

第一作者:唐晶晶
通讯作者:于晓强教授和包明教授
通讯单位:大连理工大学精细化工国家重点实验室
论文DOI:10.1002/anie.202016234
含氮化合物广泛存在于天然产物、药物分子及生物活性分子中,近几十年来,金属氮宾参与的乃春转移反应已经取得了很大的进展,并成为高效构建含氮化合物的主要方法之一。二噁唑酮类化合物,可以由自然界中广泛存在的羧酸制备而成,与传统的有机叠氮以及亚胺碘苯类乃春前体相比,其制备过程具有安全、简便的特点,近几年越来越受到人们的关注。过渡金属催化的二噁唑酮类化合物的乃春转移反应虽然已经取得了一定的进展,但是通常局限于贵金属铱、铑、钌等。近日,大连理工大学于晓强教授和包明教授发展了一种基于二噁唑酮分子的可见光诱导铁催化的乃春转移反应,成功实现了分子间C(sp3)-N、N=S及N=P键的构筑。该反应无需加入额外的光敏剂或者配体,反应条件温和且具有良好的底物适用性。
酰胺骨架结构广泛存在于药物分子及生物活性分子中,利用酰基乃春前体作为酰胺源并通过过渡金属催化乃春转移的方式可以实现分子的直接酰胺化。尽管磺酰基、磷酰基、烷基和芳基叠氮试剂已经成功的用于乃春转移反应中,但是由于酰基叠氮化物其固有的不稳定性,尤其是脂肪族酰基叠氮化物难以分离和储存,极大限制了其应用。此外,亚胺碘苯类化合物作为另外一种乃春前体,也广泛的应用于乃春化学领域,但是这类试剂的使用往往会伴随当量的芳基卤代物的生成,原子经济性较差。二噁唑酮类化合物作为一类新型的乃春前体,目前过渡金属催化的二噁唑酮类化合物的乃春转移反应已经取得了一定的进展,如过渡金属铱、铑、钌等催化的导向基团辅助的C(sp2)-H酰胺化、分子内的C(sp3)-H酰胺化以及与有机硫试剂的亚胺化反应等。铁作为3d金属不仅储量丰富、价格低廉且生物兼容性好,根据绿色、可持续发展的理念,发展新的铁催化体系并将其用于二噁唑酮类化合物的乃春转移反应具有重要的研究价值。
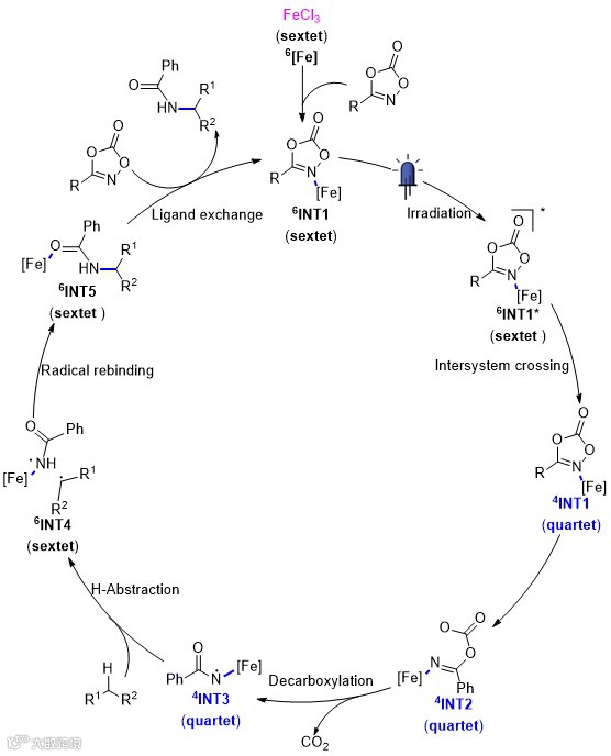
1.本工作通过可见光调控铁-二噁唑酮物种自旋态的改变,降低了二噁唑酮分子脱除二氧化碳时的活化能,成功实现了温和条件下二噁唑酮分子的活化。
理论计算表明,处于基态的六线态铁-二噁唑酮物种在进行开环活化时需要克服较高的反应能垒(∆G = 29.9 kal mol-1)。与此相比,四线态的铁-噁唑酮物种脱除二氧化碳所需活化能则明显降低(∆G = 22.0 kal mol-1)。本课题组设想可以通过光调控铁-二噁唑酮物种自旋态的改变,降低二噁唑酮分子脱除二氧化碳时的活化能,进而实现温和条件下二噁唑酮分子的活化转化。

基于上述的设想,首先以3-苯基-1,4,2-二噁唑-5-酮1a和二苯二甲酮2a的反应为模型反应,对反应条件进行了优化。通过对催化剂、溶剂以及波长的筛选得出最优的反应条件:FeCl3 (15 mol%)、DCM (3 mL)、450 nm蓝光照射、40 ℃下反应16小时。

随后作者对反应的底物适用范围进行了探究。研究表明,苯基取代的二噁唑酮分子不仅可以和二苯甲酰甲烷类化合物进行反应,与苯甲酰乙酸乙酯类化合物也可以很好的发生反应。此外,当3-苯基-1,4,2-二噁唑-5-酮1a与大位阻的2-氧代环己烷-1-甲酸乙酯2g反应时,可以成功的实现季碳的构筑,以46%的收率得到目标产物3ag。杂芳烃取代(1q和1r)的二噁唑酮分子也可以很好的参与反应,得到中等收率的目标产物3qd、3qe和3rd。令我们高兴的是,当烷基取代的二噁唑酮1s与1,3-二羰基化合物进行反应时,也可以得到较高收率(58%-69%)的目标产物3sb-3se和3sh。

在上述最优条件下,我们对其他含有活泼亚甲基的化合物进行了探究。实验表明,当二苯甲烷4a与苯基取代的二噁唑酮1a发生反应时,可以得到26%收率的目标产物4aa。通过进一步的条件优化,我们发现当在该催化体系中加入银盐AgNTf2或者AgSbF6作为添加剂时,反应的收率(74%和71%)可以得到大幅度提升。在以FeCl3(15 mol%)为催化剂、AgNTf2(15 mol%)为添加剂的条件下,我们对于二苯基甲烷类化合物进行了底物拓展。苯基取代的二噁唑酮分子对位、间位或者邻位无论连有供电子基团还是吸电子基团亦或者是卤素基团(1a-1n)都可以很好地参与反应。对于3-噻吩-1,4,2-二恶唑-5-酮1q与二苯基甲烷4a进行反应时,也可以得到64%的目标产物5qa。当二苯甲烷分子上含有Me、I或者Cl取代基(4b-4d)时,反应也可以很好地发生。需要指出的是,当苯基取代的二噁唑酮分子1a与异色满4e发生反应时,体系中无须加入银盐添加剂,只需在铁催化剂的存在下就可以得到74%收率的目标产物5ae。

后续我们又探究了硫醚、亚砜及有机膦类化合物与二噁唑酮的反应。对于亚砜类化合物,采用10 mol%的FeCl3催化剂即可得到较高收率的目标产物。对于硫醚类分子,尽管在FeCl3为催化剂时也可以取得不错的反应收率,但是在FeBr3为催化剂时,反应的效果更好,且催化剂的用量可以降至5 mol%。而对于有机膦类化合物,当以FeCl3(5 mol%)为催化剂时,在很短的时间内就可以得到绝佳收率的目标产物。此外,我们发现取代基的电性及空间位阻效应对这几类含有杂原子的底物分子无特别明显的影响。
为了更深一步了解反应机理,以分子间的C-N键的构筑为例,进行了如下的机理探究实验:


为了进一步揭示反应的机理,进行了理论计算研究。计算表明,处于基态的铁-二噁唑酮物种6INT1脱出CO2时需要克服29.9 kal mol-1的反应能垒,而该物种在四线态势能面上进行活化开环则需要克服22.0 kal mol-1的能垒。此外,在四线态势能面上进行分子间的氢原子转移(HAT)时,仅需克服14.0 kal mol-1的能量,进一步说明了HAT过程不是反应的决速步骤。另外,DFT计算表明,分子间的自由基重组更容易在六线态的势能面进行。

最后,以分子间的C(sp3)-N的构筑为例,给出了可能的反应机理:

欢迎关注我们,订阅更多最新消息

