第一作者:汪家仁
通讯作者:吴张雄
通讯单位:苏州大学
论文DOI:10.1021/acs.est.5c05865
近日,苏州大学材料与化学化工学部的吴张雄教授课题组在Environmental Science & Technology上发表题为“Fully Amorphous Cerium/Carbon-Doped Manganese Oxides with Tailor-Made Pore and Electronic Properties for Superior Catalytic Ozone Decomposition”的研究论文(DOI:10.1021/acs.est.5c05865)。针对锰氧化物在催化臭氧分解过程中存在活性位点暴露不足和易失活的问题,吴张雄教授团队通过一种创新的分子发泡策略,成功合成了具有定制化分级大孔-介孔结构和电子特性的非晶Ce/C掺杂Mn2O3催化剂,可在高湿度条件下实现高效而稳定分解臭氧(O3)。催化剂的合成通过组氨酸与原子级混合金属离子形成非晶态金属-有机配位复合物实现,借助Ce/C在Mn2O3骨架中的掺杂以及组氨酸(His)的自发气泡效应和还原作用,该复合物经煅烧后形成分级多孔的非晶态Mn2O3。实验结构与理论计算表明,催化剂的卓越性能源于三方面:非晶态Mn2O3提供丰富的Mn3+活性位点和高效臭氧吸附活化所需的高比表面积;Ce/C掺杂促进电子转移并抑制H2O和过氧物种(O22-)在催化剂表面的积累;分级多级孔结构和C的掺杂增强O3传质效率的同时减少H2O的吸附和冷凝。该材料在宽湿度范围(RH,0-80%)下展现出卓越的臭氧分解活性和稳定性,能够在60% 相对湿度RH、600 L g-1 h-1的质量空速(WHSV)下持续25 h以上完全分解50 ppm的O3。
锰氧化物(MnOx)由于其丰富的晶相、优异的氧化还原能力、可调的锰价态和氧空位浓度,在催化臭氧分解领域受到了广泛关注。然而,它们仍面临两个挑战:水分子和臭氧的竞争吸附、臭氧分解过程中中间产物难以脱附。为了应对这些挑战,以往的研究主要围绕调控电子结构(如金属掺杂、引入碱金属离子)和改善材料疏水性(如与碳材料复合)两个方向展开。然而,在绝大多数报道的催化剂中,MnOx是结晶态的,不利于提升活性位点密度,对克服水的竞争吸附也不利。此外,将MnOx负载在碳材料上提高疏水性可有效降低水的竞争吸附,提高臭氧分解的稳定性,但碳元素(C)在MnOx骨架中的掺杂及其对O3分解性能的影响研究甚少。因此,开发一种新策略,能够同时突破晶体限制、优化电子特性、构筑适宜孔道并增强疏水性,对于实现高效、稳定,尤其是在高湿环境下的臭氧分解催化技术,具有重大意义。
(1) 原子级掺杂诱导非晶化材料构建策略:通过His与金属离子的分子自组装及后续煅烧,成功制备了完全无定形的Ce/C原子级掺杂Mn2O3,突破了以往锰氧化物催化剂普遍为晶态的局限。
(2) 大孔-介孔结构与电子特性的协同调控:材料具有多级分级孔结构(大孔:100 nm-70 μm;介孔:5-40 nm),不仅显著促进了传质,还有效抑制了水分子在孔道中的冷凝。Ce/C共掺杂优化了Mn位点的电子结构,提高了Mn3+比例和表面酸性,有利于臭氧吸附与分解。
(3) 高效催化性能:在O3浓度为50 ppm,空速为 600 L·g-1·h-1和25 °C条件下,典型催化剂在60% RH可连续25 h保持100%臭氧分解率,在80% RH环境下稳定运行10小时后仍保持91.3%的活性,且通过简单的干燥气氛吹扫可使催化剂的性能得以100%的再生。
(4) 反应机理剖析:结合原位DRIFTS、XAFS、H2-TPR等表征技术与DFT计算,明确了Mn3+为主要活性位点,阐明了Ce/C掺杂促进电子转移、弱化H2O吸附、强化O3吸附并显著降低速率控制步骤(O22-脱附)能垒的多重作用。
图1. Schematic illustration for the synthesis of HPA-CeMn5Ox(a) and O3 decomposition performance evaluation: the performances of various samples (b), the performance of HPA-CeMn5Ox at different RH (c), the long-term stability of HPA-CeMn5Ox at 60% RH (d), the performances of HPA-CeMn5Ox and MC-CeMn5Ox under alternate dry and wet (80% RH) cycles (e), and performance comparison between HPA-CeMn5Ox and typical reported MnOx catalysts (f).
要点:
◆ 通过煅烧Mn2+/Ce3+-His非晶配位复合物前驱体,可制备分级多级孔非晶Ce/C掺杂Mn2O3 (HPA-CeMn5Ox)。
◆ 在Mn/Ce摩尔比为5,His/金属摩尔比为3,煅烧温度为400 °C的条件下合成的最佳样品HPA-CeMn5Ox的性能显著优于其他对比样品(单一组分氧化物、物理混合物、无组氨酸合成的结晶样品),证明了非晶相、Ce/C掺杂、分级孔结构三者的必要性。
图2. XRD patterns of different samples(a), SEM (b, c), TEM (d), HRTEM (e) images, SAED pattern (f), dark-field STEM image (g) and element maps (h-k) of HPA-CeMn5Ox.
要点:
◆ XRD与HRTEM/SAED均证明HPA-CeMn5Ox为Ce/C原子级均匀掺杂的非晶Mn2O3。SEM和TEM表明HPA-CeMn5Ox具有独特的分级大孔-介孔结构(大孔:100 nm-70 μm;介孔:5-40 nm),His作为发泡剂促成分级多级孔形成。
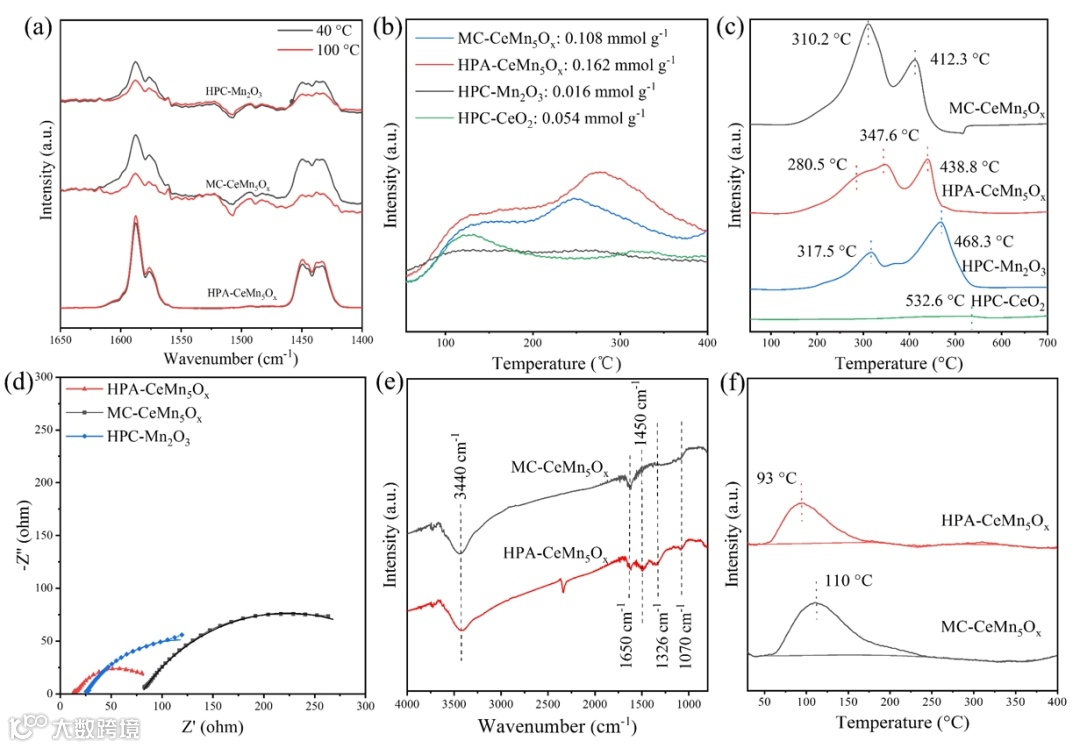
图3. Raman spectra (a), Ce 3d (b), Mn 3s (c) and O 1s (d) XPS spectra of various samples, MnK-edge XANES (e) and FT-EXAFS (f) of HPA-CeMn5Ox and several reference samples, the EXAFS fitting curves of HPA-CeMn5Ox and Mn2O3 at R space (g), and the wavelet transform for the EXAFS of HPA-CeMn5Ox(h), and in situ vacuum DIRFTS of various samples (i).
要点:
◆ Raman/XPS证实了存在Ce-O-Mn键合,Mn以Mn3+为主。XANES/EXAFS表明HPA-CeMn5Ox中Mn的平均价态接近+3价,且局部配位环境中只有Mn-O配位键,无Mn-Mn长程有序键,从原子电子结构层面确认了非晶态结构。以上共同证明了Ce/C掺杂调节了MnOx的电子特性,创造了丰富的Mn3+活性位点和利于臭氧分解的表面环境。
图4. In-situ pyridine adsorption FTIR spectra (a), NH3-TPD curves (b), H2-TPR profiles (c), EIS plots (d), FTIR spectra (e), and H2O-TPD profiles (f) of various samples.
要点:
◆ Mn3+为软路易斯酸位点,是分解软路易斯碱O3的主要活性中心。Ce/C掺杂增强了Mn3+位点的路易斯酸强度和密度。
◆ H2-TPR表明材料具有优异的氧化还原性,归因于丰富的表面Mn3+位点和Ce/C掺杂的促进作用。EIS证实代表催化剂的电荷转移电阻最低,表明Ce/C掺杂显著提升了电子传输能力。
◆ 痕量C掺杂显著增强了材料的本征疏水性,可抑制H2O的吸附与冷凝。
图5. In situ DRIFTS collected during catalytic O3 decomposition on HPC-CeO2 (a), HPC-Mn2O3(b), MC-CeMn5Ox (c) and HPA-CeMn5Ox(d), and the OH signal intensity profiles during catalytic O3 decomposition on HPA-CeMn5Ox (e) and HPC-CeO2(f) under either the dry (0-60 min) or 80% RH (60-120 min) condition.
要点:
◆ 原位DRIFTS和拉曼光谱直接监测到关键中间体O22-(~1380 cm-1、761 cm-1)的生成与积累。对照样品(HPC-CeO2, MC-CeMn5Ox, HPC-Mn2O3)在催化O3分解过程中O22-积累且难以脱附,导致活性位点失活,而HPA-CeMn5Ox能促进O22-快速脱附,快速完成活性位点再生,这是该催化剂具有高稳定性的主要原因。
◆ 通过原位DRIFTS发现一个未曾被重视的新特征峰(~1586 cm-1),其与H2O和O3的共吸附行为相关,可能为O3吸附在表面OH上形成的五元环中间体。该中间体的积累会延缓O3分解,其信号强度顺序(MC-CeMn5Ox> HPC-Mn2O3≫ HPA-CeMn5Ox)与催化剂的稳定性顺序完全一致。
图6. Adsorption modes and energies of O3(a, b) and H2O (c, d) on Mn2O3 and Ce/C-doped Mn2O3 slabs, the plausible O3 decomposition mechanism on HPA-CeMn5Ox (e), and the energy diagram of the O3 decomposition pathway on Mn2O3 and Ce/C-doped Mn2O3 (f). The red, purple, green and grey spheres in (a-d) denote the O, Mn, Ce, and C atoms, respectively. In (a) and (b), the yellowish cloud density represents electron enrichment and blueish represents electron depletion.
要点:
◆ Ce/C掺杂显著增强了催化剂对O3的吸附能力(Eads从-1.43 eV变为-3.34 eV),同时大幅削弱了对H2O的吸附(Eads从-1.26 eV变为-0.72 eV)。同时,Ce/C掺杂后,O3的吸附能是H2O的4.6倍,实现了对O3的优先吸附,从根本上缓解了高湿环境下H2O的竞争吸附导致的失活问题。
◆ 催化O3分解主要有四步反应路径,其中O22-的脱附为速率控制步骤。Ce/C掺杂将决速步骤能垒从0.930 eV(Mn2O3)显著降低至0.472 eV,从理论上解释了HPA-CeMn5Ox反应速率更快、稳定性更高的原因。
本研究成功开发了一种具有分级大孔-介孔结构和独特电子特性的非晶Ce/C掺杂Mn2O3催化剂(HPA-CeMn5Ox),可用于高效催化O3分解。通过His介导的分子自组装策略,实现了非晶态形成、Ce/C原子级掺杂与分级多孔结构构建的协同统一。该催化剂在高湿度(80% RH)、高空速(600 L·g-1·h-1)条件下展现出卓越的O3分解活性、稳定性及抗水性能。此外,该材料有望在不同环境条件下正常工作,并与多种设备单元兼容,用于空气净化。机理研究揭示了Ce/C骨架掺杂的关键作用:诱导形成富含Mn3+位点的非晶Mn2O3,调控Mn的电子结构以促进O3分解、削弱水分子吸附,并降低决速步骤(O22-脱附)的能垒。本研究还提示了分级多级孔结构在促进传质和抑制水汽冷凝中的重要作用。未来仍需开展更多工作以深入揭示MnOx材料用于臭氧分解的本征活性结构、分级孔道中的传质行为及面向实际应用的器件构建。
吴张雄:苏州大学特聘教授,博士生导师,入选“海外高层次人才引进计划”青年项目,江苏省“双创博士”,江苏省“双创团队”,苏州市“金鸡湖双百人才计划”高层次领军人才、苏州市“高等院校、科研院所紧缺高层次人才”等。研究方向为纳米多孔材料的可控制备、界面调控及其在几类重要催化反应(高级氧化、选择性加氢和电催化)中的应用及其作用机制。
目前,课题组在 J. Am. Chem. Soc.、Angew. Chem. Int. Ed.、Adv. Mater.、Adv. Funct. Mater.、Chem. Eng. Sci.、AIChE J.、Environ. Sci. Technol.、Appl. Catal. B等期刊中累计发表学术论文120余篇,申请或授权国内外发明专利20余项。同时,课题组积极推进产学研合作,在环境催化领域和环保企业紧密合作,在商用环保催化剂的研发与臭氧催化氧化技术的工业应用方面取得了较好的进展。本课题组长期招聘具有化学、材料、化工与环境工程背景的研究生与博士生,并招聘科研助理、助理研究员与副研究员,欢迎感兴趣的同学与老师前来交流与指导。
课题组信息链接:https://chemistry.suda.edu.cn/31/22/c31987a405794/page.htm
声明

