第一作者:余小梅
通讯作者:王翔、徐骏伟
通讯单位:南昌大学,江西省科学院应用化学研究所
论文DOI:10.1016/j.apcatb.2025.125922
本文采用共沉淀法(NC-CP)、柠檬酸溶胶-凝胶法(NC-SG)和甘氨酸-硝酸盐燃烧法(NC-GNC)制备了系列具有无序缺陷萤石结构的Nd-Ce-O二元氧化物,并将其应用于乙烷氧化脱氢(ODHE)反应。结果表明,NC-SG催化剂在450 °C时C2H4产率达到17.5%,而NC-GNC催化剂在600 °C时C2H4产率可达26.8%,其性能显著优于相同金属摩尔比例的纯Nd2O3、CeO2及其物理混合物,说明催化性能的提升源于其独特的晶体结构而非单一氧化物的简单叠加。此外,催化剂表面的氧空位所产生的双原子氧物种(O2-和O22-)对低温反应性能起主导作用;而在高温下,反应性能则同时受到由晶格热膨胀产生的额外氧空位、双原子氧物种以及表面晶格氧的协同调控。另一方面,催化剂表面Nd的富集程度可影响其碱性位点的数量和强度,即Nd富集程度越高,碱性越强,碱性位点密度也越大。
乙烷氧化脱氢(ODHE)反应通过引入氧化剂产生放热效应,从而克服热力学限制,可在较低温度下实现较高的乙烯产率。与传统的乙烯生产工艺相比,ODHE技术具有更优的经济性和更温和的反应条件,是一种极具前景的替代路线。在A2B2O7型复合氧化物中,无序缺陷萤石结构及稀土C型晶体结构的B位通常以Ce为主。该类材料具有开放的晶体结构、丰富的本征氧空位和出色的氧迁移能力,因此在涉及气态O2的热催化反应(如甲烷氧化偶联和碳烟颗粒燃烧)中表现出良好的催化活性。这类含Ce复合氧化物或掺杂CeO2的材料是研究氧空位与催化性能之间关系的理想模型,其原因包括两方面:(1)XPS Ce 3d谱中Ce3+的含量与表面氧空位浓度呈正相关;(2)拉曼光谱中位于575 cm-1处的振动峰被指认为氧空位的特征信号。我们的前期研究结果表明,具有无序缺陷萤石结构的La0.5Ce0.5O1.75在低温ODHE中表现出优良的反应性能;此外,我们还发现非化学计量的稀土C型Nd-Ce-O二元氧化物在低温甲烷偶联反应中具有优异催化活性。基于上述研究,我们认为该类含Ce的A2B2O7复合氧化物有望在ODHE反应获得良好的性能,并具有潜在的应用前景。
1. 无序缺陷萤石相Nd-Ce-O比单一组分Nd2O3和CeO2氧化物及其混合物具有更高的C2H4产率。NC-SG催化剂表现出良好的低温反应性能,而NC-GNC催化剂表现出优良的高温性能。
2. Nd的表面富集有效影响了催化剂的表面碱性和碱位点数量;Nd富集度越高,碱性越强,其碱性位点丰度越大。
3. 氧空位上活化氧分子所产生的超氧(O2-)和过氧(O22-)中心可有效提高低温反应性能;而氧空位、活性氧、碱性位点和表面晶格氧(O2-)协同作用可提高高温反应性能。
1. 催化剂的结构表征
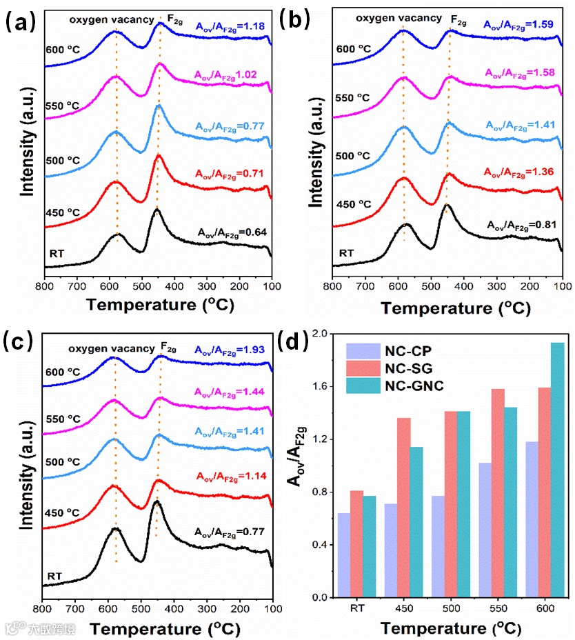
图1的HAADF STEM mapping结果表明Nd、Ce和O元素高度均匀分布。如图2所示,XRD和Raman结果也证明所有催化剂呈现与CeO2相似的衍射峰,与无序缺陷萤石结构高度匹配(PDF#97-002-8790)。此外,在Raman结果中观察到579 cm-1处的氧空位特征峰。利用AOv/AF2g比例定量了表面氧空位浓度,其顺序位NC-SG>NC-GNC>NC-CP,与反应性能相一致。XPS结果表明,所有催化剂中Nd的价态为+3价;其Ce3+含量顺序与Raman氧空位顺序相一致。其中性能最佳的NC-GNC催化剂表面Nd的富集程度最大。
图1. High magnification HAADF STEM mapping images (a) NC-CP, (b) NC-SG and (c) NC-GNC.
图2. (a) XRD patterns of the samples, (b) Raman spectra of the samples. XPS spectra of the samples (c) Nd 3d and (d) Ce 3d.
2. 催化剂的乙烷氧化脱氢反应性能
乙烷氧化脱氢反应结果表明(图3),采用柠檬酸溶胶凝胶法制备的NC-SG具有良好的低温反应性能,在450 ℃下C2H4产率即可达到18.5%;而通过甘氨酸燃烧法合成的NC-GNC具有良好的高温反应性能,在600 ℃下C2H4产率可达到27%,且该催化剂具有良好的结构稳定性。
图3. ODHE reaction performance over the catalysts (a) C2H6 conversion, (b) O2 conversion, (c) C2H4 selectivity, (d)C2H4 yield. Reaction condition: C2H6/O2/Ar=1/1/8, WHSV=18,000 mL-1·h-1·g-1. (e) Long-term stability test of 80 h on the NC-GNC catalysts. (f) Arrhenius plots of the catalysts for ODHE reaction.
3. 催化剂活性氧和碱性位点分析
采用EPR定量了表面氧空位,并利用O2-TPD分析了催化剂的活性表面氧物种。图4(a)的EPR结果显示g=2.003为氧空位捕获单个电子的信号,其强度顺序为NC-SG > NC-GNC > NC-CP,与表面Ce3+含量和拉曼定量的氧空位含量相一致。在图4(b)中,O2-TPD的定量结果表明,与NC-CP催化剂相比,NC-SG和NC-GNC催化剂具有更多种类的氧物种,其活性氧脱附量遵循以下顺序:NC-SG(0.31 μmol/m2)> NC-GNC(0.18 μmol/m2)> NC-CP(0.06 μmol/m2)。此外,利用CO2吸附红外光谱和CO2-TPD技术探讨了催化剂表面的碱位点性质。图4(c)显示,位于1479–1482 cm-1和1378–1386 cm-1的波数范围分别与单齿碳酸盐的不对称和对称伸缩振动相关。三个样品的波数差异遵循以下顺序:NC-GNC(95 cm-1)< NC-SG(101 cm-1)< NC-CP(108 cm-1),而它们的碱性则遵循相反的顺序,即NC-GNC >NC-SG >NC-CP,表明表面碱性与Nd在表面的富集程度相关。CO2-TPD定量结果如图4(d)所示,对应于各催化剂中等碱性位点的CO2脱附量遵循NC-GNC(11.8 μmol/m2)> NC-SG(4.4 μmol/m2)> NC-CP(3.6 μmol/m2)的顺序,与Nd的表面富集度和催化剂的高温ODHE反应性能一致。
图4. (a) EPR spectra of the catalysts, (b) O2-TPD profiles of the catalysts, (c) CO2 adsorption IR spectra of the catalysts, (d) CO2-TPD profiles of the catalysts and (e) Relationship between the amount of basic sites and C2H4 yield at 600 oC.
4. 活性氧鉴定分析
为揭示催化剂表面活性位点随反应温度升高而实时变化的有关情况,我们对其进行了原位拉曼表征。如图5(a)-(c)所示,所有催化剂的氧空位浓度均随着反应温度升高而增加。但是,NC-CP催化剂的氧空位浓度随反应温度的升高而上升缓慢,而NC-SG催化剂的氧空位浓度上升更快。值得注意的是,在450 °C时,氧空位浓度仍遵循NC-SG>NC-GNC>NC-CP的顺序;在600 °C时,则顺序为NC-GNC>NC-SG>NC-CP,与在此温度下观察到的催化反应性能相一致。
图5. In situ Raman spectra of catalysts under air atmosphere at different temperatures. (a) NC-CP, (b) NC-SG, (c) NC-GNC. (d) Relationship between AOv/AF2g and temperature under 10% O2-Ar atmospheres.
采用原位DRIFT和C2H6脉冲实验进一步鉴定了活性氧物种类型。在500 ℃下于850 和1100 cm-1 处观察到的IR峰可分别归属于O22-和O2-。此类氧物种在H2气氛下可被还原,确认其为ODHE反应的活性氧物种。分别利用O2-Ar和H2-Ar预处理催化剂后进行C2H6脉冲实验,如图6(c)-(d)所示,C2H6与化学吸附的O22-和O2-在高温下反应生成的C2H4峰强度与C2H6和晶格氧反应生成的C2H4峰强度相当,这表明在高温下,催化剂的表面晶格氧比在低温下更有利于C2H4的选择性。
图6. In situ DRIFTS spectra of the (a) NC-GNC and (b) NC-CP samples treated in 10%O2-Ar gas mixture flow, 10%H2-Ar gas mixture flow and 10%O2-Ar gas mixture flow at 500 °C. C2H6 pulse experiment at different temperatures of NC-GNC sample. (c) 450 °C, (d) 600 °C.
为进一步阐明活性氧活化机制,对催化剂进行了同位素18O2-TPSR-MS实验。如图7(a)-(c)所示,在所有催化剂上,350–600 ℃温度范围内主要生成16O16O,表明催化剂18O2的交换主要遵循多重异交换机制,即可交换活性物种主要是双原子氧(O2-或O22-),其数量遵循NC-GNC>NC-SG>NC-CP的顺序,与三个催化剂的高温ODHE反应性能相一致。
图7. 18O2-TPSR-MS experiments. (a) NC-CP, (b) NC-SG and (c) NC-GNC.
5. DFT计算
采用DFT计算进一步阐明了乙烷的催化活化过程,分别计算了在723.15和823.15 K下催化剂表面晶格氧O2-对乙烷的活化,以及催化剂在氧辅助下对乙烷的活化。如图8(a)所示,在723.15 K时,表面O2-活化乙烷的能垒为0.80 eV,而C2H5*脱氢生成乙烯的能垒为1.11 eV;随着温度的升高,这些能垒略有所降低。相比之下,图8 (b) 表明在723.15 K时,表面O22-对乙烷活化的能垒为0.66 eV,而C2H5*脱氢生成乙烯的能垒为1.02 eV。与表面O2-相比,O22-物种可将乙烷活化的能垒降低约0.16 eV,将乙烯形成的能垒降低约0.13 eV。此外,通过提高温度,两步反应的能垒可在表面O22-物种的作用下降低。因此,表面O22-物种表现出更好的乙烷活化能力,更有利于反应的进行。
图8. Activation energy curves of C2H6 on Nd0.5Ce0.5O1.75 (111) at different temperatures: C2H6 activated by (a) O2-, (b) O22-.
在该研究中,我们通过不同方法制备了具有无序缺陷萤石相的Nd0.5Ce0.5O1.75催化剂。目前这类催化剂用于ODHE反应仍报道较少。我们研究表明,形成无序缺陷萤石晶相结构是影响反应性能的关键原因。其次,催化剂表面的Nd富集可提高催化剂表面碱性强度和碱性位点数量,即Nd富集度越高,碱性越强,碱性位点丰度越大。DFT计算结果表明催化剂表面的O22-比O2-能更好地活化乙烷。本研究为制备新型高效A2B2O7型复合氧化物催化剂用于ODHE反应提供了理论指导。
Yu, X., Xu, J., Guo, L., Zhou, J., Ruan, W., Fang, X., Wang, X. (2025). Non-noble metal Nd-Ce-O fluorite catalysts with excellent performance for the oxidative dehydrogenation of ethane (ODHE): Active site regulation strategy. Applied Catalysis B: Environment and Energy, 2025, 125922.
王翔,南昌大学化学化工学院教授,博士生导师,“赣江学者”特聘教授,江西省“双千计划”长期创新领军人才,“215”工程高层次人才,江西省环境与能源催化重点实验室主任,南昌大学化学学院教授委员会主任。长期从事多相催化,工业催化和表面结构化学研究。在环境催化,清洁能源催化,稀土催化材料等方向开展了系统的工作。已在在ACS Catal., J. Catal., J. Phys. Chem. Lett., Inorg. Chem., Chin J. Catal.等国内外化学化工期刊发表学术论文300余篇,被引用8000余次,H因子50。现担任中国化学会催化专业学术委员会委员,中国化学会催化剂制备学术委员会委员,中国稀土学会催化专业学术委员会委员,全国环境催化与环境材料学术委员会委员和中国能源学会能源与环境专业委员会委员等。主持国家自然科学基金、省支撑计划项目,省自然科学基金重点项目,江西省教育厅科技落地计划项目和重大横向项目等17项。获授权美国专利1项,中国发明专利14项。部分研究结果已投入实际应用。
徐骏伟,江西省科学院应用化学研究所,副研究员,长期从事稀土烧绿石和钙钛矿型复合氧化物用于小分子烷烃活化的研究。主持和参与了国家自然科学基金面上项目、青年项目、江西省自然科学基金重点项目在内的多项国家及省部级项目。在ACS Catal., J. Catal., J. Phys. Chem. Lett.,Inorg. Chem.等期刊发表论文30余篇;撰写专著《有机化合物核磁共振谱图解析》,《天然产物波谱规律》和《实用有机核磁共振波谱学》等。
余小梅,南昌大学化学化工学院博士研究生。主要研究方向为研制高性能催化材料用于甲烷氧化偶联和乙烷氧化脱氢制乙烯,并探讨其构效关系。已在Appl. Catal. B Environ., Inorg. Chem., Chem. Mater., Appl. Surf. Sci.等期刊以第一作者发表SCI论文5篇。
声明

