第一作者:顾亚迪,赵恩点,万雪颖
通讯作者:熊宇杰,刘东,万雪颖
通讯单位:中国科学技术大学,中国科学技术大学苏州高等研究院,安徽师范大学
论文DOI:10.1002/adma.202515661
近日,熊宇杰教授团队报道了一种“反应诱导的相工程”策略应用于CuCo纳米颗粒光热催化CO2加氢研究。实验结果表明,丰富的Cu-Co3Cu界面作为电子转移通道,促进了光电子传输和局部高温载流子积累。显著提高了全谱光的利用率和光热转换效率。在3 W cm−2全光谱光照下,CO产率可达到0.82 mol g-1 h-1,并在100个循环中保持约95%的选择性。原位光谱结合理论计算进一步揭示,相工程增强了CO2的吸附和活化,削弱了CO产物的结合能力,有效抑制了甲烷化反应。该异相纳米结构中的界面工程方法提高了非贵金属催化剂在CO2转化过程中的稳定性和活性,通过合理界面工程,助力开发高效光热系统。
光热CO2加氢可实现将温室气体转化为高附加值燃料。然而,非贵金属催化剂通常面临活性、选择性和稳定性之间的平衡问题。近年,钴基非贵金属催化剂由于其在全谱光范围内的等离激元特性和催化可调性,成为一种有前景的选择。此前研究表明,通过表面设计和重构的钴基催化剂可以实现高选择性的催化转化。然而,在光热CO2加氢方面,催化材料中的界面结构设计和相工程方面的研究仍然不足,如何设计并开发简单、高效且耐用的钴基非贵金属催化剂依然是一个挑战。
在本研究中,作者提出了一种“反应诱导的相工程“策略,利用CuCo双金属纳米结构的相工程调控,实现高效光热CO2转化。该相工程双金属纳米结构通过原位光还原制备而成,组分为Cu-Co3Cu,具有丰富的界面边界。研究表明,反应诱导的异相界面促进了光生电荷分离和局部热载流子累积,从而提升了全谱光利用率和光热能量转化效率。在3 W cm-2全光谱光照下,CO生成速率可达到0.82 mol g-1 h-1,选择性为95.8%,优于其他对照催化剂。原位光谱进一步揭示,Cu的引入有效调节了中间体的吸附构型,有效抑制了副产物的甲烷化路径。理论计算和程序升温脱附研究进一步表明相工程增强了CO2吸附和活化,同时减弱了CO的吸附,实现了CO生成的最佳Sabatier平衡。本研究展示了一种通用的界面相工程方法,可应用于设计高效、稳定且低成本光热催化剂,进一步发展了太阳能驱动CO2加氢的材料设计原则。
图1. CuCo双金属纳米结构的合成与结构表征。 (a) CuCo双金属纳米结构从CuxCoyOz氧化物通过原位光还原合成的示意图。(b) 不同条件下合成的CuCo双金属催化剂的XRD图谱。(c) CC-3样品的TEM图像和 (d) 像差校正高分辨率HAADF-STEM图像。(e) CC-3样品的元素分布图。
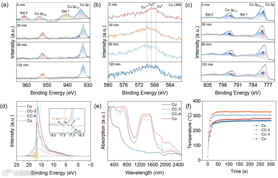
图2. CuCo催化剂的电子结构与光热性质。CuxCoyOz在模拟反应条件下(0.6 mbar CO2:H2 = 1:1,120分钟)的(a) Cu 2p、(b) Cu LMM和(c) Co 2p的原位NAP-XPS光谱。(d) 不同样品的功函数测量,插图:选定区域的放大视图。(e) 不同样品的固态紫外-可见-近红外吸收光谱。(f) 不同样品在3 W cm-2全光谱照射下的光热温度监测。
图3. CuCo催化剂的光热CO2加氢性能。(a) 不同Cu:Co比例的金属CuCo在3 W cm-2全光谱照射下的光热CO2加氢性能。(b) 不同预处理条件下获得的Cu:Co = 1:3样品在3 W cm-2全光谱照射下的光热CO2加氢性能(反应条件:3 W cm-2全光谱照射)。(c) CC-3在3 W cm-2全光谱照射下的光热CO2加氢稳定性测试。(d) CC-3在不同光谱区域0.5 W cm-2光强下的光热CO2加氢性能。(e) CC-3在等效表面温度下光热和热条件下的CO2加氢性能。(f) CC-3在3 W cm-2全光谱照射下的同位素标记光热实验。
图4. 反应机理研究。(a) CC-3催化剂在光热和热条件下CO产率的阿伦尼乌斯图。(b) CC-3和(c) Co在50% CO2和50% H2混合气氛中全光谱光照射下的原位DRIFTS光谱。(d) 不同模型上CO2、H2和CO吸附能的DFT计算。(e) 不同样品上的CO-TPD。(f) 所提出反应路径的示意图。
通过原位光还原构建了Cu-Co3Cu异相结构,发展了用于光热CO2加氢反应的相工程策略。这种方法促进了对异相界面的精细控制,显著提升了催化性能。当Cu:Co摩尔比例为1:3时,在3 W cm-2光照下,CO产率可达到0.82 mol g-1 h-1,选择性为95.8%,并在100个循环后活性损失小于5%。原位表征结合理论计算表明,相工程策略引入了双功能催化中心,提升局部电场强度和光热转化效率,促进CO2和H2的活化,提高CO选择性。Cu-Co3Cu边界的界面电子调控建立了CO2活化与产物脱附之间的最佳Sabatier关系,解决了非贵金属催化剂中活性和稳定性的权衡问题。本研究通过反应诱导相工程策略,发展了高效太阳能驱动CO2转化催化材料设计方法。
Reaction-Induced Phase Engineering of CuCo Nanoparticles for Enhanced Photothermal CO2 Hydrogenation. Yadi Gu; En‐Dian Zhao; Xueying Wan; Jun Ma; Dong Liu; Yujie Xiong. Advanced Materials, 2025.
https://doi.org/10.1002/adma.202515661
熊宇杰,中国科学技术大学讲席教授、博士生导师,安徽师范大学党委副书记、校长。1996年进入中国科学技术大学少年班系学习,2000年获化学物理学士学位,2004年获无机化学博士学位,师从谢毅院士。2004至2011年先后在美国三所大学工作,2011年辞去首席研究员职位回到中国科学技术大学任教授,建立独立研究团队。曾入选教育部长江学者特聘教授(2018年)、国家杰出青年科学基金获得者(2017年)、国家高层次人才计划科技创新领军人才(2018年),当选欧洲科学院、东盟工程与技术科学院、新加坡国家化学会、英国皇家化学会的Fellow。现任ACS Materials Letters副主编,Chemical Society Reviews、Chemistry of Materials等期刊顾问委员或编委。主要从事仿生催化系统的智能定制研究,已在Nat. Mater.、Nat. Catal.、Nat. Protoc.等期刊发表300余篇通讯作者论文,其中100余篇发表在Nature/Science子刊以及化学与材料科学顶刊(J. Am. Chem. Soc.、Angew. Chem. Int. Ed.、Adv. Mater.),40余篇入选ESI高被引论文。论文总引用52,000余次(H指数116),入选科睿唯安全球高被引科学家榜单和全球前0.05%顶尖学者终身榜单。曾获3项国家自然科学奖和省部级自然科学奖、4次中国科学院优秀导师奖、英国皇家化学会Chem Soc Rev开拓研究者讲座奖、中美化学与化学生物学教授协会杰出教授奖。
刘东,中国科学技术大学特任教授,博士生导师。2008年考入中国科学技术大学少年班,分别于2012年、2017年取得学士、博士学位,师从熊宇杰教授。博士毕业后前往新加坡南洋理工大学从事博士后研究,师从刘彬教授、薛灿教授。主要研究方向是多场耦合光驱动催化小分子转化、仿生限域人工光合成体系设计及器件化研究。截至目前,已在Chem. Rev., Nat. Commun., Sci. Adv., J. Am. Chem. Soc., Angew. Chem. Int. Ed., Adv. Mater., Nano Res., Sci. Bull.等国内外重要学术期刊上发表论文50余篇,其中第一/共同通讯作者论文28篇,他引3900余次(H指数35)。入选国家级海外高层次青年人才项目(2021年)、姑苏创新创业青年领军人才(2021年)。担任中国感光学会光催化专业委员会委员、中国可再生能源学会光化学专业委员会青年委员、J. Energy Chem.青年编委、江苏省青联委员。
万雪颖,中国科学技术大学苏州高等研究院特任副研究员。2016年本科毕业于中国科学技术大学,师从熊宇杰教授;2021年在中国科学院大连化学物理研究所取得博士学位,师从包信和院士/姜鹏研究员。主要从事能源转化材料相关研究工作,方向聚焦于多能量场耦合驱动二氧化碳、氮气等小分子高效转化及新型反应器件设计。以第一作者/共同通讯作者身份在Nat. Commun.,Angew. Chem. Int. Ed.,Adv. Mater.,ACS Catal.等SCI一区期刊发表论文多篇。
声明

