第一作者:李旭研究员
通讯作者:陈奕臻博士、刘景月教授、夏川教授
通讯单位:电子科技大学、加州大学戴维斯分校、亚利桑那州立大学
论文DOI:https://doi.org/10.1021/jacs.5c07056
研究团队通过构筑氧化铈(CeOx)纳米岛限域的铂(Pt)团簇体系,精确调控其尺寸(0.7 nm、1.5 nm、2.2 nm),系统揭示了Pt团簇在反应气氛中结构演变的规律。在H2气氛中,Pt团簇被限域在纳米岛内稳定;而在CO气氛中,Pt物种能够突破CeOx的限制,在SiO2表面发生迁移,再次被邻近的CeOx纳米岛捕获,从而形成尺寸更大的团簇。
催化CO氧化过程中,不同尺寸Pt团簇表现出截然不同的活性与重构行为:
- 0.7 nm 团簇:由于表面能高,在氧化环境下易被O2氧化,发生碎裂并失活,最终转化为单原子物种。
- 1.5 nm 团簇:在反应气氛中表现出极强的稳定性,仅有表面部分氧化,仍能保持原有的团簇结构,并提供最优的活性与稳定性。
- 2.2 nm 团簇:因分散度较低,活性虽稳定但低于1.5 nm团簇。
该研究首次提出Pt团簇存在关键尺寸阈值,揭示了不同尺寸在稳定性与活性间的权衡规律,为纳米团簇催化剂的理性设计提供了明确方向。
负载型贵金属催化剂广泛应用于能源转化、化工合成及环境治理中。传统Pt、Pd、Rh等金属纳米颗粒在降低贵金属用量和提升效率方面发挥了重要作用,但随着颗粒尺寸继续减小至亚纳米尺度,其表面能迅速升高,极易烧结、迁移或在强氧化气氛中发生碎裂,从而丧失催化活性。
亚纳米团簇由于几乎所有原子均暴露在表面,理论上能提供极高的原子利用率和优异的活性。然而,这类团簇往往处于“活性与稳定性难以兼得”的困境。如何在“原子利用率”、“结构稳定性”和“催化活性”之间取得平衡,是催化科学长期存在的挑战。
CeOx纳米岛因具有较强的金属-载体相互作用与氧化还原能力,被认为是稳定小尺寸金属团簇的理想载体。本研究正是在前期的“纳米岛”催化剂研究基础上,利用CeOx纳米岛对Pt物种的限域效应,系统探索了不同气氛下Pt团簇的迁移与重构规律。
要点一:合成与限域
研究团队采用静电吸附的方法,将Pt前驱体选择性地锚定在SiO2表面的CeOx纳米岛上,借助CeOx的强金属–载体相互作用实现对Pt物种的精准控制。经过高温还原处理后,研究人员在不同气氛下成功获得了不同尺寸的Pt团簇。在H2气氛中,Pt物种被稳定地限域于CeOx纳米岛内部,形成了高度分散的0.7 nm团簇;而在CO气氛中,Pt–O–Ce键被削弱,Pt原子迁移并发生聚集,重新结合为平均直径约1.5 nm的团簇;当CO处理时间进一步延长,团簇会继续长大,最终形成约2.2 nm的颗粒。这一方法不仅提供了精确可控的团簇尺寸,而且为后续研究不同尺寸Pt团簇的重构和催化行为奠定了实验基础。
图1 Pt原子迁移形成团簇的调控。a, b:0.5 wt% Pt/CeOx/SiO2在400 ℃下H2气氛处理1小时后的HAADF-STEM图像,以及对应箭头方向的强度分布。c, d:0.5 wt% Pt/CeOx/SiO2在400 ℃下通入CO气氛处理1小时后的HAADF-STEM图像。e:示意图展示了H2和CO气氛中Pt原子的迁移动向。
要点二:原位谱学表征
在表征实验中,研究团队利用CO-DRIFTS光谱和X射线吸收光谱揭示了不同气氛下Pt原子的迁移轨迹和化学环境演变。在CO气氛中,Pt物种逐渐游离并在临近的CeOx纳米岛上重新聚集长大,表现出明显的迁移特征;而在H2气氛中,CeOx纳米岛表面形成的–OH基团则有效地固定了Pt,使其难以外迁。高分辨透射电镜图像进一步证实了这一过程,显示Pt物种在CO环境下的确可以突破CeOx的局域限制,但最终仍被其他CeOx纳米岛重新捕获。这些实验结果清晰地表明,反应气氛对Pt团簇的稳定性和分布形态具有决定性的调控作用。
图2 Pt团簇的原位表征。a, b:CO吸附DRIFTS光谱表征:(a) 0.7 nm和(b) 1.5 nm Pt团簇催化剂。c, d:原位XANES光谱表征0.5 wt% Pt/CeOx/SiO2样品。分别在100、200、300和400 ℃下采集,气氛为H2 (c) 和CO (d)。e, f:Pt EXAFS数据的小波变换结果,分别对应H2还原的0.7 nm (e) 和CO还原的1.5 nm Pt团簇 (f)。
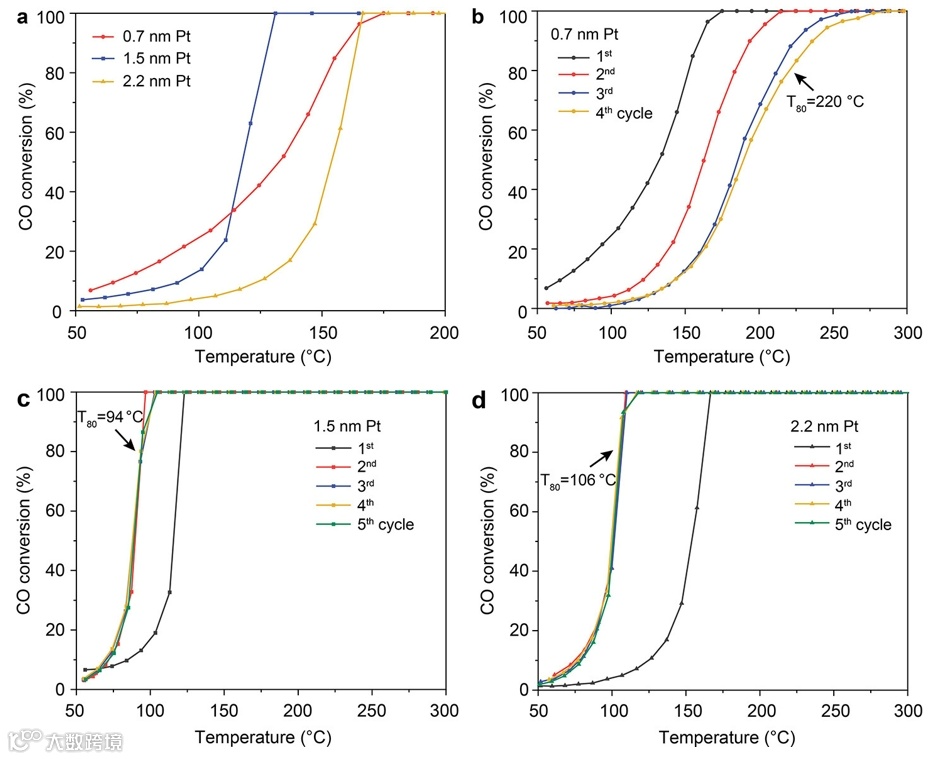
要点三:催化性能
在CO氧化反应中,不同尺寸的Pt团簇表现出显著的活性与稳定性差异。0.7 nm团簇在低温下具有较高的活性,但由于其高表面能,在升温过程中极易被O2氧化,逐渐碎裂为单原子,从而导致催化活性快速衰减。相比之下,2.2 nm颗粒虽然在高温下保持了较好的结构稳定性,但其因分散度不足,单位质量的催化活性远低于小尺寸团簇。最为突出的是1.5 nm团簇,它们在反应中既能保持较好的结构完整性,又展现出优异的催化性能,在循环测试中甚至出现了“激活效应”,表现为活性随反应进行而逐步增强。实验数据显示,这类团簇的T80值仅为94 ℃,同时拥有最高的反应速率,成为最优催化剂尺寸。
图3 Pt团簇在CO氧化反应中的催化性能评估。a:在升温速率为1 ℃·min-1条件下,加热至300 ℃过程中,0.7 nm、1.5 nm和2.2 nm Pt团簇催化剂的CO转化率曲线。b:0.7 nm Pt团簇的CO氧化曲线。c:1.5 nm Pt团簇的CO氧化曲线。d:2.2 nm Pt纳米颗粒的CO氧化曲线。
要点四:重构机制
进一步的光谱与电镜分析揭示了不同尺寸Pt团簇在氧化条件下的重构机制。0.7 nm的超小团簇因表面能过高,在氧气的作用下发生不可逆的碎裂,逐渐转变为单原子态,最终失去催化活性。而1.5 nm团簇则仅在表面发生轻微的氧化和结构调整,内部骨架得以保持,从而维持了高稳定性和活性。结合理论计算,研究人员发现小团簇中的Pt–Pt结合能远低于大团簇,因此更容易被氧化分散;而较大的团簇则能通过较强的内部结合能抵御氧化环境的侵蚀。基于这些结果,团队提出了“尺寸依赖的重构机制模型”,系统解释了不同尺寸团簇在稳定性和活性之间的差异,也揭示了为何1.5 nm成为最优结构。
图4 CO氧化反应后Pt团簇的谱学表征。a:在升温至300 ℃完成一次CO氧化循环后,0.7 nm和1.5 nm Pt团簇的CO DRIFTS光谱。b:Pt的XANES数据。c, d:在完成一次CO氧化循环后,(c) 0.7 nm和(d) 1.5 nm Pt团簇催化剂的Pt 4f XPS光谱。e:示意图展示CO氧化反应后Pt催化剂的结构状态。
阐明金属物种在不同条件下的尺寸依赖重构行为,有助于新型催化剂的开发或催化剂失活的最小化。本研究中,锚定在CeOx纳米岛上的平均尺寸为0.7、1.5和2.2 nm的铂团簇在暴露于H2或CO所引发的氧化还原反应中表现出不同的反应与演变特征。理论模拟结合HAADF-STEM成像、原位XAS数据和原位红外光谱表明,不同反应气氛下铂与CeOx纳米岛之间存在截然不同的相互作用,从而影响了铂的迁移行为与结构重构。在H2气氛中,即使在高温条件下,受纳米岛限域的铂团簇依然保持小尺寸稳定;而在CO气氛中,铂发生迁移并聚集形成更大的团簇,最终仍处于CeOx纳米岛上。平均尺寸为0.7 nm的铂团簇在CO氧化反应中发生氧化碎裂并导致活性下降,而1.5 nm的铂团簇则表现为部分表面氧化且活性上升。本研究揭示了催化剂活性与稳定性之间的权衡关系,其中1.5 nm的铂簇在CO氧化催化中表现为最优尺寸。本文的结果表明,通过选择合适尺寸的负载金属团簇,可以在催化活性、稳定性与金属原子利用率之间实现最佳平衡。
Xu Li, Nan Zhang, Di Wu, Yuan Ji, Jingyi Zhang, Jiankang Zhao, Yizhen Chen*, Bruce C. Gates, Jingyue Liu*, Chuan Xia*. Size-Dependent Restructuring of Supported Platinum Cluster Catalysts. J. Am. Chem. Soc. 2025
https://pubs.acs.org/doi/10.1021/jacs.5c07056
声明

