
2019年,洛桑联邦理工学院胡喜乐教授联合国立台湾大学陈浩铭教授团队在《Science》发表一篇题目为“Atomically dispersed Fe3+ sites catalyze efficient CO2 electroreduction to CO”的重要成果。该工作成功设计出一种具有原子级分散的Fe3+位点催化剂,其仅需80 mV的过电位即可高效的将CO2电催化还原至CO,且在340 mV过电位下,电流密度可达94 mA cm-2。反应动力学研究表明,单原子Fe3+位点具有比传统Fe2+位点更快的CO2吸附速率和更弱的CO吸附能力,因此Fe3+-N-C在CO2RR过程中表现出比Fe2+-N-C更低的过电位。
今日,胡喜乐教授团队与陈浩铭教授团队再度合作,在《Nature Energy》期刊发表题为“Double-atom catalysts as a molecular platform for heterogeneous oxygen evolution electrocatalysis”的最新研究。在本文中,作者开发出一种普适性策略,其可以通过原位电化学转化从单原子前驱体合成含Co、Fe和Ni的双原子催化剂。一系列表征技术揭示出这些负载型催化剂的分子状双金属活性中心,且对于每一种催化剂,作者均提出了催化循环;所有的催化剂都表现出双金属合作特性,并遵循类似的O–O键形成步骤。然而,对于O-O键的形成,OH-的位点和来源以及质子和电子转移的顺序,在机制上存在着差别。该工作表明双原子催化剂可作为非均相OER电催化剂基础研究的一个极具前景的平台,可用以深入探究活性位点和反应机理。
第一作者:Lichen Bai、Chia-Shuo Hsu
通讯作者:胡喜乐教授、陈浩铭教授
通讯单位:洛桑联邦理工学院、国立台湾大学
DOI: 10.1038/s41560-021-00925-3

全文速览
析氧反应(OER)是通过水裂解或CO2电还原生成燃料的重要阳极半反应,含Co、Fe或Ni的混合金属氧化物已被证明是在碱性介质中最有前景的OER电催化剂。然而,由于这些催化剂的非均相性质,使其活性位点和反应机理很难研究。在本文中,作者成功开发出一种通过原位电化学转化从单原子前驱体合成含Co、Fe和Ni双原子催化剂的普适性策略,并通过一系列表征技术揭示出这些负载型催化剂的分子状双金属活性位点。对于每一种催化剂,作者均提出了催化循环;即所有的催化剂都表现出双金属合作特性,并遵循类似的O–O键形成步骤。然而,对于O-O键的形成,OH-的位点和来源以及质子和电子转移的顺序,在机制上存在着差别。该工作表明双原子催化剂可作为非均相OER电催化剂基础研究的一个极具前景的平台,可用以深入探究活性位点和反应机理。

背景介绍
OER是一种重要的电化学阳极反应,为产生燃料的阴极反应(如析氢反应和CO2还原反应)提供质子和电子。由于OER过程具有比较缓慢的反应动力学,因此会导致大量的过电位损失。为此,科研人员在开发高效、可规模化生产的OER电催化剂方面做出了巨大努力。目前已经证实,在碱性介质中,含Co、Fe或Ni的混合金属氧化物是高效的多相OER催化剂。然而,由于这些金属氧化物的非均相性质,使得研究和理解这些催化剂的基础性质和机理变得十分困难。
原子级分散催化剂,包括单原子催化剂和离散亚纳米团簇催化剂,是一类新兴的具有高原子效率的非均相电催化剂。这些催化剂具有均匀且定义明确的活性位点,为理解其机理提供了独特的机会。尽管最近报导了一些原子级分散的OER催化剂,但它们在OER过程中的活性位点结构仍不清楚。而且,作者近期的研究发现,由于原位催化剂转化,特别的单原子Co催化剂(Co–N–C)实际上是Co–Fe双原子催化剂(Co–Fe–N–C)。
在本文中,作者发现上述这种原位转化对于含Co、Fe和Ni的单原子预催化剂是非常普遍的,因此可以产生一系列的双原子催化剂。这些催化剂的结构通过X射线吸收光谱(XAS)进行表征,并辅以像差校正扫描透射电子显微镜分析。这种等结构和定义明确的催化剂为非均相OER催化剂的机理研究提供了一个分子框架。事实上,对这些催化剂的深入电化学动力学研究,揭示出普遍的双金属催化循环,但同时也具有某些取决于金属离子性质的特征。

图文解析

图1.双原子催化剂和单原子预催化剂的电化学OER性能:(a)单原子预催化剂(虚线)和双原子催化剂(实线)在1 M KOH(含各种金属杂质)中的LSV曲线;(b)对应的Tafel曲线,其中双原子催化剂为实心圆,单原子预催化剂为空心圆。
图2.Ni–Fe–N–C的Operando XAS研究:(a) Ni–N–C和Ni–Fe–N–C在各种条件下的Ni K-edge Operando EXAFS r空间光谱(无相位校正);(b) Ni–N–C和Ni–Fe–N–C在各种条件下与含有Ni(0), Ni(II)和Ni(III)的Ni参比化合物的Ni K-edge XANES光谱;(c) Ni–Fe–N–C在不同反应时间下的Fe K-edge Operando EXAFS r空间光谱(无相位校正);(d) Ni–Fe–N–C在不同反应时间下以及含Fe(0), Fe(II)和Fe(III)的Fe参比化合物的Fe K-edge XANES光谱;(e)从单原子Ni–N–C预催化剂中形成双原子Ni–Fe–N–C催化剂示意图。
图3.双原子结构演化与氧化态的变化:由(a) Co基和(b) Fe基单原子预催化剂形成双原子催化剂的过程,连接到芳香环的虚线键表示扩展的N掺杂碳层;Co–N–C, Co–Ni–N–C (c), Co–Co–N–C (d)以及含Co(0), Co(II)和Co(III)的钴参比化合物在各种条件下的Co K-edge XANES光谱;Fe–N–C, Fe–Ni–N–C (e), Fe–Co–N–C (f)以及含Fe(0), Fe(II)和Fe(III)的Fe参比化合物在各种条件下的Fe K-edge XANES光谱。
图4.Ni–Fe–N–C的Operando HERFD–XAS测试:(a) Ni–Fe–N–C的Operando Ni K-edge HERFD–XAS光谱;(b) Ni–Fe–N–C在不同条件下,Ni K-edge HERFD–XAS在8,332 eV至8,337 eV前边缘区域的积分面积;(c) Ni–Fe–N–C在不同活化时间的Operando Fe K-edge HERFD–XAS光谱;(d)由HERFD–XAS测试出Ni–Fe–N–C中的Fe/Ni比;(e) Ni–Fe–N–C, Fe(NO3)3, FeOOH和NiFeOOH的Eg和T2g能级,以及配体场裂解能。
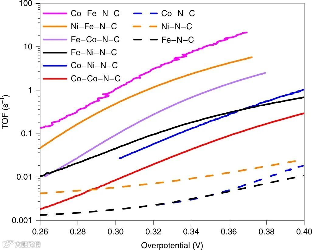
图5.不同催化剂的电位相关性TOFs:催化剂在无Fe的1 M KOH介质中,由第一圈LSV曲线获得的单原子催化剂活性。
图6.双原子催化剂可能优先发生的OER反应机理:(a) Ni–Fe–N–C;(b) Fe–Ni–N–C;(c) Fe–Co–N–C。其中,S0表示初始状态,S1为OER开始前的状态,S2表示静止状态(RDS前),S3和S4分别代表RDS的可能产物和RDS后的推测形成物种。

总结与展望
综上所述,利用单原子预催化剂的原位电化学转化,本文开发出一种以氮掺杂碳为载体的双原子电催化剂的通用合成方法。该方法提供了六种类似的含Co、Fe或Ni的双金属催化剂,这些催化剂的原子分散性由原子分辨TEM和operando XAS证实。在碱性介质中,Co–Fe–N–C和Ni–Fe–N–C催化剂的TOF值高于目前报导其它OER催化剂的TOF值。这些双原子催化剂中活性中心的分子性质有助于利用XAS和电化学动力学测试数据推断其反应机理。在所有催化剂上,最合理的O–O键形成步骤是OH-对M(IV)=O单元的亲核攻击。然而,根据金属离子的性质和它们的配位环境,以及M的特性不同,在每一步中转移的质子和电子的数量以及OH-的来源也会有所不同,这些微妙的不同之处源于不同金属离子的不同氧化还原电位和Lewis酸度。与单原子催化剂相比,双原子催化剂具有更高的活性。该结果不仅为混合金属氧化物OER催化剂的机理研究提供了蓝图,而且该工作还开发出一种分子定义明确且含有高丰度元素的OER电催化剂。

文献来源
Lichen Bai, Chia-Shuo Hsu, Duncan T. L. Alexander, Hao Ming Chen, Xile Hu. Double-atom catalysts as a molecular platform for heterogeneous oxygen evolution electrocatalysis. Nature Energy. 2021. DOI: 10.1038/s41560-021-00925-3.
文献链接:https://doi.org/10.1038/s41560-021-00925-3
声明
本文仅供科研分享,不做盈利使用,如有侵权,请联系后台小编删除

“邃瞳科学云”直播服务
“邃瞳科学云"平台正在收集、整理各类学术会议信息,欢迎学会、期刊、会议组织方择优在邃瞳平台上进行线上直播,希望藉此帮助广大科研人员跨越时空的限制,实现自由、畅通地交流互动。欢迎老师同学们提供会议信息(会有礼品赠送),学会、期刊、会议组织方商谈合作,均请联系翟女士:18612651915(微信同)。
扫描二维码下载
邃瞳科学云APP

