
电解水制氢在清洁能源系统中起着重要作用,但目前报道的非贵金属催化剂仍需与商用Pt/C, RuO2或其他电催化剂配对才能实现全解水。在同一介质中开发高活性、高稳定性的析氧反应(OER)和析氢反应(HER)双功能催化剂仍然是一个挑战。迄今为止,新兴的2D MXene由于其有趣的表面物理化学特性,在电催化领域得到了广泛的研究。然而其制备过程非常复杂和困难,而且由于其表面无序的封端基团(-OH/-F/-Cl),它们的本征电催化性能仍有待提高。
中科院上海硅酸盐研究所黄富强研究员与华东理工大学李永生教授联合报道了通过一步法制备得到的有序硫封端的MXene(Ta2CS2),不仅对传统的MXene制备工艺进行了优化,而且材料显示出优异的导电性和电化学活性,其室温下电导率是传统MXene(Ta4C3Tx)的22.48倍。在10 mA cm-2 的电流密度下,其OER和HER过电位分别为287 mV和105 mV,用作全解水仅需1.51 V的过电势,是一种十分优异的MXene基双功能催化剂。

图1 a) Ta2CS2的晶体结构图。b) Ta2CS2-E纳米片制备示意图。Ta2CS2的c) XRD图谱,d) TEM,和e) 球差TEM图。Ta2CS2-E的f) TEM,g) 高分辨率TEM,和h) 球差TEM图。

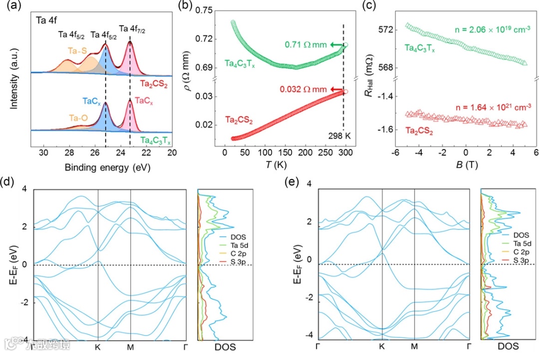
图2 a) Ta2CS2和Ta4C3Tx的Ta 4f光谱的高分辨率XPS。b) 分别研究了Ta2CS2和Ta4C3Tx的电阻率(ρ)和温度(T)之间的关系。c) Ta2CS2和Ta4C3Tx的霍尔电阻(RHall)的磁通量密度(B)依赖性。d-e) 电子能带结构和电子态密度 d)Ta2CS2和e)Ta2CS2-E。

图3 a)OER和HER的动力学(Tafel斜率)和活性(10 mA cm-2时的过电位)与最近报道的MXenes基电催化剂的比较。b) 双电极极化曲线。c) 电流密度为10 mA cm-2 在1.51 V下的Ta2CS2-E计时电流测试。d) 在10 mA cm-2下Ta2CS2-E的电池电压与最近报道的MXenes基双功能电催化剂的比较。
团队开发了一种表面工程方法来制备具有丰富活性中心和金属导电性的Ta2CS2-E应用于电催化全解水。与传统MXenes制备工艺不同,采用一步法直接制备硫封端的二维过渡金属碳化物,大大简化了制备过程。此外,避免了传统刻蚀法所带来的残留铝和无序的表面端基(-O、-F和-OH),它们在电化学应用中起着负面的作用。Ta2CS2在10 mA cm-2下表现出243 mV的OER和73 mV的HER双功能活性,这优于大多数MXenes基催化剂。采用Ta2CS2-E║Ta2CS2-E建造的全解水电解槽只需要1.51 V即可达到10 mA cm-2的电流密度,这有可能取代商用RuO2║Pt/C(1.64 V@10 mA cm-2)。此外,Ta2CS2-E║Ta2CS2-E电解槽在10 mA cm-2下通过了超过100小时的计时电流测试。该材料是迄今为止最好的MXenes基双功能电催化剂之一,在未来的电化学水裂解装置中具有巨大的应用潜力。
论文信息:
One-Step Construction of Ordered Sulfur-Terminated Tantalum Carbide MXene for Efficient Overall Water Splitting
Tong Wu, Xin Pang, Siwei Zhao, Shumao Xu, Zhanqiang Liu, Yongsheng Li*, Fuqiang Huang*
Small Structures
DOI: 10.1002/sstr.202100206
点击左下角「阅读原文」,查看该论文原文。
声明
本文仅供科研分享,不做盈利使用,如有侵权,请联系后台小编删除
“邃瞳科学云”直播服务
“邃瞳科学云"平台正在收集、整理各类学术会议信息,欢迎学会、期刊、会议组织方择优在邃瞳平台上进行线上直播,希望藉此帮助广大科研人员跨越时空的限制,实现自由、畅通地交流互动。欢迎老师同学们提供会议信息(会有礼品赠送),学会、期刊、会议组织方商谈合作,均请联系翟女士:18612651915(微信同)。
投稿、荐稿、爆料:Editor@scisight.cn
扫描二维码下载
邃瞳科学云APP

