第一作者:古桔文(广东工业大学)、张浅(广东工业大学)、范宇健(广东工业大学)
通讯作者:熊宇杰教授、王铁军教授、仇松柏副教授、盛天副教授
通讯单位:广东工业大学、中国科学技术大学、安徽师范大学
论文DOI:https://onlinelibrary.wiley.com/doi/10.1002/anie.202510601
甲醇与乙醇的高效交叉偶联制备C5+OH高级醇是一条绿色可持续的碳中和路径,但受限于传统催化剂难以实现高效、选择性制备。本文创新性地通过重构Ni表面,构筑了三配位Ni–Se催化位点,显著促进了甲醇与乙醇的交叉偶联反应。最佳催化剂Ni@NR-2Se表现出卓越催化活性,总醇产率达62.6%,其中C5+OH选择性高达62.0%。通过同步辐射XAFS、原位光谱及理论计算揭示,三配位Ni–Se结构有效稳定醛类中间体,尤其抑制了甲醛中间体的分解,促进碳链增长和偶联反应。该研究为设计高效非贵金属催化剂提供了重要策略,推动了甲醇与乙醇偶联制备高级醇的应用前景。
C5+OH在特种溶剂、液晶材料和表面活性剂等高端应用领域中具有重要价值。利用可再生资源如甲醇与乙醇合成此类醇类产物,契合绿色化学与碳中和发展方向,兼具经济性与可持续性。其中,甲醇与乙醇的交叉Guerbet反应被视为一条原子经济性高、潜力巨大的转化路径。该反应通过甲醇和乙醇的协同脱氢、形成醛类中间体、再偶联与加氢,可实现一步合成C5+OH。但在实际应用中,该反应仍面临显著挑战:反应关键中间体,尤其是甲醛,极易发生分解和副反应,导致碳链增长受阻,目标C5+OH收率与选择性普遍偏低。因此,构建具有精准配位结构的催化位点,用于稳定醛类中间体、抑制副反应,是实现高效合成C5+OH的关键。
1. 通过调控Ni表面重构,精准构筑出具有独特三配位结构的Ni–Se催化活性位点,为构建高效非贵金属催化体系提供新策略。
2. 优化的Ni@NR-2Se催化剂在甲醇与乙醇交叉偶联中表现出卓越性能,总醇产率高达62.6%,其中C5+OH选择性达62.0%。
3. 系统揭示了三配位Ni–Se结构可有效稳定醛类中间体,尤其抑制甲醛中间体的分解,促进碳链偶联,为构效关系理解和催化剂设计提供理论支撑。
作者通过精准硒化构建Ni@NR-2Se催化剂,并利用多尺度表征系统揭示三配位Ni–Se活性位点的结构特征及其形成机制。TEM和HRTEM图像(图1a-b)显示Ni纳米颗粒被石墨碳包覆,晶面分别对应Ni(111)和石墨碳(002),构成稳定的核壳结构。AC-STEM及元素分布图(图1c-d)进一步表明Se主要富集于Ni颗粒表面,提示硒化反应主要发生在Ni纳米颗粒的表层。Se K边XANES谱(图1e)显示Ni@NR-2Se中Se处于负价状态,EXAFS拟合(图1f)则确认其与Ni形成配位数为3.3 ± 0.1、键长为2.43 ± 0.03 Å的Se–Ni键,揭示三配位Ni–Se结构的存在。XPS结果(图1g-h)表明,随着Se含量增加,Ni3+与氧空位浓度先升高后下降,且Se与O含量呈反比,说明Ni–Se位点来源于Se22-与Ni(OH)2之间的离子交换过程。EPR谱(图2i-j)则佐证了催化剂中氧空位与Ni3+物种的富集,进一步印证三配位Ni–Se活性中心的构建路径。
图1 催化剂的表征结果。(a)TEM图,(b)高分辨TEM图,(c)畸变校正HAADF-STEM图及(d)对应的EDS元素分布图;(e)Se K边XANES谱和(f)傅里叶变换EXAFS谱;(g)Ni@NR-xSe系列催化剂的Ni 2p3/2精细谱;(h)基于XPS结果得到的Ni@NR-xSe催化剂表面Se和O含量变化趋势图;Ni@NR-0Se和Ni@NR-2Se催化剂中检测到的(i)氧空位和(j)Ni3+离子的EPR谱。
之后,作者研究了Ni@NR-xSe催化剂在甲醇与乙醇交叉缩合反应中的催化性能。通过优化Se掺杂量,Ni@NR-2Se(0.8 wt% Se)展现出最佳催化活性,显著抑制含碳气体产物(降至2.6%)(图2a-b)。最后在优化的Ni@NR-2Se催化剂上甲醇与乙醇转化率分别达71.8%和86.1%,总醇产率提升至62.6%,C4+OH和C5+OH选择性分别高达83.8%和62.0%,交叉缩合产物占比70.6%,证实高效甲醇与乙醇之间的高效偶联(图2c-d)。催化性能远优于贵金属催化剂(Pd/C、Ir/C)(图2e)。五次循环测试显示催化剂稳定性优异,性能无显著衰减(图2f)。
图2 (a)不同Se掺杂Ni@NR-xSe催化剂的醇转化率与产物选择;(b)交叉缩合与含碳气体产物选择性趋势;(c)两段式反应性能;(d)最优条件下醇分布;(e)与贵金属催化剂对比;(f)稳定性测试。
基于上述实验表明,硒掺杂抑制了醛类中间体在催化剂表面的解离,进而抑制了反应过程中气体产物的形成,从而促进了醇的脱氢和提升了C5+OH的选择性。实验利用原位表征进一步研究了甲醛的演变情况,通过对比分析Ni@NR-0Se和Ni@NR-2Se催化剂的原位红外光谱数据,观察到硒掺杂能有效抑制醛中间体的解离过程。未掺杂催化剂在2118/2172 cm-1处出现明显的CO特征峰,而掺杂后该峰显著减弱(图2a-d)。进一步的TPD/MS实验数据表明,硒掺杂使醛中间体的解离温度显著提高(图2e-h)。实验结果和原位表征表明,硒掺杂对 Guerbet 交叉偶联反应至关重要,因为它能够有效地将甲醇和乙醇转化为醛类中间体,同时抑制其分解,从而促进醛类中间体在活性位点上的富集,提高C5+OH收率。
图3 甲醛在(a)Ni@NR-0Se和(b)Ni@NR-2Se催化剂上随时间演变DRIFTS谱图;(c)Ni@NR-0Se和(d)Ni@NR-2Se催化剂上乙醛的原位DRIFTS谱图;(e)甲醛在Ni@NR-0Se和Ni@NR-2Se上的TPD/MS谱图(m/z=29醛片段信号);(f)对应CO信号(m/z=28);(g)乙醛的TPD/MS谱图(m/z=29);(h)对应CO信号(m/z=28)。
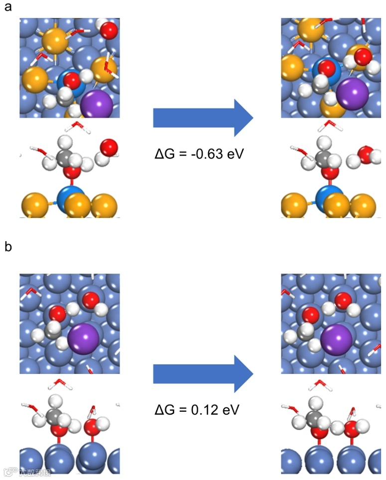
通过深入的理论计算,发现硒掺杂在镍基催化剂表面形成的Ni-Se活性位点对醇类交叉缩合反应具有关键影响。DFT计算揭示了在合成温度下,当硒覆盖度达到0.44 ML时,镍表面会重构形成稳定的NiSe3团簇(图4a)。对模型的Ni 3d轨道部分态密度进行分析,发现NiSe3团簇中Ni的d带中心位置的下移精细调控了催化活性,进而有利于反应选择性控制(图4b)。以甲醇为分子模型探究了两种不同活性位点上醇的脱氢过程。研究证实,NiSe3活性位点对甲醇分解具有独特的调控作用,使得O-H键和C-H键断裂能垒都明显有增加(图4c-d)。但在实际碱性条件下,OH⁻通过促进质子转移,使具有酸性的O-H键活化能垒显著降低,从而主导反应进程OH⁻通过与甲醇羟基氢的质子特性相互作用,发挥了关键催化作用(图5)。这种独特的双重调控机制能够有效促进甲醇和乙醇脱氢生成醛类中间体,同时在抑制醛中间体分解的前提下使其能够在活性位点稳定富集,进而通过直接链增长路径显著提升C5+OH的选择性和产率(图4e)。
图4. (a) Se掺杂Ni(111)表面重构形成不同覆盖度Ni-Se位点的吉布斯自由能;(b)Ni(111)与NiSe3团簇中Ni位点的Ni 3d轨道态密度对比;在Ni与NiSe3上(c)甲醛形成和(d)分解的活化能计算;(e) NiSe3团簇催化甲醇-乙醇交叉缩合反应路径示意图。
图5. 甲醇在(a)Ni(111) 表面和(b)Ni(111)上的 NiSe3 簇上与OH⁻阴离子之间在碱性条件下质子转移的吉布斯自由能变。
本文首次通过精确的表面硒化构筑出高性能的三配位Ni−Se催化位点,实现了甲醇与乙醇的高效交叉偶联反应。优化催化剂Ni@NR-2Se在反应中表现出优异的活性,甲醇和乙醇转化率分别达到71.8%和86.1%,总醇产率达62.6%,其中C5+OH选择性为62.0%。这一突破显著推动了甲醇与乙醇交叉偶联合成高附加值高级醇的合成工艺,特别是含甲基支链C5+OH的合成。原位表征和DFT计算结果进一步揭示,催化剂表面重构形成的三配位Ni−Se活性位点能够有效促进甲醇和乙醇脱氢生成醛类中间体,同时抑制其分解副反应,实现醛类中间体在活性位点的富集。这不仅提升了交叉偶联的选择性,也显著提高了产物收率。本工作提出了一种高效的表面修饰策略,为设计非贵金属催化剂以实现甲醇与乙醇高效、选择性交叉偶联制备甲基支链C5+OH提供了新的思路。
熊宇杰,中国科学技术大学讲席教授、博士生导师,安徽师范大学党委副书记、常务副校长(正厅级)。1996年进入中国科学技术大学少年班系学习,2000年获化学物理学士学位,2004年获无机化学博士学位,师从谢毅院士。2004至2011年先后在美国三所大学工作,2011年辞去首席研究员职位回到中国科学技术大学任教授,建立独立研究团队。曾入选教育部长江学者特聘教授(2018年)、国家杰出青年科学基金获得者(2017年)、国家高层次人才计划科技创新领军人才(2018年),当选欧洲科学院(EurASc,2024年)、东盟工程与技术科学院(AAET,2022年)、新加坡国家化学会(SNIC,2022年)、英国皇家化学会(RSC,2017年)的Fellow。现任ACS Materials Letters副主编,Chemical Society Reviews、Chemistry of Materials等期刊顾问委员或编委。主要从事仿生催化系统的智能定制研究,已发表300余篇通讯作者论文,其中100余篇发表在Nature子刊、综合性顶刊(Sci. Adv.、Nat. Commun.、PNAS、Natl. Sci. Rev.)、化学与材料科学顶刊(J. Am. Chem. Soc.、Angew. Chem. Int. Ed.、Adv. Mater.),40余篇入选ESI高被引论文。论文总引用50,000余次(H指数113),入选科睿唯安全球高被引科学家榜单和全球前0.05%顶尖学者终身榜单。曾获国家自然科学二等奖(第三完成人,2012年)、安徽省自然科学一等奖(第一完成人,2021年)、中国科学院优秀导师奖(2014、2015、2016、2018年)、英国皇家化学会Chem Soc Rev开拓研究者讲座奖(2019年)、中美化学与化学生物学教授协会杰出教授奖(2015年)。
王铁军,二级教授,博士生导师,广东工业大学研究生院院长,入选国家万人计划领军人才、科技部中青年科技创新领军人才等,任广东省植物资源生物炼制重点实验室、广州市清洁交通能源化学重点实验室首届主任,连续多年入选Elsevier中国高被引学者。近年团队承担了科技部国家重点研发项目/课题5项,国家基金重点项目1项,国家基金国际合作/面上项目等纵/横向课题40余项,产学研经验丰富。获联合国 BlueSkyAward、广东省科技一等奖、中国专利优秀奖等。在Nature子刊,J. Am. Chem. Soc., Angew. Chen. Int. Edit., Adv. Funct. Mater., AICHE J., Appl. Catal.B Environ.等国内外著名学术刊物发表论文100余篇。
仇松柏,广东工业大学副教授,硕士研究生导师,广东工业大学青年百人计划引进人才(A类)。主要从事生物质资源催化转化为生物液体燃料和精细化学品方面的中试放大研究和基础研究,作为第一完成人和主要学术骨干参与了国家自然科学基金、国家“973”计划、国家“863”计划和中科院知识创新工程等多项项目的研究,在催化材料制备、加氢/加氢脱氧工艺、生物汽油/生物航油合成等方面积累了丰富的工程放大经验和技术,近年来发表SCI论文20余篇,申请发明专利8件。
盛天,安徽师范大学化学与材料科学学院副教授。长期从事固体表界面上的多相催化、电催化反应机理的理论研究,已在国际高水平学术刊物上发表90余篇论文。
声明

