背景介绍
当今社会不可再生能源的大量消耗带来了严重的能源危机和环境问题。为了满足人类经济和能源环境的可持续发展,科研工作者付出了巨大的努力来研究环境友好型的新能源技术。其中,一个极具前景的新能源技术是通过电化学方法,将大气中的小的单质分子(如N2)转化为高附加值的化合物,从而实现高效的能量转换。电催化剂大大地提高了该过程的转化速率和选择性,因此在新能源转化技术中发挥着关键性的作用。目前,设计和开发具有高催化活性、优异的选择性和稳定性的低成本电催化剂仍然是一个巨大的挑战。本文中,我们将 3d、4d 和 5d 过渡金属原子嵌入 PP 单层中形成 MPP 单层材料作为 NRR 催化剂,并采用第一性原理探究了它们的电催化性能。
研究方法
本论文的所有计算都是使用维也纳从头算模拟软件包(VASP)完成的。所有计算均选择含GGA的Perdew-Burke-Ernzerhof(PBE)函数来描述交换相关作用,采用带有D3校正的自旋极化DFT方法来描述范德华相互作用,并采用PAW来展开体系的波函数。平面波的截断能为450 eV,结构优化时的力判据为0.02 eV/Å。对于布里渊区的采样,采用以Γ为中心的4×4×1 k点的Monkhorst-Pack网格;为了使z方向上的周期单元之间的相互作用最小化,使用了大于15 Å的真空层。
成果简介
将3d、4d和5d过渡金属原子嵌入卟啉单层中构建MPP合成氨单原子电催化剂,并使用高通量四步筛选法从中筛选具有优异催化性能的NRR电催化剂,最终得到了四种新型的金属卟啉单原子催化剂候选物ZrPP、NbPP、HfPP和RePP,它们表现出低的负起始电位、高稳定性和高选择性。通过全反应路径搜索发现,ZrPP、NbPP、HfPP和RePP催化剂的最大吉布斯自由能变化分别为0.38、0.41、0.53和0.53 eV,表明它们具有高催化活性。对它们的能带结构、PDOS和电荷分析表明,被吸附的氮气和MPP催化剂之间有明显的轨道相互作用和电荷转移,解释了它们具有高催化活性的原因。该工作为推进氮气向氨气的电化学转化提供了新的机会,并为实验合成可用于NRR的电催化剂提供了新的见解。
图文导读

图1 部分1表示将3d、4d和5d过渡金属嵌入PP单层中合成NRR的电催化剂MPP。部分2表示氮气以端位和侧位构型吸附在MPP催化剂上。部分3表示在MPP催化剂上的远端、交替、连续和酶催四种NRR反应路径。图中分别用青色、粉色、灰色和绿色的小球代表金属M、N、C和H原子。
将 3d、4d 和 5d 共 30 种 d 区过渡金属原子嵌入 PP 单层中构建 NRR 电催化剂材料 MPP,其中每个过渡金属原子与周围的四个氮原子配位,形成M@N4 金属配合物,并且全面搜索了 NRR 的反应路径。

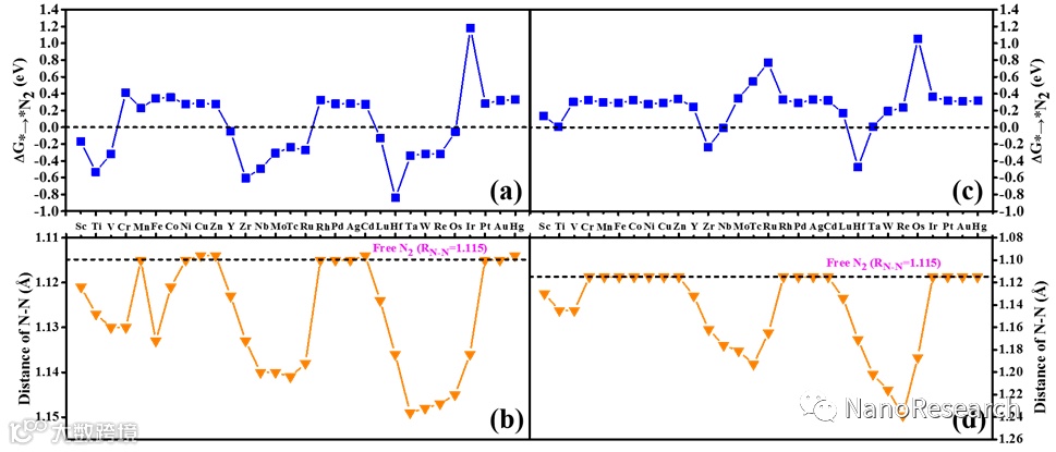
图2 氮气以 (a) 端位 (b) 侧位构型吸附在30种MPP催化剂上的吉布斯自由能变化 ΔG*N2,以及N2-MPP的 (c) 端位或 (d) 侧位吸附构型中的 N-N 键长。

图3 (a) *N2和质子电子对(H+ + e−)反应生成 *N2H 的吉布斯自由能变化∆G*N2→*N2H。(b) *NH2和质子电子对(H+ + e−)反应生成 *NH3 的吉布斯自由能变化 ∆G*NH2→*NH3。

图4 在 MPP(M = Zr、Nb、Mo、Tc、Hf、W、Re和Os)材料上发生 NRR和HER 的起始电位。虚线表示
。位于虚线下的材料对于NRR比HER更有利。
使用四步筛选法(ΔG*N2 < 0 eV, ΔG*N2→*N2H < 0.8 eV, ΔG*NH2→*NH3 < 0.8 eV,
)对它们的 NRR 电催化性能进行了高通量筛选,获得了四种有希望的 NRR 电催化剂:ZrPP、NbPP、HfPP 和 RePP。

图5 在零电位和起始电位下在 (a) ZrPP上通过酶催-连续杂化路径,(b) NbPP上通过连续路径,(c) HfPP上通过酶催-连续杂化路径以及 (d) RePP上通过远端路径发生 NRR 的吉布斯自由能图。与势能决定步骤有关的两个吉布斯自由能值用红色突出显示。
计算了每种反应中间体的吉布斯自由能。发现ZrPP、NbPP、HfPP和RePP催化剂的最大吉布斯自由能变化分别为0.38、0.41、0.53和0.53 eV,表明它们具有高催化活性。

图6 (a), (c), (e), (g) 分别是ZrPP、NbPP、HfPP、RePP催化剂吸附氮气之前的PDOS; (b), (d), (f), (h) 分别是ZrPP、NbPP、HfPP、RePP催化剂吸附氮气之后的PDOS。其中,中心金属原子M(M = Zr、Nb、Hf和Re)的d轨道用灰色区域表示,被吸附的氮气的N-2p轨道用红色曲线表示。

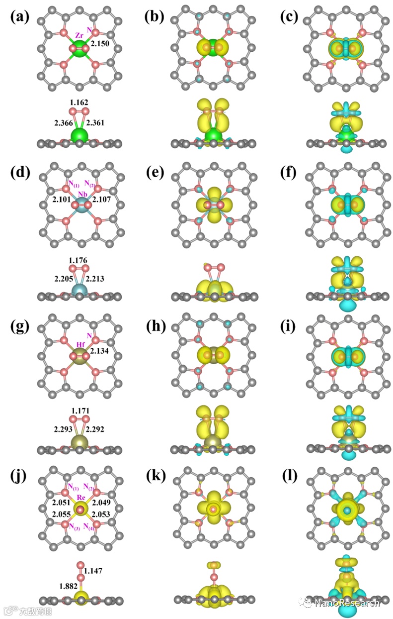
图7 (a), (d), (g), (j) 分别为N2-MPP (M=Zr, Nb, Hf 及 Re) 的优化结构。(b), (e), (h), (k) 分别为N2-MPP (M=Zr, Nb, Hf 及 Re) 的自旋密度图。(c), (f), (i), (l) 分别分别为N2-MPP (M=Zr, Nb, Hf 及 Re) 的电荷密度差分图。图中给出了一些主要的键长(单位:Å),等值面设置为0.002 e /Å3。电荷密度的累积区和抵消区分别以黄色和青色表示。

图8 (a) NxHy-MPP(M = Zr、Nb、Hf和Re)系统三个部分的划分:MPP除去MN4的基底(M = Zr、Nb、Hf和Re,N4 = 四个周围的氮原子)(部分1),MN4(部分2)和吸附的 NxHy物质(部分3)。在 (b) ZrPP、(c) NbPP、(d) HfPP、(e) RePP催化剂上的 Bader 电荷变化图。
对这些催化过程中间物的能带结构、PDOS和电荷分析表明,MPP催化剂与被吸附分子之间存在着显著的轨道相互作用和电荷转移。
作者简介
华中科技大学化学院杨利明课题组主要从事先进功能材料的设计和电催化反应机理的研究。提出了一套普适性的三明治夹心组装新方案,能够有效地用于各种非化学计量单元的组装和稳定化。发展了逐级高通量筛选方法,能够高效地筛选出面向能源小分子催化转化的高效催化剂材料并从分子水平揭示微观反应机理。基于化学直觉、结构搜索、第一性原理计算和分子动力学模拟相结合的方法预测了一系列结构独特、性质奇异的高度稳定的新型二维纳米体系,其中2015年预测的两种二维材料Cu2Si单层和Au单层被实验成功制备出来。迄今在J. Am. Chem. Soc., Angew. Chem. Int. Ed., Adv. Energy Mater.等国际著名SCI刊物上发表论文100多篇,论文被引用3000多次,相关研究工作被多家媒体作为新闻、科研亮点、封面文章和前沿文章报道。主持(含完成)国家自然科学基金面上项目3项,作为骨干成员参与国家重点研发计划2项,入选2014年Hanse-Wissenschafts-Kolleg (HWK) Fellowship, Institute for Advanced Study, Germany,入选2021 Emerging Investigators in Crystal Growth & Design。课题组长期招收硕士、博士和博士后,欢迎联系Lmyang@hust.edu.cn。
文章信息
Chun-Xiang Huang, Sheng-Yao Lv, Cong Li, Bin Peng, Guoliang Li & Li-Ming Yang. Single-atom catalysts based on two-dimensional metalloporphyrin monolayers for ammonia synthesis under ambient conditions. Nano Research https://doi.org/10.1007/s12274-021-4009-4.

识别二维码或点击左下角“阅读原文”可访问全文
声明
本文仅供科研分享,不做盈利使用,如有侵权,请联系后台小编删除
“邃瞳科学云”直播服务
“邃瞳科学云"平台正在收集、整理各类学术会议信息,欢迎学会、期刊、会议组织方择优在邃瞳平台上进行线上直播,希望藉此帮助广大科研人员跨越时空的限制,实现自由、畅通地交流互动。欢迎老师同学们提供会议信息(会有礼品赠送),学会、期刊、会议组织方商谈合作,均请联系翟女士:18612651915(微信同)。
投稿、荐稿、爆料:Editor@scisight.cn
扫描二维码下载
邃瞳科学云APP

