第一作者:傅帆,刘铭亮
通讯作者:刘叠,王平山
通讯单位:中南大学、广州大学
DOI:doi.org/10.1002/anie.202518696
近日,中南大学化学化工学院刘叠/王平山团队在光敏配合物的创制和应用领域取得重要进展。该团队创新性运用配位组装策略,精准构建了D-A 型(给体-受体型)非贵金属光敏性配合物,为非重原子分子光敏剂的构建提供了新的策略。进一步通过 “电子转移与能量转移双途径协同调控” 策略,在分子尺度实现对配合物激发态的精准调控,成功实现了高效过氧化氢光催化合成。相关研究成果已发表于国际化学领域顶级期刊《德国应用化学》(Angew. Chem. Int. Ed.),彰显了该技术在光催化合成领域的重要学术价值与应用潜力。
分子光敏剂因无需依赖重原子效应,即可将太阳能通过能量转移方式高效转化为化学能,已在各类光催化反应中获得广泛关注与应用。然而,传统光敏配位组装分子的构筑路径存在明显局限,主要集中于两种技术方案(图 1):一是引入光敏性配体,通过与金属离子进行配位自组装,保留配体原有光敏特性;二是通过对客体光敏剂进行包裹改性,赋予整个体系光敏功能。基于前期在非贵金属光敏配合物领域的研究基础(J. Am. Chem. Soc. 2025, 147(8), 6390–6403),团队突破传统设计思路,创新性地运用金属配位自组装策略,通过非光敏配体和非贵金属离子精准组装,实现了给受体单元的结构调控和电荷转移激发态的管理,成功实现了组装体的光敏性。更进一步,该新型配合物具备优异的环境适应性和光催化性能,可在空气氛围与纯水体系中直接执行光催化反应,其核心优势在于实现了电子转移与能量转移双途径的协同调控,为高效过氧化氢合成提供了全新技术路径。
图1. 先前报道中由光敏组件构筑的配位组装光催化剂示意图(左),以及本工作为光催化合成H2O2而开发的非光敏子组件示意图(右)。
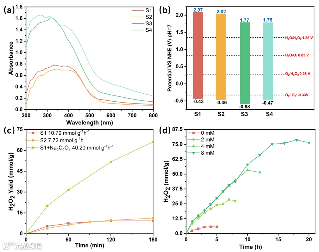
为验证设计思路,团队通过构造 4 种不同结构的三联吡啶配体,经配位自组装成功制备 4 种新型光敏性配合物。这些配合物均具备微秒以上的长磷光寿命,并且通过瞬态吸收光谱进行动力学拟合验证了其光激发过程。结合密度泛函理论(DFT),发现通过控制结构的刚性,使得光敏剂的给体和受体单元的位置发生了改变,并且越刚性的结构表现出更为复杂的能级跃迁过程和更长的激发态寿命(图2)。
图2. (a) 配合物S1–S4的发光光谱(激发波长:365 nm)及(b) 时间分辨发光光谱。(c) 配合物S1在390 nm激发波长下的瞬态吸收光谱及 (d) 瞬态吸收动力学轨迹。(e) 配合物S1–S4的空穴(青色)与电子(紫色)分布图。(f) 配合物S1激发态能级分布及推测动力学过程;红线标示振子强度>0.01的能级。
在氙灯激发下可高效产生单线态氧(1O2)、超氧阴离子自由基(O2·-)等活性氧(ROS),在光驱动过氧化氢全合成反应中展现出优异活性,反应速率高达 10.79 mmol g-1 h-1;当引入草酸钠作为牺牲剂后,催化速率进一步提升至 40.2 mmol g-1 h-1,彰显出该体系的独特优势(图 3):
1. 摆脱贵金属依赖:选用常用过渡金属 Zn 作为配位中心,彻底打破了传统光敏剂对贵金属和重原子的依赖。与简单隙间梭跃过程(S0→S1→T1)不同,该系列光敏剂均涉及复杂的能级跃迁过程(S0→Sn→Tn),为高效能量转换提供了结构基础。
2. 氧气利用率高效:在纯氧与空气环境下的催化产率差距不足 5%,充分体现了该催化剂对氧气的极高利用率,为实际应用中的环境适应性提供了保障。
3. 攻克水氧化阻碍:草酸钠的加入可快速消耗光催化系统中的空穴,同时草酸氧化过程中产生的 O2·-能够反哺 ORR 过程,形成协同增效机制,显著提升光催化整体反应速率。
图3. (a) 配合物的吸收光谱。(b) 配合物的能级水平。(c) 配合物S1和S2的在无牺牲剂和草酸钠作为牺牲剂条件下的光催化合成H2O2性能。(d) 不同浓度草酸钠牺牲剂条件下的光催化合成H2O2性能。
为明确催化机理,团队对光敏剂 S1进行了系统表征与理论计算(图 4、图 5),证实其催化过程涉及电子转移与能量转移双途径协同作用。
1. 能量转移过程:在 ESR 测试中加入 O2·-淬灭剂苯醌后,仍能检测到单线态氧;而向光催化体系中加入单线态氧淬灭剂 L-色氨酸后,过氧化氢产率显著下降,表明能量转移过程是该催化体系不可或缺的重要组成部分。
2. 理论计算佐证:密度泛函理论(DFT)计算结果显示,ORR 过程与 WOR 过程分别发生在催化剂的电子富集区域和空穴富集区域,充分验证了 D-A 结构组装体的可设计性,为后续催化剂结构优化提供了理论支撑。
图4. (a) 配合物S1的温度依赖性光致发光光谱。(b) 配合物S1–S4的光致发光强度随温度变化的拟合曲线。(c) 配合物在298 K、365 nm激发下记录的磷光光谱(延迟时间:1.0 ms)。(d) 配合物S1和S2的瞬态光电流响应。(e) 配合物S1在不同对照实验中的相对H2O2产率。(f) 以配合物S1为光催化剂,采用DMPO或TEMP作为自旋捕获剂,在黑暗与光照条件下记录的EPR信号。(g) 采用H218O同位素标记法探究S1复合物产生的H2O2来源。(h) 添加胸腺嘧啶作为•CO2−清除剂前后H2O2产率变化。
图5. (a) 配合物S1的光催化原位红外光谱。通过(b)涉及1O2和3O2的氧还原反应(ORR)及(c) H2O和 (d) Na2C2O4的光催化合成H2O2时,S1和S2的密度泛函理论(DFT)计算自由能图。(e) *OH与(f) *CO2·-在S1中的吸附构型。(g) 基于S1实现H2O2整体光催化合成的反应路径与机理推演。
声明

