第一作者:樊金红
通讯作者:樊金红
通讯单位:同济大学
论文DOI: 10.1016/j.jhazmat.2022.128818
图片摘要

成果简介
近日,同济大学环境科学与工程学院樊金红研究团队在环境领域著名学术期刊Journal of Hazardous Materials上发表了题为“Mn3O4-g-C3N4 composite to activate peroxymonosulfate for organic pollutants degradation: electron transfer and structure-dependence”的研究论文。该研究研发了一种基于新型Mn3O4-g-C3N4复合材料的过氧单硫酸盐(PMS) 活化体系,深入研究了对乙酰氨基苯酚(ACT)和不同取代基团酚类有机物的降解反应机制,论证了锰价态转化和单线态氧的作用机理;首次系统研究了分子结构对酚类化合物降解速率的影响。总而言之,本项研究丰富了锰基PMS非自由基主导体系反应机理,为预测酚类化合物降解性能提供了方法。
全文速览
本研究采用碱式沉淀法制备了负载型Mn3O4-g-C3N4复合材料。研究表明,g-C3N4的引入可以有效改善Mn3O4空间构性,在pH 3.0-9.0范围内表现出优异的ACT降解性能,该过程是一种由单线态氧主导的非自由基反应,其中,电子由Mn(Ⅱ)/Mn(Ⅲ)转移到PMS激活反应,由ACT直接转移到Mn(Ⅳ)再生催化表面。此外,通过考察六种酚类化合物降解规律,并联合密度泛函理论(DFT)计算,明确了PMS体系有机物结构依赖降解特性,且酚类化合物降解速率与其本身的吸附能及其Bader电荷值有关。
引言
普遍认为,硫酸根自由基(·SO42-)、羟基自由基(·OH)、超氧阴离子(·O2-)是导致污染物降解的主要自由基种类,然而,在PMS体系中非自由基反应路径被不断提出,单线态氧(1O2)和电子转移机制逐渐得到认识,但非自由基反应氧化过程的详细机理尚未得到深入且明确的探索,尤其是电子转移过程。此外,先前的研究证实了PMS体系存在明显的选择性降解现象,并归因于活性物种的选择性氧化,但鲜有研究关注目标污染物本身的成分和结构。
图文导读
g-C3N4和0.5-Mn3O4-CN的基本表征

图1:(a) g-C3N4的SEM图像;(b-c) 0.5-Mn3O4-CN的SEM图像;(d-i) 0.5-Mn3O4-CN的EDS图像 (黄色、粉色、红色、绿色、蓝色分别代表O、Mn、C、N和Cl元素)。
如图1所示,通过SEM和EDS观察了g-C3N4和0.5-Mn3O4-CN的表面形貌的元素分布。对于0.5-Mn3O4-CN,SEM可以观察到表面覆有规则的氧化锰层状晶体,并且元素映射清楚地证实了复合材料是含O、Mn的材料(图1d和e)。XRD图谱证明了Mn3O4的成功掺杂(图2a)。0.5-Mn3O4-CN的等温线可以归类为典型Ⅳ型,表明其具有介孔结构,孔径分布显示在2-100 nm范围。BET计算中0.5-Mn3O4-CN表面积是g-C3N4的三倍。因此,介孔结构和增大的表面积促使0.5-Mn3O4-CN在反应过程中可以提供更多的活性位点活化PMS。

图2:(a) XRD图谱;(b)氮气吸附-解吸等温线;(c) Mn 2p轨道的XPS光谱图。
为分析g-C3N4对复合材料的影响,有XPS表征了0.5-Mn3O4-CN中各种元素的化学价态(图2c),结果显示g-C3N4的引入使Mn 2p1/2和Mn 2p3/2结合能分别增加到653.6 eV和642.1 eV,这归因于碳氮化合物高效的电子转移能力。同时,XPS半定量分析表明,0.5-Mn3O4-CN中Mn(Ⅱ)和Mn(Ⅲ)的含量分别为51.6%和48.4%,进一步表明合成材料中锰氧化物以Mn3O4为主。
材料的催化降解性能

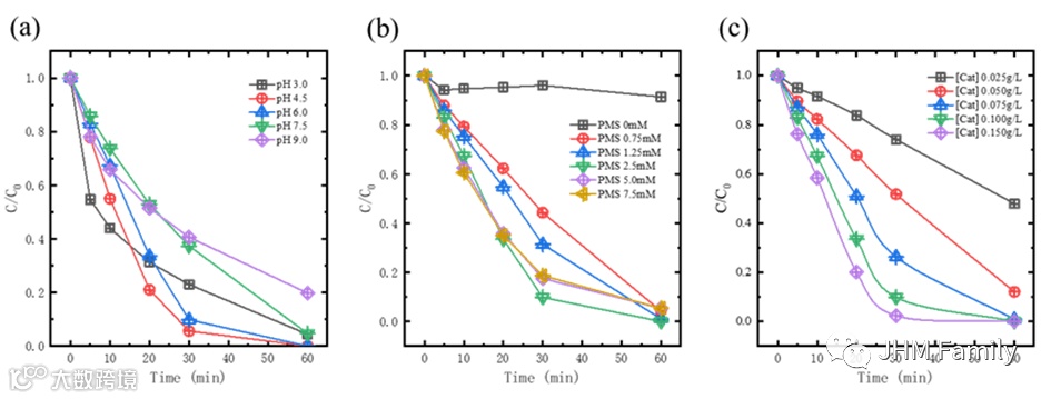
图3:操作参数对ACT降解效率的影响:(a)初始pH;(b) PMS浓度;(c) 催化剂用量。
为了评价0.5-Mn3O4-CN的PMS活化性能,以ACT为目标污染物,研究了初始pH、PMS浓度及催化剂用量对该体系ACT降解速率的影响。如图3a所示,0.5-Mn3O4-CN在3.0-9.0的宽pH范围内表现良好,显示了多相反应的作用。当PMS浓度小于2.5 mM时,随浓度增加,ACT降解速率逐步提高,超过2.5 mM后,持续增加对工艺性能几乎没有影响,甚至导致去除效率降低,这主要归因于高浓度PMS的自我清除。此外,催化剂用量对ACT降解也有很大影响,符合伪零级动力学,催化剂最佳用量约为0.100g /L。
0.5-Mn3O4-CN/PMS体系的降解机理

图4:(a) 线性扫描伏安曲线;(b)Mn 3s轨道的XPS光谱图;(c) 0.5-Mn3O4-CN/PMS体系中Mn 2p轨道的XPS光谱图;(d) 0.5-Mn3O4-CN/PMS/ACT体系中Mn 2p轨道的XPS光谱图。
从图4a可以看出,单独催化剂在溶液中不会发生电子转移过程,而催化剂和ACT之间存在电子转移,进一步分析催化剂表面Mn元素价态变化(图4b)发现,无PMS存在时,Mn(Ⅲ)和ACT之间直接电子转移,反之最会被氧化为Mn(Ⅳ),产生活性物质。图4c-d是对0.5-Mn3O4-CN/PMS体系有无ACT存在反应后回收的催化剂进行的XPS分析,结果表明,PMS的加入导致Mn(IV)形成,Mn(II)显著减少,而当ACT加入后,Mn(IV)含量从31.7%下降到25.5%。值得注意的是,不同于Mn(Ⅲ)活化PMS,具有更强氧化性能的Mn(IV)更倾向于从ACT中获取电子再生Mn(Ⅲ),因此,锰的多价循环维持了催化剂的效率和稳定性。

图5:抑制剂对ACT降解的影响:(a) SOD;(b)Cur。
淬灭实验表明该体系是一个以非自由基为主的催化降解过程,为了充分证明这一点,采用SOD和Cur分别作为·O2-和1O2的清除剂抑制氧化过程(图5),结果表明1O2是系统的主要活性物质。
0.5-Mn3O4-CN/PMS体系的结构依赖性降解

图6:(a)六种酚类化合物的降解曲线;(b)六种酚类化合物的吸附能;(c) 酚类化合物的吸附构型及Bader电荷值。
如图6a所示,酚类化合物在0.5-Mn3O4-CN/PMS体系中降解差异很大,去除效率从高到低依次是:ACT > BPA > MP > CP > Ph > NP。为进一步探究污染物降解速率与自身结构的关系,运用密度泛函理论计算了不同酚类化合物在催化剂表面的吸附能和Bader电荷值(BC)(图6b-c),结果表明,酚类化合物的降解性能与其在催化剂表面的吸附能和BC有关。吸附能越低,反应速率越大。就BC而言,碳原子BC值越高,污染物越容易被降解,但当有其他元素高于碳原子BC值时,也需要综合考虑其他相关数据。
小结
本研究提出了一种简单的碱式沉淀法用于制备负载型Mn3O4-g-C3N4催化剂,以活化PMS降解ACT和其他酚类物质。与Mn3O4相比,复合材料表现出更高的电子转移和降解效率。反应过程中,Mn(Ⅱ)和Mn(Ⅲ)的转化为PMS活化提供电子,产生·O2和1O2,并伴随从ACT到Mn(Ⅳ)的直接电子转移再生Mn(Ⅲ)。结合微观结构表征、实验数据和DFT计算,阐明了锰基PMS非自由基主导体系的反应机制,解析了酚类化合物分子结构与其降解速率的关系。本研究为通过设计催化剂调节锰价态进而调节催化剂性能,以及根据分子结构预测酚类化合物降解速率提供有价值的参考。
作者简介
樊金红 同济大学环境科学与工程学院副教授,研究方向为工业废水处理与资源化,积极推动环境功能材料在多介质复合污染治理中的应用,主持国家(上海市)自然科学基金、863重点(子课题)和重点研发(子课题)等科研项目近10项,以第一和通讯作者发表SCI论文50余篇,3篇入选ESI高被引论文,授权发明专利9项,获上海市技术发明一等奖1项、二等奖1项,上海市优秀工程咨询成果二等奖1项。
邮箱:jinhongfan@tongji.edu.cn
声明
本文仅供科研分享,不做盈利使用,如有侵权,请联系后台小编删除
“邃瞳科学云”直播服务
“邃瞳科学云"平台正在收集、整理各类学术会议信息,欢迎学会、期刊、会议组织方择优在邃瞳平台上进行线上直播,希望藉此帮助广大科研人员跨越时空的限制,实现自由、畅通地交流互动。欢迎老师同学们提供会议信息(会有礼品赠送),学会、期刊、会议组织方商谈合作,均请联系翟女士:18612651915(微信同)。
投稿、荐稿、爆料:Editor@scisight.cn
扫描二维码下载
邃瞳科学云APP

