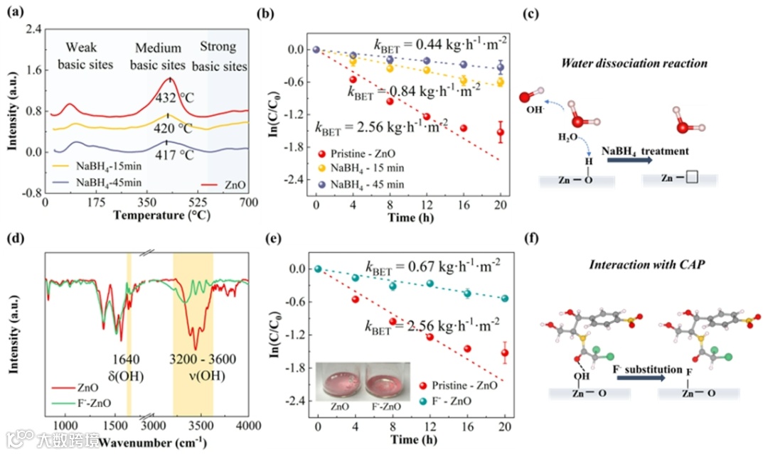
Fig. 5.(a) CO2-TPD profiles of the pristine nano-ZnO, and the NaBH4 treated nano-ZnO, (b) as well as their catalytic hydrolysis kinetics to CAP under RH 76%. (c) The surface OL induced water dissociation and release of OH−. (d) FTIR spectra of the pristine nano-ZnO and the F- modified nano-ZnO, (e) as well as their catalytic hydrolysis kinetics to CAP under RH 76%. The surface basicity was indicated by phenolphthalein. (f) F− substitution diminished H-bonding between CAP and ZnO.
我们利用硼氢化钠处理纳米氧化锌构筑氧空位,发现硼氢化钠处理后的纳米氧化锌催化水解速率降低了67%-83%,证明了纳米氧化锌表面晶格氧离子在催化水解中的重要作用,即它可以诱导水解离从而释放游离OH-实现碱催化水解。
H键的作用
Fig. 6. (a) The hydrolysis kinetics of CAP on MgO, CaO, ZnO and ZnCO3 under RH 76%, and their surface basicity as indicated by phenolphthalein. (b) Hydrolytic rate constants of CAP catalyzed by the ZnO-soil matrix at different mass ratios. (c) The influence of humic acid (HA) and fluvic acid (FA) on the catalytic hydrolysis activity under RH = 76%. ZnO-HA and ZnO-FA represents the nano-ZnO coated with 1 wt% HA and FA, respectively. (d) The hydrolysis rates of dimethyl phthalate (DMP), di-n-butyl phthalate (DnBP), thiamethoxam (TMX), p-nitrophenyl phosphate (pNPP), chlorpyrifos (CPF), and CAP on the nano-ZnO under RH 76%.
从Lewis碱催化来分析,比纳米氧化锌碱性更强的碱性氧化物MgO催化水解活性应该更强,然而,MgO的催化水解速率比ZnO低一个数量级。这表明,仅靠Lewis碱催化不足以解释ZnO如此强的催化水解活性。
Fig. 7. (a) The optimized adsorption configurations of CAP and CAP interacting with ZnO cluster via H-bonding. (b) The base catalyzed hydrolysis pathway of CAP in alkaline pH condition (pathway I), and the hydrogen bond-assisted base-catalyzed hydrolysis pathway of CAP on ZnO (pathway II). (c) Theoretical free-energy profiles of the hydrolysis pathway I and II.
利用DFT计算和F-取代表面羟基实验验证了氢键的作用,可以大大降低碱催化水解活化能。
纳米氧化锌在真实土壤中的催化性能
纳米ZnO加入到真实土壤中,发现可以极大地提升CAP水解速率(图6b)。即使在常见腐殖质存在下,纳米ZnO仍具有较快的催化水解速率(kBET= 1.05-1.48 kg·h−1·m−2)。因此,我们合理地认为纳米ZnO进入土壤环境后,在环境湿度下能够促进污染物的自然水解转化。
在本研究中,我们发现纳米氧化锌在环境相关湿度条件下对多种污染物(包括抗生素、邻苯二甲酸酯类、农药、有机磷脂类)均展现优越的催化水解活性,并揭示了一种尚未报道的新的催化水解机理,即氢键辅助碱催化水解机理。本研究为在有限的表面湿度条件下土壤污染物的自然转化提供了新的见解,并强调了释放到农田土壤中的工程纳米氧化锌具有不可忽视的催化水解活性。
张千一:博士研究生,现就读于山东大学化学与化工学院分析化学专业。主要研究方向为土壤矿物界面转化新污染物。
孔令帅:山东大学环境科学与工程学院(生态环境损害鉴定研究院),副研究员,主要研究方向为土壤矿物界面转化新污染物。通过研究新污染物在土壤矿物界面的吸附、水解、氧化等环境行为,揭示新污染物在环境中的迁移转化,为环境生态体系中新污染物的溯源与治理提供支持。以第一/通讯作者在Environmental Science & Technology、Advanced Functional Materials和Applied Catalysis B: Environmental and Energy等期刊发表学术论文14篇,授权发明专利5项,参编专著或教材3项。主持国家和山东省自然科学基金等科研项目5项。
课题组网站https://faculty.sdu.edu.cn/LingshuaiKong/zh_CN/index.htm。
金鑫:南京师范大学环境学院,研究员,近年来,主要围绕新污染物的环境过程开展研究,基于污染物界面反应机制,开发高效实用的污染阻控策略和修复技术。以第一/通讯作者在Nature Communications, Angewandte Chemie,Environmental Science & Technology和Water Research等环境类期刊发表学术论文20篇,授权发明专利4项,包括1项美国专利。主持国家和江苏省自然科学基金等科研项目4项。邮箱:xjin@njnu.edu.cn。
占金华:二级教授、博士生导师,现任职于山东大学化学与化工学院。山东大学资产与实验室管理部部长,中国人民政治协商会议山东省第十三届委员会委员。主要从事纳米材料对新污染物的消除与快速检测研究,先后承担了科技部重大研究计划课题、国家自然科学基金等国家与省部级科研项目十多项,入选“教育部新世纪人才”,在Angewandte Chemie、Advanced Materials、Environmental Science & Technology等期刊发表论文190多篇,被引用1万余次,H因子58,获得国家发明专利18项。担任SCIENCE CHINA Materials 编委、《无机材料学报》编委、《实验室研究与探索》编委会副主任、《实验室科学》副主编、山东省化学化工学会常务理事、中国分析测试协会高校分析测试分会常务理事。邮箱:jhzhan@sdu.edu.cn。
声明

