
第一作者: Changhong Wang, Jianwen Liang
通讯作者: Jiantao Wang,孙学良
通讯单位: 国联汽车动力锂电池研究院公司,西安大略大学
论文DOI: 10.1126/sciadv.abh1896

全文速览
固态卤化物电解质,因其高离子电导率和高电压稳定性,引起了科学界的研究兴趣。然而,由于金属卤化物容易水解,因此,从液相合成卤化物电解质极具挑战性。在这项工作中,作者报道了铵辅助湿化学可合成各种具有特殊离子电导率(>1 微西/厘米)的固态卤化物电解质。作者发现微应变引起的局部微观结构变化有利于卤化物电解质中的锂离子传输。此外,通过将混合的电子/离子导电界面转变为锂离子导电界面,减轻了卤化物电解质与锂金属之间的界面不相容性。这种全固态锂金属电池 (ASSLMBs) 表现出98.1% 的高初始库仑效率(基于钴酸锂)和166.9 mA h g-1的高放电容量(基于单晶 LiNi0.6Mn0.2Co0.2O2 )。这项工作为开发基于卤化物的 ASSLMB 提供了材料合成和界面设计的通用方法。

背景介绍
全固态锂金属电池 (ASSLMB),因其高理论能量密度和安全性而备受关注。为了开发 ASSLMB,固态电解质是替代传统有机隔膜和易燃有机液体电解质不可或缺的组成部分。同时,锂金属负极用于提高能量密度。在过去的几十年里,已经开发了各种固态电解质,例如聚合物电解质、氧化物电解质、硫化物电解质、硼氢化物和最近复兴的卤化物电解质。其中,聚合物电解质显示出优异的制造灵活性和可行性,但室温 (RT) 离子电导率较低。氧化物电解质表现出高离子电导率和宽电化学窗口,但刚度不利于加工机械。硫化物电解质表现出高离子电导率和柔软的机械性能,但空气稳定性差,暴露在潮湿空气中容易释放有毒的 H2S 气体。最近,固态卤化物电解质(例如,Li3YCl6 和 Li3YBr6)由于其高离子电导率(>1 mS cm-1)、高电压阴极相容性以及直接冷烧结的良好机械性能而获得了广泛的研究关注。
受这些优势的启发,近年来对卤化物电解质的研究迅速复苏。随着实验的进展,理论计算被广泛用于预测卤化物电解质的电化学稳定性和离子电导率。大多数卤化物电解质是通过机械化学方法合成的。到目前为止,只有 Li3InCl6 可以从水溶液中合成以方便放大。由于MCl3·nH2O在加热时容易水解,其他卤化物电解质不能从溶剂辅助过程合成。考虑到湿化学方法在控制固体电解质的形态和尺寸以及制造具有紧密固-固离子接触的片状电极用于实际软包电池制造方面具有很大优势。因此开发一种通用的湿化学路线来合成具有良好离子电导率的卤化物电解质,具有重要意义。

图文解析

图 1. 湿化学Li3YCl6的合成与结构分析。(A) (NH4)3[YCl6]·3LiCl复合材料的TGA-DSC曲线。(B) 在不同温度下退火的 Li3YCl6 的 XRD 图。(C) 慢扫的Li3YCl-500 的 Rietveld 精修。(D) Williamson-Hall图。(E) 从 XRD 精修获得的湿化学 Li3YCl6 的晶体结构。
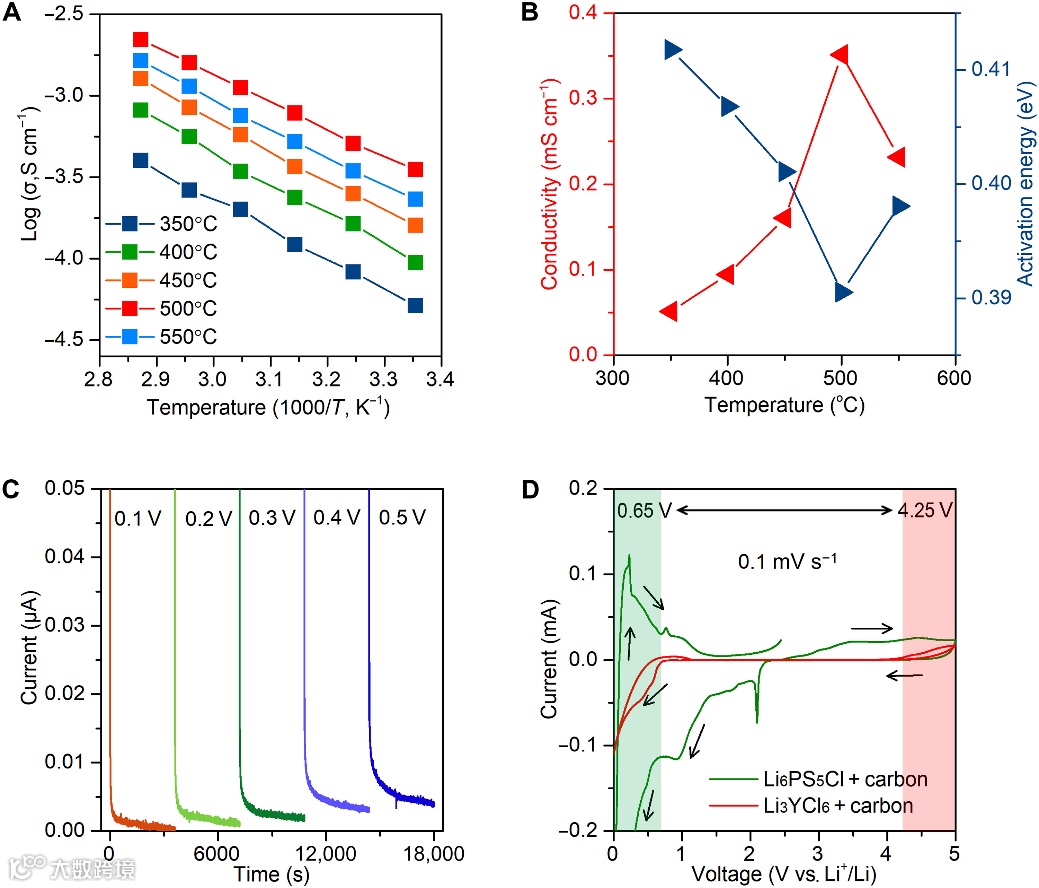
图 2. 湿化学法合成的Li3YCl6的电化学性质。(A) 在不同温度下退火的湿化学Li3YCl6 的Arrhenius图。(B) 与温度有关的 RT 离子电导率和活化能。(C) 使用对称电池配置的湿化学 Li3YCl6 的DC极化曲线,具有 0.1 到 0.5 V 的不同电压偏置。(D) Li6PS5Cl 和湿化学 Li3YCl6 之间的循环伏安曲线比较(工作电极侧由 80 wt% 电解质和 20 wt% 的炭黑组成)。
图 3. 通过湿化学法合成的 Li3ScCl6 和 Li3ErCl6 的结构、电化学和形态分析。(A) 湿化学法合成的 Li3ScCl6 的慢扫 XRD 谱和 Rietveld 精修结果。(B) 通过湿化学法和热熔法合成的 Li3ScCl6 的Arrhenius图。(C) 湿化学法合成的 Li3ScCl6 的 SEM 图像。(D) 湿化学法制备的 Li3ErCl6 的慢扫 XRD 图和 Rietveld 精修结果。(E) Li3ErCl6 与 热熔法合成的 Li3ErCl6 相比的 Arrhenius 图。(F) 湿化学 Li3ErCl6 的 SEM 图像。
图 4. 卤化物电解质和锂金属阳极之间的界面稳定性。(A) Li/Li3YCl6/Li 对称电池的时间分辨 EIS 光谱。(B) Li/Li6PS5Cl/Li3YCl6/Li6PS5Cl/Li 对称电池的时间分辨 EIS 光谱。(C) 对称电池性能比较。(D) 锂金属和 Li3YCl6 之间的混合电子和离子界面。 (E) 由 Li6PS5Cl 薄层实现的 Li3YCl6 和 Li 之间的 Li+-导电界面。。
图 5. 基于卤化物电解质的 ASSLMB 的电化学性能。(A) ASSLMBs 示意图。(B) ASSLMBs 在 RT 下 0.1 C 下的初始充电/放电曲线(2.6 至 4.2 V 与 Li+/Li)。(C) ASSLMBs 的循环稳定性。(D) RT 和 60°C 下的倍率性能。(E) 具有 SC-NMC622|Li3ScCl6|Li6PS5Cl|Li 配置的 ASSLMB,在 RT 下的倍率性能(2.8 至 4.4 V 与 Li+/Li)。

总结与展望
基于上述结果,作者报道了铵辅助湿化学,是合成各种亚微米级固态卤化物电解质的通用策略。获得的卤化物电解质表现出不错的 RT 离子电导率(高达 1.25 mS cm-1)。 此外,证明了单层薄硫化物电解质可有效防止卤化物电解质与锂金属之间的阳极界面反应。 因此,成功实现了具有优异电化学性能的卤化物基 ASSLMBs。这项工作为开发具有高能量密度的基于卤化物的 ASSLMB 提供了一个示例。作者相信,未来可以进一步探索这种通用的铵辅助湿化学,以合成通式为 A3MX6(A = Li 和 Na;M = 三价金属;X = Cl、Br 和 I)的其他固态电解质。
声明
本文仅供科研分享,不做盈利使用,如有侵权,请联系后台小编删除

“邃瞳科学云”直播服务
“邃瞳科学云"平台正在收集、整理各类学术会议信息,欢迎学会、期刊、会议组织方择优在邃瞳平台上进行线上直播,希望藉此帮助广大科研人员跨越时空的限制,实现自由、畅通地交流互动。欢迎老师同学们提供会议信息(会有礼品赠送),学会、期刊、会议组织方商谈合作,均请联系翟女士:18612651915(微信同)。
扫描二维码下载
邃瞳科学云APP

