
第一作者:Minzhi Ma
通讯作者:周莹、黄泽皑
通讯单位:西南石油大学
DOI: 10.1016/j.apcatb.2021.120695

全文速览
将钴物种作为光催化CO2还原制甲醇等高附加值产品的活性中心正受到越来越多的关注,然而实现其高催化活性仍然是一个巨大的挑战。在本文中,作者采用热解诱导蒸汽化策略成功制备出表面Co原子载量高达24.6 wt%的Co/g-C3N4单原子催化剂(Co/g-C3N4 SACs)。对Co/g-C3N4 SACs形成过程的系统研究表明,利用高浓度H2SO4对g-C3N4纳米片(g-C3N4 NSs)基底的剥离及后续的两步煅烧过程,对于实现超高金属负载量至关重要。研究发现这些超高载量的单原子Co被锚定在g-C3N4基底表面,并与两个氮原子和一个碳原子形成配位(Co-N2C)。在g-C3N4表面上原子级分散的Co-N2C位点不仅可以作为电子聚集中心,而且可以作为CO2吸附和活化的位点,从而在光照过程中促进了甲醇的生成。测试结果表明,表面Co载量为24.6 wt%的Co/g-C3N4-0.2 SAC在4 h的甲醇生成速率高达941.9 μmol g-1,分别是g-C3N4 (17.7 μmol g-1)和团聚CoOx/g-C3N4-0.2 (423.9 μmol g-1)的13.4和2.2倍。此外,Co/g-C3N4-0.2 SAC在12个循环试验(~48 h)时间内可以保持稳定的光催化活性。

背景介绍
光催化CO2还原和H2O制备甲醇被认为是实现碳中和的理想战略,因为甲醇可作为平台化学工程的原料用于各种化学品的合成。此外,廉价易得的H2O作为电子和质子给体可以大幅降低甲醇的生产成本。通常,CH3OH的生成涉及6电子过程,因此在光催化剂表面聚集大量电子有利于触发高性能CH3OH的生成。在目前报导的光催化剂中,高丰度的Co基催化剂有利于CO2的转化,这是因为碳/氧原子的2p轨道和钴原子的3d轨道之间会发生强烈杂化,从而有效捕获CO2。此外,与N/C原子结合的钴原子可作为活性中心,在光照下聚集电子以增强CO2活化并将其还原为CH3OH。然而,在光照过程中,表面活性中心有限、原子利用率低的体相Co光催化剂不利于光生电子在CO2光还原位点的转移和聚集,从而限制了CO2还原为CH3OH的效率。
近年来,具有单分散Co-NxC4-x (x=0-4)配位活性基元的单原子催化剂(Co-NxC4-x/基底SACs)具有最大的原子利用效率、可调控的电子环境、高电荷转移效率和电子迁移率等优点,从而有利于CO2还原。到目前为止,尽管通过直接热解含氮有机化合物和金属盐前驱体可以实现高金属负载量Co-NxC4-x/基底SACs的制备,但大部分的Co-NxC4-x单原子位点存在于体相载体中。在载体体相中的单金属原子只能作为电子传输通道,而不能作为表面光催化CO2反应的电子聚集中心。因此,由于表面活性中心有限,这些催化剂的光还原CO2制CH3OH产率相对较低。因此,设计和制备一种具有Co-NxC4-x配位基元的超高表面负载单原子Co催化剂用于光还原CO2制CH3OH是非常必要的,但同时也是一个很大的挑战。
在本文中,作者报导了一种新型的热解诱导蒸汽策略,成功制备出一种含有Co-N2C配位物种的钴单原子催化剂(Co SACs),其表面钴原子含量高达24.6 wt%,是目前Co-NxC4-x/基底SACs报导的最高值。因此,所合成出的Co/g-C3N4 SACs表面含有极高的单分散Co-N2C活性中心。研究结果表明,在没有牺牲剂和光敏剂的情况下,Co/g-C3N4 SACs具有优异的光催化CO2还原制CH3OH活性。本研究为制备高表面负载量的Co-NxC4-x/基底SACs提供了新见解,可用于高效的光催化CO2还原制备太阳能燃料。

图文解析

图1. (a)所制备出催化剂的XRD图谱;(b) g-C3N4和Co/g-C3N4-0.2的FT-IR光谱;g-C3N4和Co/g-C3N4-0.2的(c)高分辨C 1s和(d) N 1s XPS光谱。
图2. (a) Co/g-C3N4-0.2的AC-HAADF-STEM图;(b-e) Co/g-C3N4-0.2的HAADF及STEM-EDX元素映射图;Co箔, CoO, Co3O4, Co(NO)3·6H2O, Co/g-C3N4-0.2的(f) Co K-edge XANES光谱和(g)傅里叶变换k3-weighted EXAFS光谱;(h) Co/g-C3N4-0.2、CoO和Co箔的小波变换结果;Co/g-C3N4-0.2在(i) R空间和(j) k空间的EXAFS拟合曲线。
图3. 热解诱导硝酸钴蒸汽化制备Co/g-C3N4 SACs流程图。
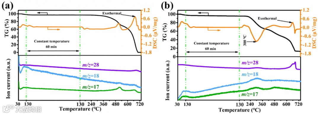
图4. (a) g-C3N4 NSs, (b) g-C3N4 NSs和Co(NO3)2·6H2O混合物的TG-DSC-MS曲线。
图5. 光催化CO2还原活性测试: g-C3N4, Co/g-C3N4-0.1 SAC, Co/g-C3N4-0.2 SAC, Co/g-C3N4-0.25, CoOx/g-C3N4-0.2催化剂在4 h的(a) CH3OH生成和(c) H2, CO, CH4, C2H4, C2H6, C3H6, CH3OCH3产物分析;(b) g-C3N4, Co/g-C3N4-0.2 SAC, CoOx/g-C3N4-0.2催化剂生成CH3OH的典型时间曲线;(d) CoOx/g-C3N4-0.2催化剂生成CH3OH的循环测试结果。
图6. (a) g-C3N4, Co/g-C3N4-0.1 SAC, Co/g-C3N4-0.2 SAC, Co/g-C3N4-0.25, CoOx/g-C3N4-0.2催化剂的紫外-可见漫反射光谱, (b) g-C3N4和Co/g-C3N4-0.2 SAC的XPS价带光谱;(c) g-C3N4和Co/g-C3N4-0.2 SAC的能带结果;(d) g-C3N4和Co/g-C3N4-0.2 SAC的光电流曲线;(e)对应的EIS Nyquist曲线;(f) g-C3N4, Co/g-C3N4-0.1 SAC, Co/g-C3N4-0.2 SAC, Co/g-C3N4-0.25, CoOx/g-C3N4-0.2催化剂荧光光谱。
图7. g-C3N4, Co/g-C3N4-0.1 SAC, Co/g-C3N4-0.2 SAC, Co/g-C3N4-0.25, CoOx/g-C3N4-0.2催化剂的(a) CO2-TPD和(b) CO2吸附曲线;(c) Co/g-C3N4-0.2 SAC 和(d) g-C3N4的原位DRIFTS光谱。

总结与展望
在本文中,作者提出了一种新型的热解诱导蒸汽策略,用于制备超高表面金属负载量24.6 wt%的Co/g-C3N4 SACs。本文使用g-C3N4作为载体实现了单原子Co的超高表面载量,选择g-C3N4是因为其不仅可以提供许多用于锚定Co的均匀N2C配位位点,而且通过两步煅烧可以抑制Co的团聚。这种高密度原子级单分散的Co-N2C活性中心可以促进光生载流子的迁移,有助于光照下光生电子的局部化。研究结果表明,所制备出的Co/g-C3N4 SACs可以有效地将CO2光催化还原为CH3OH。该工作为制备超高表面负载的Co基SACs提供了新机会,可用于光催化、电催化和光电催化等多种应用。

文献来源
Minzhi Ma, Zeai Huang, Dmitry E. Doronkin, Wenjun Fa, Zhiqiang Rao, Yanzhao Zou, Rui Wang, Yunqian Zhong, Yuehan Cao, Ruiyang Zhang, Ying Zhou. Ultrahigh surface density of Co-N2C single-atomsites for boosting photocatalytic CO2 reduction to methanol. Appl. Catal. B: Environ. 2021. DOI: 10.1016/j.apcatb.2021.120695.
文献链接:https://doi.org/10.1016/j.apcatb.2021.120695
声明
本文仅供科研分享,不做盈利使用,如有侵权,请联系后台小编删除

“邃瞳科学云”直播服务
“邃瞳科学云"平台正在收集、整理各类学术会议信息,欢迎学会、期刊、会议组织方择优在邃瞳平台上进行线上直播,希望藉此帮助广大科研人员跨越时空的限制,实现自由、畅通地交流互动。欢迎老师同学们提供会议信息(会有礼品赠送),学会、期刊、会议组织方商谈合作,均请联系翟女士:18612651915(微信同)。
扫描二维码下载
邃瞳科学云APP

