第一作者:Guanzhen Chen, Ziang Shang, Jie Zhang
通讯作者:Yunhu Han
通讯单位:南京邮电大学
论文DOI:10.1002/anie.202517073
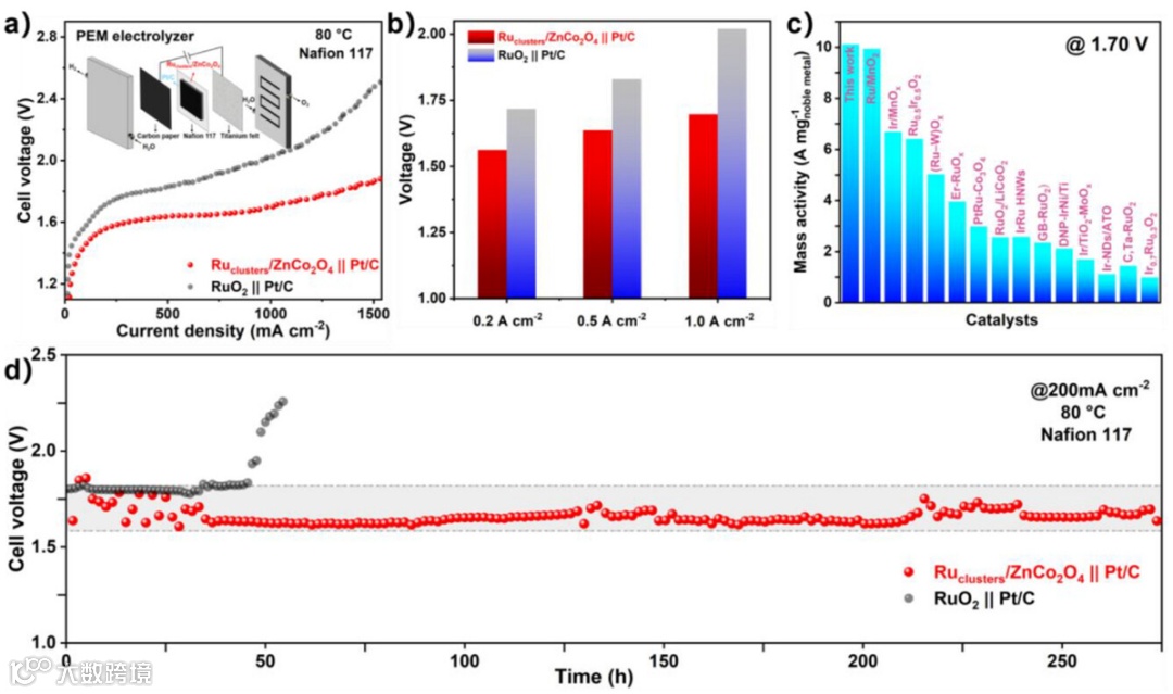
开发高活性、高耐久性的低钌(Ru)基阳极对于低成本质子交换膜水电解(PEMWE)系统至关重要,但仍是一项挑战。本文合成了一种负载于锌(Zn)掺杂钴氧化物尖晶石上的钌簇催化剂(Ru簇/ZnCo2O4)。其中,Zn原子的存在使载体(ZnCo2O4)从“脆弱结构”转变为“稳定基底”,并通过电子转移优化钌位点的电子环境,间接稳定钌活性中心,从而在酸性析氧反应(OER)中实现了高活性和稳定性之间的平衡。所制备的催化剂具有较低的过电位(200 mV),并且在10 mA cm-2的电流密度下可稳定运行超过725小时(衰减率仅为0.143 mV h-1)。一种采用Ru团簇/ZnCo2O4作为阳极的PEMWE器件在200 mA cm-2电流密度下稳定运行超过275小时,展现出良好的应用前景。理论计算和实验表明,Zn原子能够同时调控载体的电子结构,赋予催化剂高活性和长寿命。该策略为酸性OER催化剂的开发提供了一种新的范式:利用惰性金属调控载体,在活性和稳定性方面实现双重突破。
开发具有高活性和耐久性的低钌负极材料是质子交换膜电解水(PEMWE)领域的一大挑战。为了应对低负载量下高活性和高耐久性的双重挑战,研究策略已从使用惰性载体发展到设计能够与活性Ru中心发生电子相互作用的“功能载体”。然而,同时实现载体的结构稳定和Ru的电子优化仍然是一个巨大的挑战。
1. Zn原子同时实现载体结构稳定性和Ru活性中心电子环境优化,突破活性-稳定性权衡瓶颈。
2. 低Ru负载量(5.07 wt%)下实现200 mV低过电位,优于商用RuO2(248 mV)和多数报道催化剂。并作为PEMWE阳极可稳定运行275小时。
图1. Ruclusters/ZnCo2O4的合成与结构表征
图2. 电子结构与局部原子配位表征
图3. 电催化OER性能评估
图4. 反应机制理论研究
图5. PEMWE器件性能
本研究开发了一种双功能锌调控策略,构建了一种Ru团簇/ZnCo2O4催化剂,该催化剂在酸性析氧反应中同时实现了低Ru负载量、优异的活性和创纪录的耐久性。锌原子的引入将尖晶石载体从“脆弱结构”转变为“稳定基底”,并通过优化电子转移间接稳定了Ru活性中心。这种双重调控使得该催化剂在10 mA cm-2电流密度下能够实现200 mV的超低过电位,并在酸性条件下保持超过725小时的稳定性(衰减速率:0.143 mV h-1)。当集成到PEMWE器件中时,Ru团簇/ZnCo2O4阳极展现出良好的实际应用价值,在200 mA cm-2电流密度下稳定运行超过275小时。实验和理论分析相结合证实,锌掺杂增强了结构的完整性,并创造了优化的电子环境,从而抑制了Ru的溶解。这项工作为酸性析氧反应催化剂设计建立了一种新范式:利用惰性金属来调节过渡金属氧化物载体,从而在活性和稳定性方面实现了双重突破,为下一代绿色氢气生产奠定了基础。
G. Chen,Z. Shang, J. Zhang, X. Li, C. Ma, X. Wang, Yu Xiong, Y. Han, Angew. Chem. Int. Ed.. 2025, e17073.
https://doi.org/10.1002/anie.202517073
版权声明
本期互动

