第一作者:刘荐慧
通讯作者:欧阳述昕
通讯单位:华中师范大学
论文DOI:10.1021/acscatal.5c05573
TiO2晶相对于负载型金属催化剂的理化性质和催化活性具有重要影响,华中师范大学欧阳述昕课题组采用简单的浸渍-还原法将Ni负载在锐钛矿相和金红石相TiO2上,在光照下将合成气转化为低碳烃。其中Ni-r-TiO2催化剂在光热180℃下CO转化率为23.3%,是Ni-a-TiO2催化剂的5.7倍,同时Ni-r-TiO2催化剂的C2+烃类选择性可达73.0%。一系列实验和表征结果表明Ni-r-TiO2催化剂促进CO的吸附和活化,原位傅里叶变换红外光谱揭示了Ni-r-TiO2催化剂遵循CO直接解离路径,形成较多CH2*中间体,促进C2+烃类生成。本工作对高附加值化学品的制备提出了催化剂设计方面的新见解。
近年来,由于石油资源紧张以及使用所带来的环境污染问题,寻求可替代之法成为重中之重。太阳能燃料作为太阳能驱动的化学反应所产生的合成燃料,被认为是解决能源危机的最经济可行和最有效的解决方案。费托合成是一种将合成气(CO和H2)转变为燃料和高附加值产品的重要途径之一,常用到的活性金属有Fe、Co、Ni、Ru,其中Ni基在相对较温和的条件下具有较高的CO加氢活性,但由于其普遍的甲烷化限制其应用。相较于Al2O3和SiO2载体,TiO2负载的Ni基催化剂展现了优异的活性。鉴于此,对不同晶相TiO2负载的Ni基催化剂在光热催化费托合成方面的探究具有至关重要的意义。
(1) 本文对比了不同晶相TiO2负载的Ni基催化剂在费托合成方面的区别,其中Ni-r-TiO2催化剂在光热180℃下具有较好的CO转化率,是Ni-a-TiO2催化剂的5.7倍,同时实现C2+烃类选择性达73.0%。
(2) 机理分析从CO吸附、活化、C-C偶联等方面阐述Ni-r-TiO2催化剂性能优异的原因。
图1 Ni-TiO2催化剂的XRD谱图(a)和XPS谱图(b-d)。
图2 催化剂的TEM图、粒径分布图及元素映射图:(a、c、e)Ni-a-TiO2催化剂;(b、d、f)Ni-r-TiO2催化剂。
通过一系列的表征手段对合成的Ni-TiO2催化剂结构进行分析。如图1所示,XRD谱图表明催化剂由金属Ni和不同相TiO2组成,XPS谱图表明催化剂中各元素组成相似,其中Ni-r-TiO2催化剂表面Ni/Ti比为0.17,略高于Ni-a-TiO2催化剂(0.12),表明Ni-r-TiO2催化剂表面丰富的Ni颗粒有助于提高其催化活性。图2的TEM谱图中可以清楚地观察到金属Ni以及不同相TiO2的晶格条纹;在粒径分布图中,相比Ni-a-TiO2催化剂,Ni-r-TiO2催化剂中平均Ni颗粒尺寸较小,为6.7 nm;元素映射图表明催化剂中Ni、Ti和O三种元素的分布,以上结果表明Ni-r-TiO2催化剂中表面高分散的小尺寸Ni颗粒有助于增加反应活性位点,为催化CO加氢提供先决条件。
图3 (a)不同催化剂在180℃的光热催化费托合成性能;(b)Ni-a-TiO2催化剂和(c)Ni-r-TiO2催化剂在不同反应温度下的光热催化费托合成性能;反应条件:0.18 MPa;CO/H2/N2 = 20 vol %/40 vol %/40 vol %;300 W氙灯照射30 min;催化剂质量50 mg(d)间歇式反应器体系下Ni-r-TiO2催化剂的稳定性测试;(e)催化剂的阿伦尼乌斯图;(f)Ni-a-TiO2催化剂和(g)Ni-r-TiO2催化剂的烃类产物分布和对应的链增长因子。
随后考察催化剂在光热条件下的CO加氢性能。由图3(a)可知,Ni-r-TiO2催化剂的CO转化率为23.3%,是Ni-a-TiO2催化剂的5.7倍;改变反应温度可以观察到CO转化率和CH4选择性随反应温度升高而增大,这与文献报道相一致,利用阿伦尼乌斯公式计算了催化剂的活化能,结果表明Ni-r-TiO2催化剂对CO的活化能降低至108.0 kJ/mol,说明Ni-r-TiO2催化剂具有较好的CO活化能力;催化剂的烃类产物分布遵循传统费托合成的产物分布,即ASF分布,相比Ni-a-TiO2催化剂,Ni-r-TiO2催化剂的碳链增长因子较高,为0.53。通过电加热使催化剂表面达到相同温度时,Ni-r-TiO2催化剂的表现与光热催化下几乎相同,表明在Ni-r-TiO2催化剂上发生的光热催化费托合成反应的本质是光致热催化,即在该过程中光的主要作用在于提供热量,而未表现出显著的光催化效果。
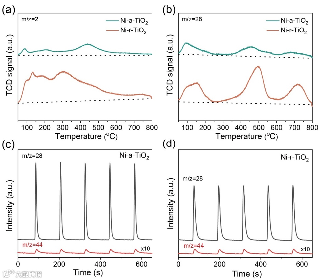
图4 催化剂的(a)H2-TPD-MS谱图、(b)CO-TPD-MS谱图和(c-d)CO脉冲实验。
图5 催化剂对合成气转化的原位傅里叶变换红外光谱图。
为了深入探究催化剂对费托合成的影响,如图4所示,通过H2-TPD-MS和CO-TPD-MS表征发现,Ni-r-TiO2催化剂增强了对CO的吸附,而削弱了对H2的吸附,CO脉冲实验结果表明Ni-r-TiO2催化剂表面更容易发生CO解离活化。图5中催化剂对合成气转化的原位傅里叶变换红外光谱图表明催化剂表面发生不同的CO解离路径,其中CO在Ni-r-TiO2催化剂表面直接解离,形成较多的CH2*中间体,促进C−C偶联从而增强对C2+烃类的选择性,而CO在Ni-a-TiO2催化剂表面通过H2辅助解离,同时没有观察到明显的CH2*中间体,通过延长反应时间、升高反应温度及引入同位素气体均证明了此结果。
本工作探究了TiO2载体晶相对Ni基光热催化费托合成性能的影响,其中Ni-r-TiO2催化剂在光照下CO转化率为23.3%,相比Ni-a-TiO2催化剂提高了5.7倍,同时C2+烃类选择性为73.0%;详细的表征结果表明,r-TiO2表面丰富的金属Ni颗粒有助于增强对CO的吸附和活化,进而提高其CO加氢性能;CO在Ni-a-TiO2催化剂表面通过H2辅助解离,而在Ni-r-TiO2催化剂表面直接解离,形成较多的CH2*中间体,促进C−C偶联从而增强对C2+烃类的选择性。本研究强调了载体晶相的重要性,为费托合成催化剂的设计和制备提供了有益借鉴。
J. Liu, R. Li, Y. Li, L. Guo, Z. Xue, H. Yuan, S. Ouyang, ACS Catal. 2025, 15, 19527-19536.
声明

