第一作者:邢佳颖(清华大学)
通讯作者:陈建军 副研究员(清华大学)
论文DOI: 10.1016/j.apcatb.2025.125716
近日,清华大学陈建军老师等在Appl. Catal. B-Environ.上发表了题为“Weak Mo=O covalency and surface lattice oxygen activation of V2O5-MoO3/TiO2 catalyst cause N2O emission during NH3-SCR process”的研究论文(DOI: 10.1016/j.apcatb.2025.125716),探究了表面晶格氧活性对商用钒基催化剂(VTi、VMoTi)脱硝过程中N2O的释放影响。基于活性测试、材料表征、DFT计算等手段,研究人员发现活化的表面晶格氧物种促进了脱硝过程中N2O的生成,相比于VTi催化剂,VMoTi催化剂脱硝过程中N2O生成量明显增大。这是因为较弱的Mo=O共价键有利于O 2p轨道价电子的迁移,促进表面晶格氧的活化并形成氧空位。活化的表面晶格氧物种进一步促进了脱硝过程中NH3氧化和NSCR反应的进行,造成温室气体N2O的生成。该研究为工业烟气温室气体的排放控制研究提供了重要借鉴。
NH3-SCR是典型的工业烟气NOx排放控制后处理技术,然而采用该技术脱硝过程中会不可避免产生副产物N2O,对温室气体的排放控制造成压力。基于此,本研究分析了商用钒基催化剂(VTi、VMoTi)脱硝过程中N2O的释放机理。结合活性测试、材料表征、DFT计算等手段,发现MoO3的修饰明显增加了VTi催化剂脱硝过程中N2O的释放,这是因为较弱的Mo=O共价键促进了催化剂表面晶格氧的活化,而活化的表面晶格氧与N2O的生成呈明显的正相关关系。该研究为工业烟气温室气体的排放控制研究提供了重要借鉴。
NH3-SCR是典型的工业烟气NOx排放控制后处理技术,然而采用该技术脱硝过程中会不可避免产生副产物N2O,对温室气体的排放控制造成压力。本研究以商用钒基催化剂(VTi、VMoTi)作为研究对象,分析其脱硝过程中温室气体N2O的释放机理。
电子特性
Fig. 1 (a) Raman spectra and (b) Simplified structures of V2O5/TiO2 and V2O5-MoO3/TiO2 catalysts; (c) Scheme illustrating the covalencies of V=O bond in V2O5/TiO2 catalyst and Mo=O bond in V2O5-MoO3/TiO2 catalyst; (d) PDOS of O atoms for V2O5/TiO2 and (e)V2O5-MoO3/TiO2 catalysts.
结合表征结果,分别构建了VTi和VMoTi催化剂的稳定几何构型并分析了电子特性。发现VTi催化剂中的V=O键表现出较高的共价性,而VMoTi催化剂的Mo=O键共价性较弱。与Mo原子相邻的O 2p轨道中价电子具有更好的迁移性,Mo=O键更易断裂,进而活化VMoTi表面晶格氧。
表面晶格氧活性
Fig. 2 (a) Ov formation energy, (b) O2-TPD profiles, (c) H2-TPR profiles, (d) EPR profiles of V2O5/TiO2 and V2O5-MoO3/TiO2 catalysts; O 1s XPS spectra of (e) V2O5/TiO2 catalyst and (f) V2O5-MoO3/TiO2 catalyst; Density of states (DOS) of (g) V2O5/TiO2 catalyst and (h) V2O5-MoO3/TiO2 catalyst.
结合DFT计算、XPS、EPR、O2-TPD等表征,对比了VTi催化和VMoTi催化剂的化学特性,发现VMoTi催化剂具有更好的表面晶格氧活性和更强的氧化还原性,验证了较弱的Mo=O共价键有利于O 2p轨道价电子的迁移,进而促进表面晶格氧的活化并形成氧空位。
N2O生成特性
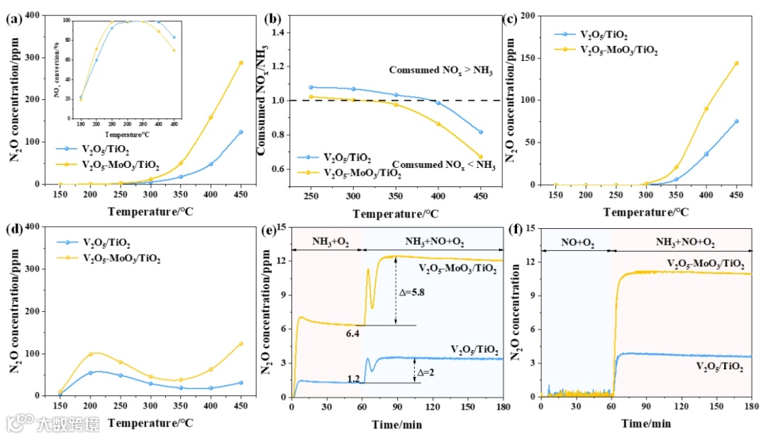
Fig. 3 (a) N2O concentrations and NOx conversion during NH3-SCR process, (b) the proportions of consumed NOx/NH3 during NH3-SCR process, (c) N2O concentrations during NH3 oxidation process and (d) N2O concentrations during NSCR reaction for V2O5/TiO2 and V2O5-MoO3/TiO2 catalysts; Time-on-stream of the effects of (e) NO introduction and (f) NH3 introduction on N2O concentration at 300℃ for V2O5/TiO2 and V2O5-MoO3/TiO2 catalysts.
活性测试结果发现,相比于VTi催化剂,VMoTi催化剂脱硝过程中生成更多的N2O,350℃时VMoTi催化剂N2O的生成量约为VTi催化剂的2.7倍。NSCR反应是VTi催化剂工业烟气脱硝温度下N2O生成的主要路径,而NH3氧化是VMoTi催化剂工业烟气脱硝温度下N2O生成的主要路径。
N2O生成机理
Fig. 4 Time-on-stream in the O2 on-off reaction for V2O5/TiO2 and V2O5-MoO3/TiO2 catalysts at 300℃ of (a) NOx conversion, (b) N2O concentration; In situ DRIFTS spectra in the O2 on-off reaction at 300℃ of (c) V2O5/TiO2 and (d) V2O5-4MoO3/TiO2.
结合瞬态实验,切断反应气氛中的O2时,N2O生成量明显增加,说明活化的表面晶格氧有利于N2O的生成,二者呈正相关关系。原位红外表征发现NH3-SCR过程中表面晶格氧物种的参与有效促进了NH3氧化,同时对NSCR反应造成一定影响,导致反应产物从N2转化为N2O。
这项工作探究了商用钒基催化剂(VTi、VMoTi)脱硝过程中N2O的生成机理,发现活化的表面晶格氧物种是造成NH3-SCR过程中N2O生成的主要原因。研究人员发现活化的晶格氧物种明显促进了脱硝过程中N2O的生成,VMoTi催化剂脱硝过程中N2O生成量明显增大。这是因为较弱的Mo=O共价键有利于O 2p轨道价电子的迁移,进而促进表面晶格氧的活化并形成氧空位。进一步地,NH3-SCR过程中表面晶格氧物种的参与有效促进了NH3氧化,同时对NSCR反应造成一定影响,导致反应产物从N2转化为N2O。
陈建军,清华大学环境学院副研究员。先后在复旦大学、清华大学和法国卡昂大学获得学士、硕士和博士学位。于 2016 年入职清华大学环境学院,现任大气污染物与温室气体协同控制国家工程研究中心副主任,教工党支部书记。先后主持国家重点研发计划课题 / 子课题、国家自然科学基金面上项目/青年基金和总理基金项目等。近 5 年以第一或通讯作者身份在 Nat. Commun.、Angew. Chem. Int. Ed.、ACS Catal.、Environ Sci Technol 和 Appl. Catal. B 等国际学术期刊上发表 SCI 论文 50 余篇,H 指数 49。以第一完成人获得国家发明专利授权 10 项。以主要完成人获得国家科技进步一等奖、第 47 届日内瓦国际发明展金奖等国内国际科技奖项。长期从事工业烟气多污染物与温室气体协同控制技术研究。
邢佳颖,博士,清华大学环境学院博士后,主要从事烟气多污染物协同控制和重金属捕集研究。近五年来以第一作者在 Environ Sci Technol、Appl. Catal. B-Environ.、Chem. Eng. J 等期刊上发表英文论文10余篇,主持国家自然科学基金青年科学基金项目、博士后基金面上资助项目、国家重点研发计划子课题,获得清华大学“水木学者”、河北省优秀博士学位论文、北京市优秀毕业生、国家奖学金等荣誉。
J. Xing, Z. Liu, P. Wu, G. Wang, H. Liu, J. Chen, C. Wang, J. Li, Weak Mo=O covalency and surface lattice oxygen activation of V2O5-MoO3/TiO2 catalyst cause N2O emission during NH3-SCR process. Appl. Catal. B-Environ., 2025.
文章链接:https://www.sciencedirect.com/science/article/abs/pii/S092633732500699X
声明

