第一作者:孙鸿
通讯作者:曹军
通讯单位:浙江理工大学
论文DOI:https://doi.org/10.1016/j.apcatb.2025.125888
本文利用Pd金属烯欠配位位点吸附氧原子来调控其电子结构。引入的氧原子会导致强烈的原子间和原子内轨道杂化,同时实现了Pd金属烯 d 轨道电子填充度的减少和d带中心的降低,进一步实现了硫氧化电子跃迁能垒的降低和吸附强度的减弱,从而使得该催化剂展示出优异的硫氧化性能。在10 mA cm-2和 100 mA cm-2的电流密度下电位仅为325 mV和458 mV,其电位低于目前所有报道的金属烯催化剂。
电解水分解是制取氢气的一种简单且有效的方法。然而,阳极处的氧析出反应(OER)由于其缓慢的反应动力学和较高的理论电位(相对于标准氢电极 E = 1.23 V)而成为一个重要的限制因素。相比之下,硫氧化反应(SOR)所需的反应电位要低得多(E = -0.48 V vs. RHE),而且在反应时还能降解富硫废水,展现出替代传统OWS实现高效制氢的巨大潜力。然而,由于硫化物对金属电极的强结合特性使得在SOR的过程中金属电极容易被钝化和腐蚀,导致催化剂稳定性不佳。因此,迫切需要开发出具有高活性和高稳定性的催化剂。
1. 采用欠配位位点吸附氧原子制备氧修饰的Pd金属烯催化剂(Pdene@O);
2. 轨道杂化同时降低了Pd d轨道电子填充度和d带中心;
3. Pdene@O表现出弱的中间体吸附强度、空的d轨道和低的电子跃迁能垒;
4. Pdene@O的SOR性能超越了目前所有报道的金属烯催化剂。
传统Pd金属烯d带中心较高、空轨道较少、吸附强度较大,导致硫氧化过程中电子从Na2S的HOMO能级跃迁至Pd d轨道的能垒较高,且Pd(全满价层轨道)没有多余的轨道来容纳跃迁过来的电子,同时,较高的d带中心也会导致中间体吸附较强而难以脱附,阻碍了硫氧化反应。而引入O原子所产生的d-p轨道杂化可以同时降低Pd的d带中心和增加其空轨道数量,进而降低电子从Na2S HOMO能级跃迁至Pd d轨道的能垒,减弱中间体在Pd金属烯表面的吸附强度,提供更多的空轨道以容纳从Na2S跃迁过来的电子。另外,传统引入氧原子的方法是通过在O2中高温烧结,这会导致催化剂部分团聚且消耗能量。而有文献报道,金属的欠配位位点可以更强地吸附氧原子。因此,本文通过在溶液中氧化刻蚀将残余氧吸附在Pdene的欠配位位点,进而修饰Pdene的电子结构,改善其催化活性。
图 1: Pd的电子结构调控影响硫中间体吸附和氧化动力学的示意图。
图2:理论预测氧原子对 Pd金属烯电子结构和S中间体吸附能的影响。
理论计算预测,吸附O的Pd金属烯(Pdene@O)比初始的Pdene 展示出更低的d 带中心;对于Na2S HOMO能级与Pd 4d 轨道之间电子转移的能垒,Pdene@O也展示出比Pdene更低的能垒高度;Bader电荷分析证实了在Pdene@O中,电子从 Pd 向吸附的氧原子转移;同时,Pdene@Om 表面的硫离子吸附能比Pden弱,这表明在 Pdene 的不饱和位点上预先吸附氧后,硫物种在 Pdene 表面的结合强度会减弱,这将促进SOR的多步反应。
图 3 Pdene@Om 的物相和形貌表征。
本文通过在NH4Br溶液中对Pdene刻蚀不同时间,制备不同氧含量的Pdene(Pdene@Od、Pdene@Om、Pdene@Or),以探究氧对Pdene电子结构和催化SOR的影响。TEM和AFM分析表明Pdene@Om是超薄的结构,只有5~6个原子层厚,且表面有丰富的孔洞缺陷,这些不饱和配位的缺陷位点有利于吸附氧原子,并提高活性位点的密度。EDS和XPS结果证实了氧原子的存在。且XPS表明O与Pd之间存在电子相互作用,且电子从Pd转移至了O。
图4:Pd金属烯的XPS图。
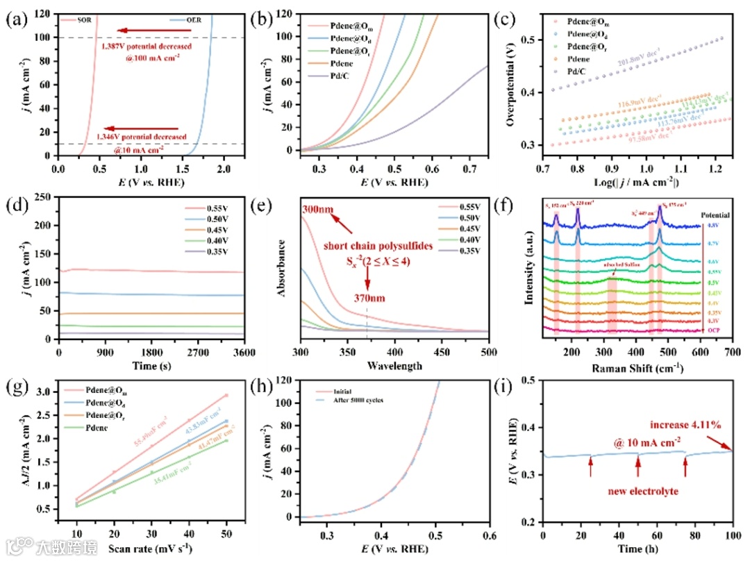
图5:Pd金属烯催化硫氧化的电化学测试。
电化学测试表明,Pdene@Om在硫氧化反应中展现出了最优异的催化活性和稳定性,LSV曲线、Tafel斜率和双电层电容均表明在引入吸附氧后,反应动力学和催化剂的活性位点数量得到了明显的提升。且Pdene@Om在10 mA cm-2和 100 mA cm-2电流密度下的电位仅为325 mV和458 mV,其电位低于目前所有报道的金属烯催化剂。而对不同电压下反应1 h后的溶液进行UV-vis分析后发现,在 370 nm 处出现的特征吸收带,对应于短链聚硫离子物种(S22--S42-),且强度随着施加电位的增加而增强。此外,原位电化学拉曼光谱表明,S2-吸附在Pdene@Om表面后依次氧化形成 S22-、S32-和S42- 中间体;随后这些中间体聚合氧化生成单质硫(S8)。
图 6 Pdene@Om 与 Pt/C 在 1 M KOH + 3 M Na₂S 溶液中全解水性能。
在 HER || SOR 系统中,电解槽槽压相比于HER || OER 系统显著降低。通过进一步的测试发现Pt/C||Pdene@Om 系统比Pt/C||Pd/C 系统更具优势,在整个电流密度范围内观察到更低的槽压,且该系统具有长期运行稳定性。
图7:DFT 计算:Pd金属烯的电子结构以及催化SOR的自由能路径。
通过密度泛函理论计算发现,氧的引入会导致 d 轨道中心下移、电子跃迁能垒降低、原子间和原子内电子转移,且它们的趋势与氧含量直接相关。此外,还发现含有吸附氧的Pdene相比于原始的Pdene在硫氧化的决速步骤(S4→S8)具有相对更低的反应势垒,且Pdene@Om的反应能垒是最低的,说明Pdene@Om 具有对多硫化物进行最有效转化的能力。
本文提出了氧原子调控Pdene电子结构和性能的新策略,并通过利用Pdene的低配位位点选择性吸附氧分子而将氧物种引入Pdene表面。所引入的氧原子通过原子间和原子内轨道杂化诱导电子同时从Pd的4d轨道转移到相邻的氧原子以及钯的5s和5p轨道。这进一步拓宽了Pd 4d的带宽,减少了Pd的d带电子数,降低了Pd的d带中心,有利于电子从硫物种的HOMO能级转移到Pd的4d轨道,并且在SOR过程中减弱了中间体的吸附。优化后的Pdene@Om催化剂在硫氧化反应中表现出卓越的电催化性能。
声明

