第一作者:王旭宁
通讯作者:程道建,许昊翔
通讯单位:北京化工大学
论文DOI:10.1021/acscatal.5c03702
CO2电还原反应氛围下Cu催化剂的表面重构一直以来是阻碍构效关系探索的重要因素。为定量表征Cu催化剂在反应中的动态表面重构行为,该工作创新性地提出了重构度(DOR)概念,并建立了重构依赖的广义配位数(RD-GCN)这一关键描述符,实现了在真实电催化环境下对C2+选择性趋势的精准捕捉。该描述符成功复现了不同Cu单晶催化剂对于C2+产物法拉第效率的实验相对顺序,并合理解释了具有不同形貌与粗糙度的单金属Cu纳米结构的C2+选择性差异,清晰揭示了Cu催化剂动态结构流动性对选择性的关键影响。
利用可再生电力电催化还原CO2(CO2ER)制备乙烯等高值化学品是实现碳中和的重要路径。目前铜(Cu)是唯一能生成多碳产物(C2+)的金属催化剂,但其选择性提升仍面临挑战。尽管通过调控晶面取向、形貌及表面粗糙度可显著改善C2+选择性,但因缺乏活性位点本征电子/几何特性与性能的明确关联,理性设计始终存在瓶颈。研究表明,低配位位点可增强CO*吸附并促进C-C偶联,但预制备催化剂的配位饱和度优化难以持续提升性能,根源在于电催化过程的原位表征困难与Cu的动态结构演变。实验证实反应环境中CO等表面物种会诱导Cu表面发生重构,理论计算也揭示了吸附物可弱化表层Cu-Cu键,触发原子位移形成低配位活性簇。这种反应过程中形成的活性位点与初始结构的本质差异,导致构效关系难以精确解析,理论与实验结果难以统一。因此,阐明Cu表面的动态重构对反应的影响并建立基于真实反应构型的普适描述符,是突破催化剂设计瓶颈的关键。
1. 通过系统地考虑CO2ER反应机理和电催化反应微环境(溶剂、阳离子效应、电极电势等),建立了C-C偶联能垒与Cu位点广义配位数(GCN)之间的线性关系,GCN越小越有利于C-C偶联。
2. 提出了催化剂表面重构度(DOR)新概念,并基于此开发了重构依赖的广义配位数(RD-GCN)作为C2+选择性的描述符,该描述符量化了反应氛围下催化剂表面位点的真实配位饱和度。
3. RD-GCN与C2+选择性之间的负相关关系准确复现了不同Cu单晶催化剂对于C2+产物实验法拉第效率的相对顺序,并合理解释了具有不同形貌与粗糙度的单金属Cu纳米结构的C2+选择性差异。
Cu位点的配位饱和度与C-C偶联能垒的线性关系
研究首先构建了一系列不同配位饱和度(广义配位数,GCN)的Cu表面模型(图S1),并以其中5个表面模型为例探究了溶剂效应对于C-C偶联反应机理的影响。计算结果(图1a-b)表明显式水层通过氢键稳定了OC-CO中间体,显著降低了CO-CO偶联反应能垒,与目前广泛报道的C-C偶联机制一致。电极电势通过采用巨正则第一性原理计算来模拟,不同配位饱和度Cu位点的CO*二聚化能垒随着电极电势具有不同的演变趋势(图1c),这可以从分子轨道理论来解释(图S15-16)。我们统计了不同配位饱和度Cu位点-1.0 V vs. RHE电势(最常见的多碳产物形成的电势)下的CO*二聚化能垒,发现其与GCN之间存在正相关的线性关系(图1d)。这些发现建立了单金属Cu催化剂合成C2+的基本设计原则,即较低的GCN值(Cu低配位点)通过加强*CO吸附(图S14)和降低CO-CO偶联能垒来促进C2+的生成(图1d)。
图1. 配位数(GCN)与C-C偶联反应步骤能垒的线性关系。(a) 真空和溶剂环境下Cu位点CO-CO、CO-CHO和CHO-CHO偶联反应的能垒。(b) 真空和溶剂环境下Cu(100)表面CO*二聚化的构型。(c) CO*二聚化的反应能垒与电极电势的关系。(d) 在-1.0 V. vs RHE和pH = 6.8时CO-CO偶联反应的能垒与Cu 位点GCN之间的线性关系。
GCN-CO二聚化势垒正相关的理论预测(图1d)表明GCN-C2+选择性应该是负相关的。然而,单晶Cu催化剂的实验数据显示,C2+法拉第效率与GCN之间没有这种相关性(图S18)。这种差异源于GCN是基于静态原始Cu表面模型计算的,没有考虑动态表面重建。因此,有必要利用Cu单晶催化剂作为模型体系,研究CO2ER条件下Cu表面的重构过程,以弥补理论预测与实验观测之间的差距。
CO驱动表面原子迁移诱导的Cu表面重构
基于之前的理论以及实验报道,提出了Cu表面重构的一般过程(图2a),即Cu-Cu键断裂形成Cu吸附原子(adatom)以及adatom的迁移和聚集过程(其中adatom的形成为表面重构过程的决速步骤)。以Cu(511)为例,展示了CO*诱导的adatom形成过程以及形成能(Efor)的定义(图2b-c)。
图2. CO2ER工作环境下金属Cu催化剂表面重构导致吸附原子(adatom)形成的示意图。(a) Cu表面上由CO*吸附引起的台阶原子或边缘原子的喷射和聚集而形成的adatom和团簇的原子尺度图解。(b) Cu(511)单晶表面外层原子排列的侧视图和俯视图。(c) Cu(511)表面重构后Cu(100)上的adatom形成能定义的示意图。
铜表面重构过程中配位饱和度的动态演化
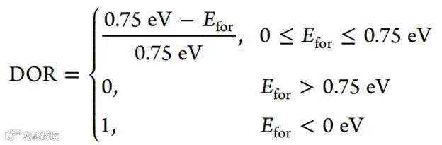
以adatom形成能的大小以及阙值0.75eV(动力学可行边界)为基准,提出了量化Cu表面重构程度的理论指标:the Degree of Reconstruction (DOR),其量化了重构位点的比例(图3 )。

基于DOR提出了表征重构后铜表面的真实配位饱和度的描述符:reconstruction-dependent generalized coordination number (RD-GCN)。

计算得到了Cu(111)、Cu(100)、Cu(211)、Cu(311)、Cu(511)以及Cu(711)单晶模型的RD-GCN(表1),即反应氛围下,各个Cu单晶催化剂的真实配位饱和度。
图3. CO*驱动表面原子迁移形成1adatom/slab导致Cu晶体表面重构的定量分析。(a) 重构度(DOR)定义图,用于量化Cu(511)单晶表面重构过程后的位点分布比例。(b) 不同Cu单晶表面模型的adatom形成能(Efor)(蓝柱:真空环境,红柱:CO吸附)和重构度(DOR,紫色线)。黑色虚线表示表面重构发生的阈值(0.75 eV)。(c) 不同铜单晶表面(红色)重构后的Cu位点分布比例(蓝色)热图。
C2+选择性由RD-GCN控制
基于各个Cu单晶模型的RD-GCN以及Cu单晶催化剂的多碳产物实验法拉第效率数据,建立了强的负相关关系(图4)。这一进展有效地弥合了静态计算模型与真实催化剂动态性质之间的差距,成功地再现了Cu单晶体系中C2+产物法拉第效率的相对趋势。基于重构模型而不是原始Cu单晶模型,我们证明了Cu(100)表面发生了部分重构,其配位饱和度远低于原始Cu(100)单晶模型,因此其C-C偶联步骤的活性增强。这也与实验观察结果一致,即在CO2ER过程中,原始Cu(100)不是C2H4形成的活性位点,直到进行表面预处理导致低配位点的形成。与之形成鲜明对比的是,Cu(111)在相同的反应环境下表现出固有的重构阻力,保持其原始排列,导致较高的CO二聚化动力学能垒。
图4. CO2ER的C2+/C2H4产物的实验法拉第效率(FE)与Cu单晶的RD-GCN呈负相关。
RD-GCN驱动的结构-选择性关系的通用性
所提出的Cu表面重构的理论模型也可以来解释形貌依赖的表面重构现象(图5a-b)。 Cu(111)晶面为主的催化剂表现出依赖于形貌的重构热力学(图5c),克服了单晶Cu(111)固有的重构阻力,产生具有可变的配位饱和度(广泛的RD-GCN分布)的动态活性位点。这就合理地解释了它们在文献中观察到的C2+选择性的广泛分散。相反,Cu(100)晶面为主的催化剂在不同形貌下保持相似的重构热力学(图5d),即狭窄的RD-GCN分布,这解释了它们在实验文献中集中的C2+选择性分布。这种基于晶面的表面重构框架阐明了铜催化剂中多碳产物选择性形貌依赖的内在原因(图5e-f)。
图5. 实验验证了Cu纳米结构中Cu位点的RD-GCN与C2+/C2H4选择性的负相关关系。(a) 实验参考文献中不同形貌和粗糙度的单金属铜纳米结构的示意图,暴露Cu(100)或Cu(111)面。(b) Cu纳米结构在(111)晶面上形成adatom的表面重构示意图(以(111)延伸面积有限的高指数晶面模型表示)。(c) Cu(111)或(d) Cu(100)晶面的adatom形成能随不同高指数晶面结构的变化而变化。111211、111533和111755表示铜纳米结构上不同高指数晶面结构中的Cu(111)取向。111533-n表示(533)表面111平台上的Cu位点,距离边缘的原子宽度为n。100711和100911表示铜纳米结构上不同的Cu(100)取向。(e) C2+和(f) C2H4在单金属Cu纳米结构上的选择性与RD-GCN呈负相关。橙色和蓝色的线来自图4。
本研究通过显式水溶剂效应下的巨正则第一性原理计算,探究了不同配位饱和度的单金属铜催化剂在CO2电还原反应中C2+产物选择性的变化趋势。研究发现,C-C偶联能垒与Cu活性位点的广义配位数(GCN)呈正相关。进一步结合CO诱导的表面重构(以重构度DOR量化),提出了重构依赖的广义配位数(RD-GCN)作为关键描述符。RD-GCN与C2+选择性之间的负相关性,不仅成功复现了实验中不同Cu单晶模型间C2+产物法拉第效率的相对顺序,还统一解释了具有不同形貌和粗糙度的Cu催化剂的C2+选择性差异。这一发现解决了长期关于Cu配位饱和度调控选择性的争议,强调了动态配位特性对理论与实验自洽的关键影响。为理性设计高C2+选择性的铜基催化剂提供了指导,启发通过设计固有低配位Cu位点或反应中动态形成低配位位点来提升性能;同时建立了关联原始结构与操作条件下重构表面的动态关系框架。鉴于GCN的普适性,RD-GCN有望广泛用于解决催化中结构-反应性关系的挑战。
Reconstruction-dependent coordination descriptor for selectivity towards C2+ products of CO2 electroreduction over Cu catalysts. ACS Catal. 2025, 15, 15765-15779.
https://doi.org/10.1021/acscatal.5c03702
程道建,北京化工大学化学工程学院院长,教育部长江学者特聘教授、国家优秀青年基金获得者、英国皇家化学会会士。主要从事化工领域金属纳米催化剂的设计、制备和应用研究。作为负责人承担国家自然科学基金区域重点基金,重点国际(地区)合作研究项目,重点研发计划课题,GF基础重点研究项目课题及企业合作等项目30余项。以第一或通讯作者在Nat. Catal.,Nat. Commun.,Angew. Chem.,ACS Catal.,Adv. Mater.等期刊发表SCI论文170余篇,入选爱思唯尔中国高被引学者榜单(2020-2023年)。以第一完成人的成果获中国化工学会基础研究成果奖一等奖等奖励4项,获评北京市教育系统“教书育人先锋”,入选“北京高校优秀育人团队”,以第一完成人获石油和化工教育教学成果特等奖1项、石油高等教育教学成果奖一等奖1项。获评2022年度“青山科技奖”,中国化工学会侯德榜化工科学技术创新奖(2022年),中国石油和化学工业联合会青年科学技术突出贡献奖(2022年)和国际杰出青年化学工程师奖(2024年)。担任“十四五”国家重点研发计划“氢能技术”重点专项总体专家组成员,火炬高新技术产业专家咨询委特聘专家,中国化工学会化学工程专委会秘书长,中国化工学会稀土催化与过程专委会副主任委员,中国化工学会过程模拟及仿真专业委员会副秘书长。担任SCI期刊Journal of Experimental Nanoscience和Molecular Simulation区域主编,国内核心期刊《化工进展》编委。更多详情,欢迎访问课题组网站:www.nanoalloy.com.cn
许昊翔,北京化工大学教授, 青年科学基金项目(B类)[原优秀青年科学基金项目]获得者。面向石油化工、精细化工和能源化工领域的金属纳米催化剂,采用密度泛函、分子动力学等多(介) 尺度模拟手段和机器学习等大数据处理方法,进行共性规律的理论研究,建立金属催化剂及材料的筛选模型。申请人以第一或通讯作者在已在国际知名期刊 Nature Catalysis、Journal of American Chemical Society、Angewandte Chemie International Edition、Nature Communication、Advanced Energy Materials、ACS Catalysis、Nano Letters、Journal of Catalysis 、Applied Catalysis B: Environmental 等期刊发表 SCI 论文80多篇,3篇被列为高被引论文,H 因子 =31,引用超过5000次。授权发明专利 3 项。2025年获得国家自然科学基金青年科学基金B类资助,2021年获中国化工学会基础研究成果奖一等奖(第二完成人);2021 年获得中国石油和化学工业联合会CPCIF-Clariant 可持续发展青年创新奖;2022 年获得第八届中国化工学会青年人才托举工程项目资助;入选爱思唯尔年度全球前 2%顶尖科学家榜单(2023,2024年);入选《化工学报》、《化工进展》《石油学报(石油加工)》青年编委。
声明

