
01
嘉宾简介
罗三中,清华大学化学系教授、博士生导师,清华大学化学系副主任,清华大学基础分子科学中心主任。2005年获中国科学院化学研究所博士学位。2004-2005年在美国Ohio州立大学交换学生,从事糖化学生物学研究。2009年1月-9月美国Stanford大学短期访问学者,从事过渡金属催化研究。2005-2017年在中国科学院化学研究所从事独立科研工作,先后任助理研究员、副研究员、研究员和课题组长。2017年8月起到清华大学工作。2010获国家杰出青年基金资助; 2012年入选中组部万人计划青年拔尖人才;2014年获中国青年五四奖章;2016年获中国化学会手性青年化学奖;2017年获中国化学会物理有机青年奖;2017年入选科技部中青年创新领军人才;2018年入选万人计划领军人才。任中国化学会物理有机专业委员会副主任、有机化学学科委员会委员、光化学专业委员会委员、均相催化专业委员会委员等。主要研究方向包括:仿生(不对称)小分子催化合成、物理有机化学、超分子化学和功能分子设计合成。
02
报告内容
背景
学习和超越自然一直是很有吸引力的目标。自然界,尤其是生命体中发生的各种化学过程,都有许多可以借鉴的地方。生命体中起催化作用的分子主要是酶,它们多数是分子量较大的蛋白质/核酸,但是其催化活性中心只占结构中很小的一部分。直接使用酶作为反应催化剂存在许多限制,考虑到酶较易失活,一般在比较温和的条件下才可以发挥催化作用,难以适应一些反应的苛刻条件。解决这个问题大概有两种思路:其一是对酶进行改造,使其适应更苛刻的环境(2018年诺贝尔奖:酶的定向进化),其二是模拟酶活性中心的功能实现催化反应(2021年诺贝尔奖:不对称有机小分子催化)。本次讲座罗老师主要介绍了课题组围绕仿生有机小分子催化相关的研究进展:醌催化的绿色氧化。
摘要
本次讲座主要介绍了Luo group的两项工作。
1. 受到生物体系中醌类辅酶促进氧化还原反应的启发,开发了一种邻醌型催化剂,实现了以氧气为氧化剂的有机胺的催化氧化。
2. 受稀土-醌酶的启发,Luo Group开发了La(Ⅲ)-醌-碘离子协同催化体系,实现了醇的高效氧化。
一个仿生有机小分子催化剂的诞生
1. 邻醌类催化剂促进胺类氧化体系的开发
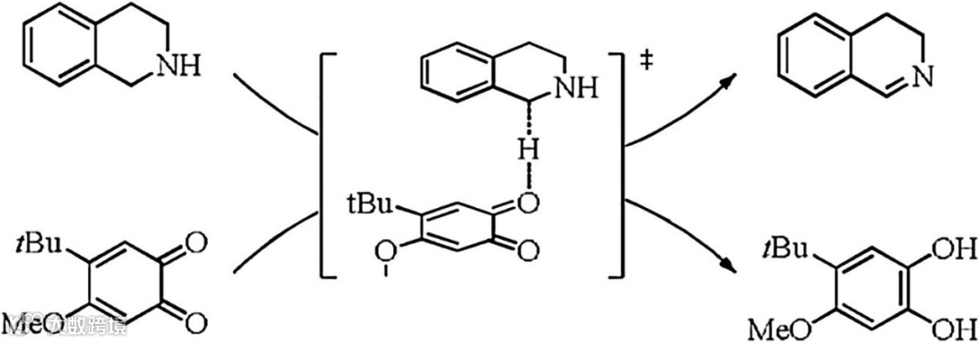
生命体系中通常会发生酶促(醌作为关键的活性中心)的伯胺氧化反应,而不易发生类似的仲胺和叔胺的氧化反应。鉴于此,学界认为小分子醌类促进的氧化反应应当具有类似的反应性。有趣的是,Luo Group发现邻醌催化剂不仅能够实现伯胺的催化氧化,而且也能够有效催化仲胺和叔胺的氧化;并且可以广泛适用于各种有机胺的氧化(从链状到环状,甚至可促进肼类物质的氧化反应,图1)。这一发现不仅打破了之前对醌催化氧化反应的思维定势,也更新了人们对有机醌类催化氧化机制的认知。
图1 所用的醌催化剂及其涉及的反应产物范围
机理研究表明该体系中伯胺的氧化与叔胺或季胺的氧化经历了不同的路径:前者经历1,5-H迁移反应,再发生转氨化反应生成产物;而后者采取直接在底物和催化剂之间进行H转移的反应过程。该机理也进一步揭示了前述对醌催化效率劣于邻醌的原因——对醌产生的反应中间体中含有稳定的分子内氢键,因而不易发生相应的H迁移;而邻醌产生的中间体则是有利于H迁移步骤的发生。上述催化体系的机制研究也为阐释生命体系中的一些醌类辅酶采取对醌而非邻醌骨架提供了新的思路。
图2 对伯胺和叔胺或季胺分别的氧化机理
1. La(Ⅲ)-邻醌协同催化醇的氧化
Luo Group还发现发现前述的醌催化剂也可催化醇氧化为醛反应,但需要加入NiI2,且产率不佳,但是对该反应的机理研究也一直缺少清晰的认识。受2011年发现的温泉细菌中含镧酶的启发,Luo Group发现将前述的金属离子替换为镧系元素离子能够极大的提高氧气作为终端氧化剂条件下的醇的催化氧化反应的效率,其中La元素最佳。LaI3与醌催化剂的共存体系对苯甲醇的氧化效率可达80%以上,远超传统Cu(Ⅰ)类催化剂40%左右(图3)。
图3 邻醌-LaI3体系催化醇氧化反应
实验结果表明在该反应中除醌催化剂、La(Ⅲ)与碘离子三者缺一不可(图4)。通过对深入机制的研究发现邻醌负离子自由基与La(Ⅲ)的络合物是反应的关键中间体,反应过程中O-H/C-H通过耦合转移的方式实现醇的脱氢(图5)。值得注意的是,该反应中La金属中心并未参与氧化还原过程,催化过程基本在具有氧化还原活性的醌配体上发生。这一体系不仅为醇的氧化提供了一种绿色高效的方法,也为后续进一步认识和理解镧酶的作用机制提供了研究平台。
图4 反应的具体条件、动力学测试结果及对照试验
图5 反应的可能机制
03
问答环节
问1:讲座中提到了稀土离子为中心原子的配位结构,配位数是4,稀土元素的配位数是否一般会更大?
答1:表征出的晶体结构的确有四个醌参与配位,实验现象表示1:2的摩尔比效果最好,计算出的理论摩尔比在1:2和1:3之间。
问2:(1)对于问题1,能够分离表征的晶体结构很可能不是反应的中间体,是否可以考虑使过渡态不轻易淬灭,进而增强反应活性?
(2)是否尝试过将醌-稀土体系作用于更广泛的底物?
答2:(1)已经有这样的设计。
(2)正在尝试用烷烃作为底物。
问3:氧化的对象有许多是苄基胺,是否会存在π-π堆叠效应?
答3:有可能,但是目前没有过于关注。
问4:工作的内容是enzyme inspired catalyst design,有没有可能实现chemical inspired enzyme design?
答4:已经有了这样的工作,以已知的反应为模版设计并得到了酶。
问5:一些反应有LaI3这类无机盐的参与,考虑到无机催化剂许多是以非均相的形式发挥作用,是否关注和研究过后续相关物种是怎样演化的?
答5:考虑到反应中的La元素应当没有参与反应(氧化还原活性不强),没有过多关注。
04
写在最后
关于机理研究:反应机理是人们从经验出发理性理解和预测反应发生的重要手段,正是对反应机理的推测和研究,使得我们在面对新的需要时能够充分利用已有的经验,更有目的性和方向性地选择合适的条件,进而可以更系统性地开展工作。
关于仿生:仿生的研究思路不仅仅可以让我们从生命体化学过程的机制中汲取灵感,也可以让我们更深入地理解生命体系。
05
主要参考文献
1. Luo Group网站:http://www.luoszgroup.com:8080/index.html
2. Ruipu, Zhang, Sanzhong Luo. (2018). Bio-inspired quinone catalysis. Chinese Chemical Letters, 29, 1193–1200.
3. Ruipu Zhang, Long Zhang, Ming-Tian Zhang, Sanzhong Luo. (2021) A Bio-inspired Lanthanum-ortho Quinone Catalyst for Aerobic Oxidation of Alcohol.
DOI: 10.26434/chemrxiv.13299785.v1
再次感谢罗三中老师的精彩分享!
供稿 | 王季桐 杨子毅
摄影 | 钟坦霖
审核 | 冯薇而 章名田
声明
本文仅供科研分享,不做盈利使用,如有侵权,请联系后台小编删除

“邃瞳科学云”直播服务
“邃瞳科学云"平台正在收集、整理各类学术会议信息,欢迎学会、期刊、会议组织方择优在邃瞳平台上进行线上直播,希望藉此帮助广大科研人员跨越时空的限制,实现自由、畅通地交流互动。欢迎老师同学们提供会议信息(会有礼品赠送),学会、期刊、会议组织方商谈合作,均请联系翟女士:18612651915(微信同)。
投稿、荐稿、爆料:Editor@scisight.cn
扫描二维码下载
邃瞳科学云APP

