背景介绍
在全球变暖、环境污染和能源安全等全球挑战下,开发可替代化石燃料的新能源对于应对不断增长的全球能源需求与面临的环境问题至关重要。高效的燃料电池和金属空气电池是目前最有前途的可持续能源转换技术,但这类能源技术一直受到阴极电化学氧还原反应 (ORR) 动力学缓慢的限制。虽然铂族金属 (PGM) 催化剂已成为 ORR 最有效的催化剂选择,但其高成本、材料稀缺性以及耐用性上的局限都促使开发高效稳定且低成本的非铂系电催化剂成为了当前的研究热点之一。目前,已经有许多非铂族金属催化剂被开发出来,包括非金属碳纳米结构,过渡金属合金,过渡金属氧化物,碳化物、硫化物、氮化物和单原子金属催化剂。其中,铁基材料由于地球丰度高和催化活性高,被认为是一种替代目前PGM 催化剂最有潜力的候选之一。然而,目前铁基催化剂的 ORR 性能仍然有限,主要是由于铁容易在酸性和碱性介质中析出从而大幅降低催化剂的活性与耐用性,因此开发出兼具活性与稳定性的铁基催化剂将在未来的应用具有极大地应用前景。
成果简介
在本工作中,昆明理工大学大学的胡觉教授,香港城市大学的梁國熙教授以及香港理工大学的黄勃龙教授课题组进行合作,首次合成报道了氮掺杂碳包覆的双金属Fe2Mo纳米颗粒(Fe2Mo/NC) 能够作为一种高效且超稳定的ORR电催化剂。与单金属 Fe/NC 和商业 Pt/C 催化剂相比,该工作合成的 Fe2Mo/NC 双金属催化剂的 ORR 催化活性和耐久性能够显着提高。在0.1 M KOH 溶液与0.5 M H2SO4 溶液中,ORR 催化活性的半波电位分别0.91 V 和 0.8 V,动力学电流密度分别为 82.28 mA/cm2(0.85 V) 和 37.62 mA/cm2(0.75 V),并且在即使在 10000 次循环后,也基本没有活性损失,具有出色的催化剂耐用性。与迄今为止报道的大多数高活性非PGM催化剂相比具有明显优势。密度泛函理论 (DFT) 计算证明了Fe2Mo高活性来源的在与其优化的电子结构,能够有效促进用于电子从电催化剂到吸附物的快速转移。此外,Fe-3d和Mo-4d轨道之间的d-d耦合能够使得催化剂在不同环境中保持稳定价态,从而实现优异的稳定性。这项工作为解决铁基电催化剂的高活性和耐久性之间的困境提供了一种有效的策略,为未来研究开发新型电催化剂体系开辟了新的方向。
图文导读

图1 Fe2Mo/NC催化剂的形貌和结构表征。(a) Fe/NC 和 (b) Fe2Mo/NC 的 FESEM 图像;(c) Fe/NC 和 (d) Fe2Mo/NC 的 HR-TEM 图像;(e) Fe2Mo/NC催化剂的C、N、Fe和Mo的STEM图像和相应的元素分布图;Fe/NC 和 Fe2Mo/NC 催化剂高分辨率的 (f) C 1s、(g) N 1s和(h) Fe 2p XPS 数据。
Fe2Mo/NC双金属催化剂高效的 ORR 催化活性和在碱性和酸性环境中的耐久性主要来自于源自包覆的氮掺杂的碳框架,而该碳框架结构主要来自于ZIFs。ZIFs由于其丰富的碳和氮含量,是纳米碳结构的优良前驱体。通过 ZIF 结构的热分解可以制备高度石墨化的碳框架或具有石墨边缘平面的准无定形碳。被碳壳覆盖并暴露在碳框架之外的金属纳米颗粒在碳化过程之后共存,而在强酸浸出之后可以去除暴露的金属颗粒并留下碳包裹的金属纳米颗粒,最终实现Fe2Mo/NC的合成。
通过形貌表征, Fe2Mo/NC 催化剂呈现均匀的十二面体形形态,尺寸约为 50 nm。SEM-EDS 元素光谱也证实了 Fe2Mo/NC 催化剂中存在 Fe 和 Mo。ICP-OES的记过与 SEM-EDS 光谱非常一致,表明Fe和Mo的摩尔比约为2.1,接近 Fe2Mo分子的化学计量比。HR-TEM显示出距离为0.22 nm的晶格条纹对应于Fe2Mo的(103)晶面,证实了Fe2Mo/NC催化剂中存在Fe2Mo纳米颗粒,与XRD和ICP的分析结果吻合。相应的 EDS图像显示了在给定分辨率下 Fe2Mo/NC 催化剂中 C、N、Fe 和 Mo 的均匀分布。X 射线光电子能谱 (XPS) 被证明可有效确定了催化剂中 C、N 和 Fe 物质的电子结构。

图2 碱性介质中氧还原催化剂的性能。(a) 商业 Pt/C、Fe/NC 和 Fe2Mo/NC 催化剂在 0.1 M KOH 中记录的线性伏安曲线; (b) 从 Pt/C、Fe/NC 和 Fe2Mo/NC 催化剂的 RRDE 测量计算的电子转移数和过氧化物产率; (c) 商业 Pt/C、Fe/NC 和 Fe2Mo/NC 催化剂的Tafel 图;(d) 商业 Pt/C 和 Fe2Mo/NC 催化剂在 0.85 V 和半波电位下的动力学电流密度比较; (e) Fe2Mo/NC 和 (f) 商业 Pt/C 催化剂在 0.6 和 1.0 V 之间 5000 ,10000次循环前后的 ORR 极化曲线和相应的 CV 曲线。
在碱性条件0.1 M KOH中,Fe2Mo/NC 催化剂的 ORR 极化曲线中的半波电位为 0.91 V,分别比商用 Pt/C 和 Fe/NC 催化剂高 72 mV 和 32 mV,表明Fe2Mo/NC催化剂更高的ORR 电催化活性。RRDE 测量表明Fe2Mo/NC催化剂表现出约2.5% 的低HO2-产率和约3.95的高电子转移数,表明为高效的四电子ORR过程。Fe2Mo/NC催化剂在 0.85 V 时的动电流密度高达 82.28 mA/cm2,是商用 Pt/C 的 21 倍,比Fe/NC催化剂高 5.2倍,具有高效ORR催化性能。与此同时,通过ADT实验,在 0.1 M KOH 空气饱和溶液中 0.6 和 1.0 V 与 RHE 之间的潜在循环进行 5,000 和 10000 次循环后,Fe2Mo/NC催化剂在碱性电解液中表现出优异的耐久性,10000 次循环后半波电位损失仅为 3 mV,远低于 Pt/C的 29 mV 损失,证明了该催化剂的超高稳定性。

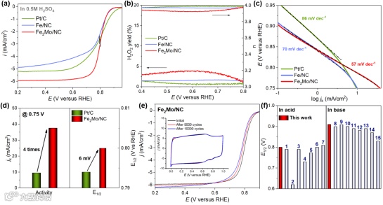
图3 酸性介质中氧还原催化剂的性能。 (a) 商业 Pt/C、Fe/NC 和 Fe2Mo/NC 催化剂在0.5 M H2SO4中记录的线性伏安曲线;(b) 从RRDE 测量计算的电子转移数和过氧化物产率; (c) Tafel 图;(d) 商业 Pt/C 和 Fe2Mo/NC 催化剂在 0.75 V 下的动力学电流密度和半波电位的比较;(e) Fe2Mo/NC 催化剂在 0.6 和 1.0 V 之间 5000、10000 次循环前后的 ORR 极化曲线和相应的 CV 曲线;(f)与非PGM 催化剂的半波电位比较。
在酸性溶液0.5 M H2SO4溶液中,Fe2Mo/NC催化剂表现出比Fe/NC 更正的氧还原峰, ORR 极化曲线中的半波电位为 0.80 V,分别比商业 Pt/C 和 Fe/NC 催化剂高 6 mV 和 12 mV,表明Fe2Mo/NC在酸性ORR的电催化活性与商业Pt/C 催化剂相当。RRDE测量同样证明电子转移数约为 3.9,表明为四电子 ORR 过程。Fe2Mo/NC催化剂的 Tafel 斜率(57 mV/dec)低于 Fe/NC(70 mV/dec)和 Pt/C(86 mV/dec)催化剂,表明在酸性环境中的ORR 催化具有良好的动力学。Fe2Mo/NC催化剂在 0.75 V 时的动态电流密度分别是商业 Pt/C和Fe/NC催化剂的4倍和3.6倍,进一步支持了Fe2Mo/NC比Fe/NC和Pt/C更好的催化活性。Fe2Mo/NC催化剂在酸性电解质中也表现出优异的耐久性,10000次电位循环后 半波电位的损失为19 mV,低于 Fe/NC的 21 mV和Pt/C的26 mV。

图4 理论计算。 (a) Fe2Mo在费米能级附近成键轨道与反键轨道的分布,绿色轨道=反键轨道,蓝色轨道=成键轨道;(b) Fe2Mo合金中的电子态分布。不同位点的(c)Fe-3d与(d)Mo-4d轨道的电子态结构。(e)ORR中间体吸附物的电子态。Fe2Mo在(f)酸性和(g)碱性下的ORR反应能量变化。
我们引入 DFT 来研究通过形成 Fe2Mo 合金对 ORR 性能的显著调控与改善。首先Fe2Mo 合金在 (103) 面表现出富电子特征,这是由于存在大量具有不饱和配位的阶梯金属位点,它们提供了足够的活性位点来促进ORR过程。根据电子态密度数据,我们发现Fe-3d 和 Mo-4d 轨道在费米能级附近都具有高电子密度,保证了从催化剂到吸附中间体的良好电子传导性。此外,Fe-3d 和 Mo-4d 之间有良好的轨道耦合,帮助实现快速电子转移。而且Fe和Mo之间通过d-d轨道耦合能够形成相互保护作用,使催化剂在不同的ORR环境下均具有优异的稳定性。因此,在无外电势(U = 0 V)的情况下,所有的ORR路径反应都是自发放热的趋势,其中*OOH向*O的转移应当是ORR的决速步。通过1.23 V的平衡电位下的能垒进行估算,酸性和碱性下的ORR分别需要0.78 V和0.90 V左右的半波电位,与实验数据高度吻合,证明了Fe2Mo优异的ORR催化性能。
作者简介

黄勃龙教授2007年毕业于北京大学物理系,同年前往剑桥大学从事材料理论研究,并于2012年获得博士学位。2012-2015年,黄勃龙教授于北京大学跟随严纯华院士并在其指导下开展博士后研究, 后赴香港城市大学和香港理工大学继续博士后的相关研究,并于2015年入职香港理工大学担任助理教授至今。黄勃龙教授的研究方向主要为纳米材料、能源材料、固体功能材料和稀土材料的电子态性质,以及在能源材料纳米表界面、多尺度下的能源转换应用等。目前黄勃龙共发表SCI论文220余篇,H-index为49,文章引用次数超过8700次, 包括Nature,Science,Energy Environ. Sci.,J. Am. Chem. Soc., Chem. Soc. Rev.,Nat. Commun.,Adv. Mater.,Adv. Energy Mater.,Angew. Chem. Int. Ed.等国内外顶级杂志,并多次被选为封面推荐文章。此外,黄勃龙教授还担任《Nano Research》《中国稀土学报》与《稀有金属》的青年编辑或编委,还10余次受邀在国内国际重要学术会议上做邀请报告,其中包括2019美国材料年会等,同时为多个高影响力期刊如Nat. Phys.,Energy Environ. Sci., J. Am. Chem. Soc., Joule, Angew. Chem. Int. Ed., Adv. Mater., Adv. Energy Mater., Adv. Funct. Mater., ACS Catal., Nano Energy等担任特邀审稿人。
文章信息
Jue Hu*, Chengxu Zhang, Mingzi Sun, Qianglong Qi, Shanxiong Luo, Hongchuan Song, Jingyi Xiao, Bolong Huang*, Michael K. H. Leung* & Yingjie Zhang*. Ultrastable bimetallic Fe2Mo for efficient oxygen reduction reaction in pH-universal applications. Nano Research https://doi.org/10.1007/s12274-022-4112-1.

识别二维码或点击左下角“阅读原文”可访问全文
声明
本文仅供科研分享,不做盈利使用,如有侵权,请联系后台小编删除
“邃瞳科学云”直播服务
“邃瞳科学云"平台正在收集、整理各类学术会议信息,欢迎学会、期刊、会议组织方择优在邃瞳平台上进行线上直播,希望藉此帮助广大科研人员跨越时空的限制,实现自由、畅通地交流互动。欢迎老师同学们提供会议信息(会有礼品赠送),学会、期刊、会议组织方商谈合作,均请联系翟女士:18612651915(微信同)。
投稿、荐稿、爆料:Editor@scisight.cn
扫描二维码下载
邃瞳科学云APP

