
第一作者: Zhaoyu Jin, Panpan Li
通讯作者: Dan Xiao,余桂华
通讯单位: 四川大学,德克萨斯大学奥斯汀分校
论文DOI: https://doi.org/10.1038/s41929-021-00650-w

全文速览
调节单原子催化剂 (SAC) 的位点密度有可能显著提高氧还原反应 (ORR)电催化性能。然而,由单个位点和位点相互作用共同控制的催化行为特别难以捉摸,尚待理解。在这里,作者证明了在亚纳米级位点间距离下,分离的 Fe-N4 SAC 的 ORR 活性的来源。当位点间距离小于约 1.2 nm 时,相邻 Fe-N4 部分之间的强相互作用会改变电子结构,导致 ORR 活性增加。位点性能的显著改善一直持续到邻近的 Fe 原子距离接近约为 0.7 nm时,低于该值时本征活性略有降低。该研究强调了用于 ORR 的 Fe-N4 催化剂中位点间距效应的基本机理及其重要性,这可能会促进高密度 SACs 的开发。

背景介绍
在过去十年中,单原子催化剂 (SAC) 引起了科学界极大的兴趣,尤其是在与能源相关的电催化领域。该领域的大量研究表明,与贵金属基的催化剂相比,固定在导电基材上的原子分散的过渡金属可以显示出出色的活性。作为燃料电池和金属-空气电池阴极过程的氧还原反应(ORR)目前仍饱受商业贵金属电催化剂的高成本和耐久性问题的困扰。到目前为止,基于过渡金属的 SAC ,作为一种有前途的替代品,已经引起了广泛的研究兴趣。文献表明负载在碳上的孤立 Fe-N4 位点是 ORR的高活性和高选择性催化剂。先前研究的结果表明,高催化活性与位点浓度之间存在强烈的正相关关系。同时,最近 SAC 合成方法的突破导致金属质量负载可以超过 10 wt%,并超过了 Pt/C (20 wt%)的ORR性能。虽然高密度的 SAC 可能具有更好的整体活性,但两个重要因素:单个位点的内在本征活性和反应物、产物和中间体的传质仍值得深入研究。此外,文献中使用的用于标准 SAC 的常规测量不太可能有效获取单个位点上的动力学的催化信息。
在此,作者通过综合实验和理论方法展示了对用于 ORR 的 Fe-N4 SAC 的综合研究。这项概念验证了单个活性位点的动力学行为以及相邻金属原子的邻近效应,从而为促进对 SAC 本征行为的理解提供重要机会。然而,随着基板上位点的接近,人们越来越关注相邻原子之间的相互作用。虽然已经对该主题进行了多项研究,但几乎没有进行实验工作来研究位点间距离 (dsite) 与单个位点催化活性之间的关系。事实上,由于 ORR 是一个机制复杂的多阶段过程,因此在现有技术的限制下很难量化这种影响。这项工作系统分析揭示了用于 ORR 的 Fe-N4 SAC 中的 dsite 效应。作者采用了水凝胶锚定策略以在氮掺杂碳基质上制备具有可控密度的原子分散的 Fe 位点。作者进一步关联了 SAC 组中的 dsite,这提供了对孤立原子之间相互作用的见解。理论模型和实验证据均表明 dsite 在电子相互作用方面的有效范围。对 Fe 原子位点内在 ORR 行为的定量研究进一步强调了 dsite 效应的重要性。因此,对具有不同原子密度的 SAC 的基本了解将有助于设计用于实际应用的高效能源系统。

图文解析

图 1. 具有不同 dsite 值的 Fe-N4 SAC 的表征。a-j,具有不同金属负载量和 dsite 值的十个样品的 HAADF-STEM 图像;十个样品分别为: 0.5 nm (a); 0.7 nm (b);0.9 nm (c);1.2 nm (d);1.9 nm (e);2.6 nm (f);3.2 nm(g); 4.6 nm(h); 5.2 nm (i);7.8 nm (j)。Fe原子的亮点用红色圆圈标记。比例尺,1 nm。k,四种典型Fe-N4催化剂(dsite = 0.5、1.2、1.9和2.6 nm)的相位校正EXAFS光谱的傅立叶变换幅度函数,FT|k3χ(k)|。 Fe箔作为参考。l,具有(1和2)或不具有(3)孤立Fe原子的三个选定区域的EELS,如插图所示。比例尺,1 nm。N K 和 Fe L 分别代表 N K-edge 和 Fe L-edge。m,背景扣除的N K 和 Fe L-edge 的局域 EELS 分析。
图 2. Fe 含量和位点密度与不同 dsite 值的相关性。a,根据 ICP-MS 确定的相应 Fe 负载。误差条对应于五次独立试验中制备的每个样品的 Fe 含量(x 轴)和 dsite(y 轴)的标准偏差。b,使用 SI-SECM 测量的 Fe 原子密度(ns,每 100 nm2 的 Fe 原子)与从 STEM 图像获得的 dsite 的函数关系图。 误差条表示五个 SI-SECM 实验中 ns的标准偏差。虚线曲线显示了根据假设的矩形模型计算的 ns值。
图 3. ORR活性。a,具有不同dsite值的PPy衍生的N-C和Fe SAC的线性扫描伏安图。b,从a图中得到的所有 Fe SAC 的电位对电流密度的对数标度图。电流密度的标准偏差来自相同条件下的五次独立试验。c,根据 ICP-MS 结果将不同样品中 Fe 的总重量归一化所得到的在 0.85 和 0.80 V 电压下的 MA(质量电流密度)。误差条对应于每个样本的五组数据的 MA 计算的标准偏差。
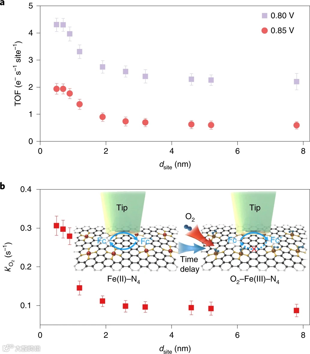
图 4. 与 dsite 相关的活性位点。a,TOF 在 0.85 和 0.80 V 时随 dsite的变化;活性 Fe 位点的数量是通过 SI-SECM在相同的电位下测量得到的。误差条表示由电流密度和 Fe 负载得出的 TOF 计算中的标准偏差。b,反应速率常数 (k'O2)(由延迟 SI-SECM 滴定O2 在 Fe(III)-N4 位点上键合(脉冲至 0.80 V 持续 10 s)得到)与 dsite 的关系。标准偏差来自五个独立的 SI-SECM 时间延迟滴定试验。
图 5. 与dsite相关的位点间相互作用的证明。a,四个样品的Fe K-edge XANES光谱,dsite= 0.5、1.2、1.9和2.6 nm;提供了作为参考的 Fe 箔的光谱。b,两种催化剂的Fe-57 穆斯堡尔光谱,dsite = 0.5 和 1.9 nm。c,DFT 计算的 Fe 原子与具有不同 dsite 值的相邻位点相互作用的磁矩。 d,通过 DFT 计算获得的 dsite 相关 ΔG*OH。 插图:计算出的 ORR 对 ΔG*OH 的过电位的火山图。

总结与展望
上述结果表明,作者已通过综合方法和深入分析(包括微观、电化学和光谱技术以及计算建模)确定了dsite 对单原子 ORR 电催化剂的关键影响。作者描述了一种水凝胶模板策略来调节 SAC 中 Fe 原子的位置。结果揭示了它们的 ORR 行为如何受到相邻 Fe-N4 位点的电子相互作用的影响。虽然大量研究一直集中在不同催化反应的金属-底物相互作用上,但这项工作进一步强调了位点间相互作用的存在及其重要性。因此,这些发现对于更深入地了解 SAC 的位点密度如何促进电催化性能具有重要意义。本文中采用的分析方法也将有利于表征技术的发展和单原子电催化剂基准的评估。除了 ORR,原子分散的 Fe-Nx 位点在最近也显示出催化许多重要反应的能力,例如 CO2 和 N2 还原。这项对 SAC 中位点效应的基础研究可以指导未来设计用于各种催化反应的高效 SAC。

文献来源
Jin, Z., Li, P., Meng, Y. et al. Understanding the inter-site distance effect in single-atom catalysts for oxygen electroreduction. Nat Catal (2021). https://doi.org/10.1038/s41929-021-00650-w
“邃瞳科学云”直播服务
扫描二维码下载
邃瞳科学云APP


