
第一作者:Cheng-Xia Chen
通讯作者:陈逸凡,马胜前
通讯单位:海南大学,北德克萨斯大学
论文DOI:https://doi.org/10.1002/anie.202114071

全文速览
钛金属有机骨架(Ti-MOFs)作为一种有前景的人工光催化剂,因为其类似于TiO2的光氧化还原活性和连接体良好的光学响应性,在太阳能转换领域显示出巨大的潜力。尽管科学家已经开发了一系列具有高光催化活性的Ti-MOFs,但它们的太阳能转换性能仍然很差。在此,作者利用共价整合策略构建了一系列多元Ti-MOF/COF杂化材料PdTCPP⸦PCN-415(NH2)/TpPa(复合材料1、2和3),其在光催化制H2中,具有优异的可见光利用率、合适的带隙和高表面积。值得注意的是,所得复合材料显示出显著增强的可见光驱动的光催化析氢性能,尤其是复合材料2的最大析氢速率为13.98 mmol g-1h-1(转换频率(TOF)= 227 h-1),远高于原型对应物PdTCPP⸦PCN-415(NH2 ) (0.21 mmol g-1h-1) 和TpPa (6.51 mmol g-1h-1)。因此,该工作提出了一种新方法来开发用于光催化H2析出反应及其他反应的高效光催化剂。

背景介绍
将太阳能转换为可持续和可再生能源是解决全球能源危机和环境污染问题最有前途的解决方案之一。其中,光催化分解水制氢已成为人类社会获得清洁能源的目标途径。尽管学术界已经付出了大量努力来开发光催化剂,包括分子光催化剂、有机和无机半导体、及其复合材料以实现有效的析氢,但实现有效的可见光转换,光生电子(e)与空穴(h)的快速分离,以及可回收性仍然具有挑战性。二氧化钛(TiO2)因其高效、稳定、高丰度和低毒性而被广泛用于水分解反应产生氢气。然而,因为其可见光响应性差,有害的光生e-h复合,固有的宽带隙(~ 3.2 eV)和在纳米尺寸制备过程中容易聚集,所以严重阻碍了其实际应用。鉴于可见光约占太阳能的42-43%,将光吸收扩展到可见光区域将显著提高太阳能捕获能力,从而提供高光催化活性。此外,基于TiO2构建多孔半导体可以促进光生e-h分离,因为它具有高表面积和孔隙率。
由钛氧簇和有机配体配位构建的钛金属有机骨架(Ti-MOFs),作为一类多孔半导体,由于其高表面积、优异的化学稳定性和功能可调性在光催化方面显示出巨大的潜力。作为TiO2类似物的Ti-oxo团簇可以赋予Ti-MOFs光催化活性;高结晶性可以使光敏剂和催化位点配置在微晶格中,有效抑制光生e-h的复合;此外,高的表面积和孔隙率促进了底物/产物的运输和进入活性位点,赋予Ti-MOF优异的光催化活性和良好的可回收性。更重要的是,可以通过改变有机配体的光活性来微调光学响应性和带隙。然而,目前Ti-MOFs的光催化析氢性能仍然很差,因为其低可见光利用。
提高Ti-MOFs光催化活性的一个关键是扩大可见光响应范围,这可以通过引入适当的官能团如金属卟啉或与其他功能材料的杂化来实现多功能化,包括共价有机框架(COF)、金属纳米粒子和有机染料。这些方法可以通过协同效应赋予所得复合材料比其母体Ti-MOF更大的光催化特性。作为一种众所周知的人工捕光分子,金属卟啉,如Pd-、Pt-和Rh-卟啉,由于以下优点而被广泛研究以模拟天然光催化作用:(i)卟啉的能量位置可以促进可见光照射下光激发载流子的产生;(ii)卟啉中多锚的共轭大环结构可以促进光催化过程中的电荷分离和电子迁移;(iii)由四个四吡咯部分组成的卟啉环可以协调和稳定不同的金属离子,作为捕光中心或活性催化中心。因此,将金属卟啉配体引入MOFs以通过配位键构建多元Ti-MOFs (MTV-Ti-MOFs)将产生有效的光催化转化性能。最近,COFs,尤其是亚胺基COFs,作为一类由共价键构建的新型结晶多孔材料,由于具有优异的光学响应、良好的结晶度、高孔隙率和可调的功能化,在光催化方面表现出显著的潜力。其良好堆积的π-π会导致良好的光导电性或电荷迁移率,从而利用电子相互作用以增强电荷转移能力。此外,基于亚胺的COF通常包含均匀分布的杂原子(N),这可以使它们具有锚定和分散金属纳米颗粒的能力。总而言之,作者预计将金属卟啉功能MTV-Ti-MOF与亚胺基COF相结合,不仅可以继承母体物种的特性,还可以提供单个原始物种难以实现的优异光催化。

图文解析

图1. MTV-Ti-MOFs/COFs 的合成示意图。
图2. (a) PdTCPP⸦PCN-415(NH2)、TpPa和复合物2的N2吸附等温线;PdTCPP⸦PCN-415(NH2)(b)、TpPa(c)和复合物2(d)的SEM图像;(e) Pt@复合物2的HTEM图像和C、N、O、Ti、Zr、Pd和Pt的元素mapping图片。
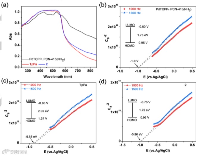
图3. (a) PdTCPP⸦PCN-415(NH2)、TpPa和复合物2的固体漫反射光谱;(b、c和d) PdTCPP⸦PCN-415(NH2)、TpPa和复合材料2的Mott-Schottky曲线,插图为HOMO、LUMO和带隙。
图4.(a) PdTCPP⸦PCN-415(NH2)、TpPa和负载1.2 wt.% Pt的复合材料的光催化析氢活性;(b)复合材料2的光催化析氢回收率。
图5. (a) 激发波长为450 nm的光致发光光谱;(b)在最大光催化H2条件下λ = 405, 450, and 515 nm,Pt@复合物2的表观量子产率;(c, d) PdTCPP⸦PCN-415(NH2)的分子轨道图。
图6.复合物2的光催化析氢机理示意图。

总结与展望
基于上述结果,作者已成功合成了一系列共价连接的MTV-Ti-MOFs/COFs杂化材料,其具有优异的可见光响应、良好匹配的带隙以及有效的e-h分离,可用于光催化制氢。结果表明,杂化材料2具有优异的光催化析氢性能,辐照120小时后TON值为24508(TOF = 204 h-1),远高于原型PdTCPP⸦PCN-415(NH2) 和TpPa对应物,证实了共价连接两个不同物种的有效性。此外,实验和理论计算表明,PdTCPP⸦PCN-415(NH2)和TpPa优异的可见光利用率和良好匹配的带隙导致共价集成材料具有极好的光催化析氢性能。这项工作为构建MTV-Ti-MOFs/COFs杂化材料以实现有效的光催化制氢提供了一种新的共价整合策略,从而促进了其他MTV-MOFs/COFs杂化材料的设计,以应用于光催化及其他领域。
声明
本文仅供科研分享,不做盈利使用,如有侵权,请联系后台小编删除

“邃瞳科学云”直播服务
“邃瞳科学云"平台正在收集、整理各类学术会议信息,欢迎学会、期刊、会议组织方择优在邃瞳平台上进行线上直播,希望藉此帮助广大科研人员跨越时空的限制,实现自由、畅通地交流互动。欢迎老师同学们提供会议信息(会有礼品赠送),学会、期刊、会议组织方商谈合作,均请联系翟女士:18612651915(微信同)。
扫描二维码下载
邃瞳科学云APP

