第一作者:Xinlong Liao1†, Zhenxu Yang2†
通讯作者:黄志伟1*, 班涛2*
通讯单位:1.华侨大学化工学院,福建厦门;2.新疆大学化工学院,新疆乌鲁木齐
论文DOI:10.1016/j.apcatb.2025.125882
近日,华侨大学化工学院黄志伟教授和新疆大学班涛副教授共同合作,面对柴油车尾气处理中铂基催化剂因高温烧结而失活这一行业长期痛点,通过原子级“掺杂改性”给出了创新解决方案。该研究创新性地采用锑掺杂二氧化锡(ATO)为载体,通过构筑 “Sb-O-Pt电子桥梁”成功将铂纳米颗粒牢牢锚定。基于表征和理论计算的结果,Pt/ATO催化剂在经历800°C、48小时的极端老化后仍能保持约3纳米的微小尺寸,远优于传统Al2O3(>50 nm)和SnO2(12 nm)载体。性能测试表明,老化后的Pt/ATO催化剂在150°C低温下对一氧化碳的转化率仍超过95%,大幅领先于传统Pt/Al2O3催化剂。相关成果以“Insights into dopant-driven strong metal-support interactions for highly active and ultra-stable diesel oxidation catalysts”为题,于2025年8月24日发表于Applied Catalysis B: Environment and Energy杂志。
在能源与环境催化领域,设计高活性、高稳定性的催化剂是应对严峻环境挑战的关键。高温条件下,贵金属催化剂因纳米颗粒烧结导致活性位点减少而失活,这一直是制约其实际应用的瓶颈问题。铂基催化剂虽在柴油车尾气一氧化碳净化中表现优异,但传统氧化物载体(如Al2O3、SnO2)难以在高达800°C的苛刻水热环境中有效稳定铂颗粒,致使催化剂因烧结而性能急剧下降。目前,通过调控金属-载体相互作用(SMSI)来增强抗烧结能力是一种极具潜力的策略。近年来,掺杂改性金属氧化物成为研究热点,其中ATO因其可调的电子特性与稳定的晶体结构,展现出作为高性能催化剂载体的巨大潜力,但其在抑制Pt烧结方面的作用与机制仍有待深入探索。
本研究针对Pt基柴油氧化催化剂在高温水热环境中易烧结失活的核心难题,创新性地提出采用ATO为载体,通过构建独特的“Sb–O–Pt”强相互作用界面,实现了对Pt纳米颗粒的精准锚定。即使在800°C苛刻老化48小时后,Pt粒径仍可保持在约3 nm,并在一氧化碳氧化反应中表现出95%以上的高转化率,性能显著优于传统载体。该工作为设计下一代高抗烧结高温工业催化剂提供了新思路。
首先,图1a-1c展示了Pt/ATO催化剂在新鲜状态、800℃水热老化24小时和48小时后的HAADF-STEM图像及粒径分布统计。新鲜样品中Pt颗粒均匀分散,平均尺寸约为1.0 nm(图1a);经24和48小时老化后,颗粒仅适度增大至2.7 nm左右并趋于稳定(图1c),表明ATO载体有效抑制了铂颗粒的烧结。相比之下,Pt/Al2O3在相同老化条件下颗粒急剧长大至50 nm(图1f),Pt/SnO2也增至12 nm(图1h)。图1i定量数据显示,Pt/ATO的颗粒稳定性显著优于传统载体。这种优异抗烧结性能源于Sb3+掺杂所增强的金属-载体相互作用,通过界面键锚定铂颗粒,抑制其迁移和聚集。该研究突显了ATO作为高性能柴油氧化催化剂载体的潜力。
图1. 不同处理条件下铂基催化剂的微观结构。(a-c)为Pt/ATO样品:(a)新鲜样品,(b)经800oC水热老化24小时后,(c)相同条件下老化48小时后。(d-f)为Pt/Al2O3样品:(d)新鲜样品,(e)经800oC老化24小时后,(f)老化48小时后。(g-h)为Pt/SnO2参比样品:(g)新鲜样品,(h)经800oC老化24小时后。各图中的插图示出了相应的铂颗粒粒径分布。(i)为总结各催化剂在新鲜状态、老化24小时和48小时后的平均铂颗粒粒径(单位为纳米)的表格。图像清晰揭示了不同载体材料和老化条件下铂颗粒尺寸与分布的显著差异,其中Pt/ATO相较于传统载体表现出卓越的抗烧结稳定性。
随后,图2a展示了Pt/ATO样品在老化前后的XRD图谱。新鲜样品中未检测到Pt(111)衍射峰,表明Pt颗粒尺寸小于2 nm。经800oC水热老化24 h和48 h后,均在39.8°处出现明显的Pt(111)衍射峰,但其强度在24 h与48 h样品间基本不变,说明Pt颗粒在24 h后已趋于稳定,未进一步烧结。这一结果与HAADF-STEM观测一致,共同证实ATO载体对Pt颗粒具有优异的稳定作用。相比之下,在相同老化条件下,Pt/Al2O3和Pt/SnO2均出现显著增强且宽化的Pt(111)峰(图2b, 2c),表明发生了严重的颗粒聚集。这表明传统载体因缺乏类似Sb掺杂所引入的强锚定位点,无法有效抑制Pt颗粒在高温下的迁移和长大。
图2. (a) Pt/ATO、(b) Pt/Al2O3和(c) Pt/SnO2催化剂在新鲜状态以及在800°C下水热老化24小时和48小时后的XRD谱图。
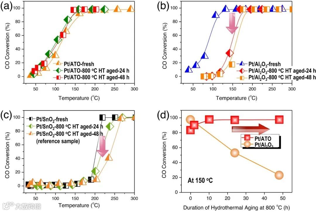
随后,在模拟柴油尾气(0.1% CO,10% O2,N2平衡)条件下,对经过800°C水热老化0-48小时的Pt/ATO催化剂进行了CO氧化性能测试。如图3a所示,新鲜Pt/ATO的T90为160°C;老化24小时后活性不降反升,T90降至140°C;即使经历48小时老化,其活性仍得以完全保持,这与Pt颗粒尺寸的稳定(图1、2)以及Sb掺杂优化Pt电子结构、增强金属-载体相互作用密切相关。相反,Pt/Al2O3和Pt/SnO2在相同老化后均因严重烧结导致活性急剧下降(图3b, 3c)。从持续老化时间关系图(图3d)可进一步看出,Pt/ATO在150°C下维持95%以上转化率长达48小时,而Pt/Al2O3迅速失活,转化率低于30%,Pt/SnO2则因严重失活而未参与比较。
图3. 负载铂催化剂的催化一氧化碳(CO)氧化性能和水热稳定性。(a)新鲜和经水热老化的Pt/ATO催化剂(800°C,24小时、48小时老化)的CO转化率随温度变化曲线。(b)在相同老化条件下Pt/Al2O3催化剂的CO氧化活性对比。(c)Pt/SnO2催化剂(新鲜、24小时、48小时老化)的CO转化效率与温度的关系,包括一个参考样品。(d)在150°C下,Pt/ATO和Pt/Al2O3催化剂的CO转化率随水热老化时间的变化。
接着,通过XPS揭示了Pt/ATO催化剂中独特的Sb-O-Pt电子相互作用机制。与新鲜样品相比,经800°C-48 h老化后,Pt 4f结合能负移约0.25 eV,表明Pt金属性增强;而Sb 3d3/2结合能正移0.3 eV,说明Sb氧化态升高,发生电子向Pt的转移。Sn 3d谱峰则未发生位移,表明Sn未参与强相互作用。这种Sb诱导的电荷重排和Sb-O-Pt键的形成,为Pt纳米颗粒提供了强锚定位点,有效抑制其迁移和烧结。相比之下,Pt/SnO2和Pt/Al2O3在老化后仅观察到Pt的金属化与严重烧结,其载体元素的电子结构未发生明显变化,缺乏有效的金属-载体相互作用,导致性能急剧下降。该研究从电子尺度阐明了Sb掺杂在增强Pt与载体间相互作用、提升抗烧结性能中的关键作用。
图4. Pt/ATO和Pt/ATO-800°C-老化48小时催化剂的XPS谱图:(a) Pt 4f、(b) Sn 3d和(c) Sb 3d(Sb 3d5/2与O 1s信号);Pt/SnO2和Pt/SnO2-800°C-老化48小时催化剂的XPS图:(d) Pt 4f、(e) Sn 3d和(f) O 1s的;以及Pt/Al2O3和Pt/Al2O3-800°C-老化48小时催化剂的XPS图:(g) Pt 4d5/2(因与Al 2p光谱重叠而分析Pt 4f)、(h) Al 2p和(i) O 1s,展示了水热老化前(黑色曲线)和后(彩色曲线)Pt与载体(ATO、SnO2、Al2O3)之间的电子相互作用。
在此基础上,通过H2-TPR和DFT计算,本研究从还原性质与原子键合角度揭示了Pt/ATO催化剂优异抗烧结性能的机理。H2-TPR表明,Pt/ATO中Sb3+的还原起始温度(385°C)显著低于SnO2中Sn4+的还原温度(455°C),说明Sb掺杂弱化了SnO2晶格中的M-O键,增强了表面氧的迁移率和还原性,为Pt锚定提供了更多活性位点。DFT计算进一步证实,Pt10团簇在ATO表面的吸附能(-13.78 eV)远高于在SnO2(-10.63 eV)和Al2O3(-4.38 eV)上,同时Pt团簇从ATO获得更多电子(Bader电荷:-1.2 e-),形成强共价性的Sb-O-Pt界面键。这种键合有效抑制了Pt颗粒的迁移和烧结。尽管Pt/Al2O3因Pt d带中心较高而表现出略优的初始CO氧化活性,但其较弱的金属-载体相互作用导致严重烧结和性能衰减。Pt/ATO则通过Sb诱导的强界面耦合,在维持高分散度的基础上实现了持续的高活性,凸显了电子调控与结构稳定在高温催化中的关键作用。
图5. (a) 经48小时高温老化后的Pt/ATO-800°C、Pt/Al2O3-800°C和Pt/SnO2-800°C样品的H2-TPR曲线。(b) 使用PBE泛函的密度泛函理论计算表明,ATO中的Sb掺杂通过增强的电子转移和更强的载体-Pt相互作用,提高了Pt团簇的粘附能和稳定性。
最后,Pt/ATO催化剂在苛刻条件下表现出卓越的稳定性和抗干扰能力。在150°C的长期稳定性测试中(图6a),经历48小时老化的Pt/ATO样品在无水条件下CO转化率始终维持在98%以上;即使引入5%水蒸气,活性仅短暂轻微下降并迅速恢复,去除水蒸气后性能完全复原。在更接近实际尾气的多组分气氛中(500 ppm C3H6 + 500 ppm NO + 1000 ppm CO),尽管存在竞争吸附,老化24 h和48 h的Pt/ATO样品仍表现出高度一致的CO和烃类转化曲线(图6b, 6c),T90仅轻微升高至184°C,进一步证实其优异的抗烧结和结构稳定性。相比之下,在相同条件下,Pt/Al2O3和Pt/SnO2老化后活性严重下降(图S6、S7)。这些结果凸显了Sb掺杂ATO载体在提升催化剂耐久性与实际应用潜力方面的关键作用。
图6. (a) 在150°C,交替通入5% H2O的条件下,经800°C高温热处理老化48小时的Pt/ATO催化剂的CO转化稳定性;(b) CO和(c) HC转化率与温度(50-300°C)的关系,针对在模拟尾气条件(500 ppm C3H6+ 500 ppm NO + 1000 ppm CO)下,老化24小时和48小时的Pt/ATO催化剂。
本研究表明,ATO作为一种先进的铂基柴油氧化催化剂载体,展现出显著的应用潜力。通过系统的结构、谱学和催化性能研究,我们证实Sb掺杂可诱导出强金属-载体相互作用,有效抑制Pt纳米颗粒在800℃苛刻水热条件下的烧结。Pt/ATO在经历48小时老化后仍能将Pt颗粒尺寸稳定在3 nm左右,并保持95%以上的CO转化率,显著优于发生严重烧结的传统Pt/Al2O3和Pt/SnO2催化剂。表征和理论计算一致表明,独特的Sb–O–Pt界面键合作用是实现该优异稳定性的关键机制,其为Pt颗粒提供了强大的锚定位点,显著提高了抗迁移和抗聚集能力。本研究不仅为解决高温催化剂的烧结失活问题提供了有效策略,也为设计下一代高耐久性工业催化剂提供了重要理论依据与技术蓝图。未来,这一策略可进一步拓展至其他高温催化体系,推动汽车排放控制、能源转化及化工合成等多个工业领域的催化剂技术进步。
文章链接:https://www.sciencedirect.com/science/article/abs/pii/S0926337325008653
2017 年获上海市科学技术奖二等奖(环境催化方向),2021 年入选华侨大学中青年教师科技创新资助计划。
团队依托华侨大学化工学院与福建省环境功能材料重点实验室,已建成“材料制备—表征—反应评价—机理研究—中试放大”全链条研发平台,配备固定床反应系统、原位红外-质谱联用、H2-TPR、NH3-TPD 等完备的环境催化仪器。
聚焦环境催化材料,围绕大气污染控制开展以下研究:
烟气脱硝:开发抗碱(土)金属中毒脱硝催化剂与低温抗水抗硫 SCR(选择性催化还原)催化剂;
VOCs 去除:设计高负载贵金属单原子及廉价高效 VOCs 催化燃烧催化剂;
移动/固定源:研制抗烧结车载 DOC(柴油氧化催化剂)。
面向产业需求,团队诚邀具有下列方向需求的企业合作:
• 抗烧结车载DOC的长效设计
• 低温抗水抗硫SCR 催化剂规模化生产
• 廉价高效VOCs 催化燃烧催化剂技术转化
联络邮箱:zwhuang1988@163.com
本课题组将持续聚焦环境催化前沿,致力于为工业烟气治理提供高效技术解决方案,欢迎各界同仁交流合作!
声明

