
第一作者:Juan Wang、Hao Yang、Fan Li
通讯作者:黄小青教授、徐勇教授
通讯单位:厦门大学、广东工业大学
DOI: 10.1126/sciadv.abl9271

全文速览
开发出稳定且高效的整体水裂解技术,对于实现可持续的制氢目标是非常理想的。然而,由于酸性介质下电催化剂在析氧过程中会发生快速失活,使得上述目标的实现仍然具有极大的挑战性。在本文中,作者成功开发出一种具有间隙C的单位点Pt掺杂RuO2空心纳米球(SS Pt-RuO2 HNSs),并将其作为高活性和稳定性的电催化剂用于0.5 M H2SO4介质中的整体水裂解反应,其性能优于此前报导的绝大多数催化剂。更重要的是,SS Pt-RuO2 HNSs在聚合物电解质膜电解槽中表现出优异的稳定性,在100 mA cm−2电流密度下可以稳定连续运行100小时。进一步的详细实验研究表明,间隙C可以延长Ru-O和Pt-O键,同时SS Pt的存在可以改变RuO2的电子性质,并通过降低能垒和增强*O物种的解离能以提高OER活性。

背景介绍
电催化水裂解过程同步耦合着阴极析氢反应(HER)和阳极析氧反应(OER),被广泛认为是一种重要的制氢和间歇能量转化过程。通常,电催化水裂解可以在酸性、碱性和中性条件下进行,因此其性能强烈依赖于电催化剂。与碱性条件下的水裂解过程相比,酸性介质中的水裂解反应是聚合物电解质膜(PEM)电解槽的关键,其具有气体纯度高、质子电导率高、气体交叉小等优点,因此受到科研人员的广泛关注。然而,由于缓慢的OER反应动力学以及严苛的酸性与氧化环境,使得在酸性介质中实现高效的水裂解反应仍然是一个挑战。因此,开发用于酸性介质中水裂解反应的优异电催化剂非常重要。
尽管RuO2和IrO2催化剂在酸性OER中均得到广泛的应用,但与IrO2相比,RuO2具有价格更便宜、活性更高等优点,因此被公认为是一种极具前景的酸性OER催化剂。然而,RuO2在高电位的酸性介质中表现出较差的稳定性。在过去的几十年里,为了提高RuO2于酸性介质中催化OER过程的稳定性,科研人员对其进行了大量的研究。例如,在RuO2空心多孔多面体中掺杂Cu可以显著改善OER性能,并且催化剂在10000次循环伏安(CV)循环和8 h计时电位测试中表现出优异的稳定性。此外,Ru@IrOx异质结构在应变Ru核和IrOx壳之间具有强电荷再分配作用,因此可作为稳定的催化剂用于酸性OER过程。尽管目前已取得较大进展,但RuO2催化剂在酸性条件下的稳定性仍远不能满足实际应用的要求。因此,开发稳定的RuO2基催化剂用于酸性OER过程具有重要意义。
在本文中,作者开发出一种单位点Pt掺杂RuO2空心纳米球(SS Pt-RuO2 HNSs)作为高性能的电催化剂用于酸性介质中的整体水裂解反应,该催化剂结构的C被捕获于间隙中,同时Pt以单位点的形式取代部分Ru位点。特别地,当SS Pt-RuO2 HNSs用作0.5 M H2SO4介质中的水裂解催化剂时,其仅需1.49, 1.59, 1.65 V的电池电压,即可分别达到10, 50, 100 mAcm−2的电流密度,性能优于此前绝大多数报导的整体水裂解催化剂。详细的表征表明,间隙C的存在可以延长SS Pt-RuO2 HNSs中的Ru-O和Pt-O键,并且SS Pt的引入可以强烈地影响RuO2的电子性质。密度泛函理论(DFT)计算表明,含SS Pt的RuO2可以显著提高稳定性并降低能垒,从而提高OER活性。该工作不仅为通过掺杂SS Pt对RuO2的改性提供一种简便策略,而且为整体水裂解反应的工业化应用提供了新思路。

图文解析
图1. 形貌与结构表征:SS Pt-RuO2 HNSs的(a)HAADF-STEM图,(b)TEM图,(c)XRD衍射;(d)高分辨率HAADF-STEM图;(e)从图d红色矩形框中进一步得出的高分辨率HAADF-STEM图;SS Pt-RuO2 HNSs的(f)FFT衍射,(g)晶体结构模型;(h-j)图e中白线高亮部分的线扫描强度剖面;(k) SS Pt-RuO2HNSs的STEM图与STEM-EDS元素映射图。
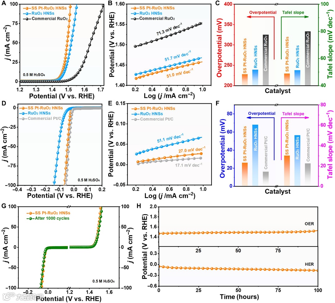
图2. 电催化OER与HER性能测试:SS Pt-RuO2 HNS, RuO2 HNSs和商业RuO2的(a) OER极化曲线,(b)对应的Tafel曲线;(c)不同催化剂在10 mA cm−2电流密度下的过电位与Tafel斜率对比;SS Pt-RuO2 HNS, RuO2 HNSs和商业Pt/C的(d) HER极化曲线,(e)对应的Tafel曲线;(f)不同催化剂在10 mA cm−2电流密度下的过电位与Tafel斜率对比;(g)SS Pt-RuO2HNS在1000 CV循环前后的OER和HER极化曲线;(h)在0.5 M H2SO4溶液中,SS Pt-RuO2 HNS于10 mA cm−2电流密度下用于OER和HER的计时电位测试。
图3. 整体水裂解反应催化性能:(a)采用SS Pt-RuO2 HNSs同时作为阳极与阴极时的两电极电解槽示意图;(b) SS Pt-RuO2 HNSs||SS Pt-RuO2 HNSs和商业RuO2||Pt/C在0.5 M H2SO4溶液中用于水裂解反应的极化曲线;(c) SS Pt-RuO2 HNSs||SS Pt-RuO2 HNSs和商业RuO2||Pt/C在10 mA cm−2电流密度下的计时电位测试;(d)SS Pt-RuO2 HNSs与此前报导的其它催化剂在酸性介质中用于水裂解反应的电压与稳定性对比;(e)PEM电解槽示意图;(f) SS Pt-RuO2 HNSs||SS Pt-RuO2 HNSs在PEM电解槽中于10 mA cm−2电流密度下的计时电位测试。
图4. 催化剂的结构分析:SS Pt-RuO2 HNSs, PtO2, Pt箔的(a)Pt L3-edge XANES光谱,(b)Pt L3-edge EXAFS光谱;(c)SS Pt-RuO2 HNSs, SeO2, Se网的Se K-edge XANES光谱;SS Pt-RuO2 HNSs, 商业RuO2, Ru箔的(d)Ru K-edge XANES光谱,(e)Ru K-edge EXAFS光谱;(f)SS Pt-RuO2 HNSs和商业RuO2的O K-edge XANES光谱;(g)SS Pt-RuO2 HNSs和(h)商业RuO2的小波变换Ru K-edge EXAFS结果;(i)SS Pt-RuO2 HNSs的结构示意图。
图5.密度泛函理论计算:(a)*O在RuO2和Pt-RuO2上的解离能计算;(b)RuO2和SS Pt-RuO2 HNSs在0和1.23 V外加电位时用于OER过程的自由能;(c)Pt-RuO2中原子的Bader电荷数,其中负值表示失去电子,而正值则表示获得电子;(d) Pt-RuO2中表明Ru原子的4d轨道PDOS;(e)SS Pt-RuO2 HNSs用于酸性介质中OER过程的机理示意图。

总结与展望
综上所述,本文通过在RuO2中掺杂SS Pt,成功地制备出一种超稳定的酸性水裂解电催化剂。所制备出的SS Pt-RuO2 HNSs不仅表现出优异的OER和HER活性及稳定性,而且在0.5 M H2SO4溶液中表现出优异的整体水裂解性能。测试表明,SS Pt-RuO2 HNSs仅需1.49, 1.59, 1.65V的电池电压即可分别达到10, 50, 100 mA cm−2的电流密度,性能优于此前绝大多数报导的催化剂。在10 mA cm−2的电流密度下连续运行100 h,SS Pt-RuO2 HNSs表现出卓越的稳定性。此外,即便在PEM电解槽中,SS Pt-RuO2 HNSs也可在100 mA cm−2电流密度下稳定运行100 h。详细的实验表明,间隙C的存在可以延长Ru-O和Pt-O键,同时引入的SS Pt可以显著地影响RuO2电子相互作用。理论计算表明,这种强协同作用可通过降低能垒和提高*O物种的解离能提高OER活性。该工作不仅为通过掺杂SS Pt对RuO2的改性提供一种简便策略,而且为整体水裂解反应的工业化应用提供了新思路。

文献来源
Juan Wang, Hao Yang, Fan Li, Leigang Li, Jianbo Wu, Shangheng Liu,Tao Cheng, Yong Xu, Qi Shao, Xiaoqing Huang. Single-site Pt-doped RuO2 hollow nanospheres with interstitial C for high-performance acidic overall water splitting. Science Advances. 2022. DOI: 10.1126/sciadv.abl9271.
文献链接:https://doi.org/10.1126/sciadv.abl9271
声明
本文仅供科研分享,不做盈利使用,如有侵权,请联系后台小编删除
“邃瞳科学云”直播服务
“邃瞳科学云"平台正在收集、整理各类学术会议信息,欢迎学会、期刊、会议组织方择优在邃瞳平台上进行线上直播,希望藉此帮助广大科研人员跨越时空的限制,实现自由、畅通地交流互动。欢迎老师同学们提供会议信息(会有礼品赠送),学会、期刊、会议组织方商谈合作,均请联系翟女士:18612651915(微信同)。
投稿、荐稿、爆料:Editor@scisight.cn
扫描二维码下载
邃瞳科学云APP

