第一作者:徐庆玲
通讯作者:邵斌 特聘副研究员、胡军 教授
通讯单位:华东理工大学 化学与分子工程学院
论文DOI:10.1002/aic.70106
近日,华东理工大学胡军教授课题组在AICHE Journal上发表了题为“Co-O-Zn Interface Engineering for Boosting CO2 Hydrogenation to Light Olefins”的研究论文(DOI: 10.1002/aic.70106)。在此,该工作提出了一种界面工程方法,通过在ZnGa2O4尖晶石中负载CoOx来构建Co-O-Zn氧化物-氧化物界面,该界面有利于二氧化碳的双齿吸附,促进 HCOO* 中间体的产生,以便后续有效产生CH3OH。结合in-situ DRIFTS等多种先进表征技术,揭示CO2以双齿吸附构型吸附,使暴露的C原子能够选择性地通过HCOO*途径生成CH3O*。相比之下,通过在晶格中掺入Co2+或负载Co3O4来调节Co的分散状态,几乎无法实现CO2到C2-C4=的高效转化,从而进一步凸显了氧化物-氧化物界面的重要作用。当耦合SAPO-34后,优化后的CoOx/ZnGa2O4-2.5/SAPO-34双功能催化剂实现了27.4%的优异稳定CO2转化效率和15.3%的C2-C4=产率,并且在200 h稳定性测试后C2-C4=产率仍保持在14.0%,超越了目前报道的大多数文献。氧化物-氧化物界面工程策略为OX-ZEO路线实现高效CO2加氢制C2-C4=提供了一种高效催化剂制备的方法。
CO2持续累积加剧全球变暖,亟需通过技术手段实现其 “主动减排”与资源化利用。将CO2转化为如甲醇、低碳烯烃、芳烃等高附加值化学品是目前解决温室气体过量排放的有效策略,助力实现碳中和目标。受合成气制烯烃的OX-ZEO路径启发,CO2可以和绿氢结合通过接力催化转化为C2-C4=,金属氧化物通过活化CO2并催化加氢产生含氧中间体(如CH3O*),随后该中间体扩散至ZEO限域酸性孔道中进行C-C偶联。在CO2加氢反应步骤中RWGS反应在热力学上更有利,导致CO副产物选择性通常高达60-85%。受限于CO2加氢生成CH3OH中间体反应的热力学限制和RWGS副反应之间的制衡关系,CO2加氢制烯烃实际反应过程性能降低,特别是将C2-C4=产率提高到8%以上依然存在巨大挑战。本研究提出了一种界面工程方法,通过在 ZnGa2O4尖晶石中负载CoOx来构建氧化物-氧化物界面,为CO2的双齿吸附和H2的活化提供了更多的活性位点,加速了HCOO*和CH3O*中间产物的形成,同时抑制生成COOH*中间体路径,有效降低了CO副产品选择性,从而促进后续C2-C4=的生成。
受合成气制C2-C4=的OX-ZEO策略启发,针对目前CO2转化效率低、C2-C4=产率低且CO选择性高的瓶颈问题,设计合成具有氧化物-氧化物界面的过渡金属Co掺杂的ZnGa2O4尖晶石氧化物,并对CoOx/ZnGa2O4氧化物的结构物性和催化性能进行了系统研究。通过与溶胶-凝胶法制备的CoZnGaOx和物理混合法制备的Co3O4@ZnGa2O4相比,浸渍法制备的CoOx/ZnGa2O4具有更高密度的氧空位和化学键合的氧化物-氧化物界面。结合in-situ DRIFTS等表征手段,CoOx/ZnGa2O4中的Co-O-Zn氧化物-氧化物界面有利于CO2的双齿吸附,使暴露的C原子能够被相邻Zn-O异裂溢出的H*进攻,优先促进HCOO*中间体的生成,进而加氢形成CH3OH。在构成Co-O-Zn氧化物-氧化物界面基础上,进一步优化调控CoOx/ZnGa2O4氧化物的Co负载量来增强氧化物的氧空位浓度和H2异裂能力,耦合SAPO-34后可获得优异的CO2制C2-C4=性能。最后,对优化制备的CoOx/ZnGa2O4氧化物在CO2制低碳烯烃过程的工艺条件如床层排列方式、温度、压力、时空流速等进行了优化,并考察了CoOx/ZnGa2O4/SAPO-34双功能催化剂在长期测试中的催化稳定性。
通过溶胶-凝胶法制备了ZnGa2O4;之后采用初湿浸渍法制备得到不同Co担载量的ZnGa2O4粉末样品“CoOx/ZnGa2O4”;同时采用水热法合成了SAPO-34分子筛。紧接着将CoOx/ZnGa2O4和SAPO-34粉末分别造粒、粉碎并筛分至40-80目(颗粒大小为200-450 μm),最终将上述样品颗粒在容器中振荡混合均匀得到双功能催化剂CoOx/ZnGa2O4/SAPO-34。XRD结果表明还原的CoOx/ZnGa2O4呈现出ZnGa2O4尖晶石晶相,但未出现Co物种的特征峰,结合EDX表明Co高度分散在ZnGa2O4表面,并且清晰地观察到在CoOx与ZnGa2O4之间存在着明显的界面,证明在CoOx/ZnGa2O4金属氧化物中成功构筑氧化物-氧化物界面。
图1. CoOx/ZnGa2O4中氧化物-氧化物界面的构筑和表征
将制备得到的ZnGa2O4载体以及Co掺杂的三种氧化物耦合SAPO-34用于CO2加氢制低碳烯烃中,CoOx/ZnGa2O4/SAPO-34表现出最高的 STYC2-C4=,为2.77 mmol gcat-1 h-1,比晶格掺杂的CoZnGaOx/SAPO-34高1.7倍,正是由于CoOx/ZnGa2O4催化剂的氧化物-氧化物界面的存在。通过CO2-TPD、O 1s XPS以及乙烯探针等表征表明,与溶胶-凝胶法制备的CoZnGaOx相比,CoOx/ZnGa2O4具有的氧化物-氧化物界面能促进氧空位的产生,从而利于CO2和H2的活化。结合Quasi in-situ XPS,与混合法制备的Co3O4@ZnGa2O4相比,CoOx/ZnGa2O4具有的氧化物-氧化物界面能够稳定CoOx物种,实现高低碳烯烃选择性。
图2. 氧化物-氧化物界面对表面性质及CO2制低碳烯烃性能影响
进一步结合TPSR-MS和in situ DRIFTS原位表征技术,证明相比于CoZnGaOx,具有氧化物-氧化物界面的CoOx/ZnGa2O4具有更低甲醇生成温度及更强的HCOO*(1593 cm-1)和CH3O*(1063 cm-1)峰强度。此外,通过对0-30分钟内CoOx/ZnGa2O4和CoZnGaOx氧化物的HCOO* 和COOH*信号进行动力学拟合,可以得到相应的HCOO*和COOH*初始形成率 (ʋ),CoOx/ZnGa2O4上的HCOO*初始形成率ʋ1是CoZnGaOx上的ʋ2的1.9倍,这表明 CoOx/ZnGa2O4上的Co-O-Zn型氧化物界面能极大地促进HCOO*的形成。而CoZnGaOx的HCOO*和CH3O*峰强度均远低于CoOx/ZnGa2O4,同时CoZnGaOx的COOH*振动峰处于相对较高的强度,这将导致过量CO副产物的产生。
图3. 氧化物-氧化物界面对活性中间体的影响
根据in-situ DRIFTS光谱结果,提出了CO2加氢制低碳烯烃在CoOx/ZnGa2O4/SAPO-34双功能催化剂上的特定反应途径。CoOx/ZnGa2O4中的氧化物-氧化物界面能够促进CO2的双齿吸附,使得富电子Zn裂解的H*易进攻中心C原子,从而促进HCOO*和CH3O*中间体的形成。最终,CH3O*质子化后生成CH3OH并脱离金属氧化物表面,扩散到SAPO-34的酸性通道中,通过C-C偶联生成低碳烯烃。因此,构建的氧化物-氧化物界面可以通过促进CO2的双齿吸附,促进CO2有效加氢为HCOO*进而形成CH3O*中间产物,从而显著提高CO2转化效率和C2-C4=产率。
图4. 氧化物-氧化物界面对反应路径的选择
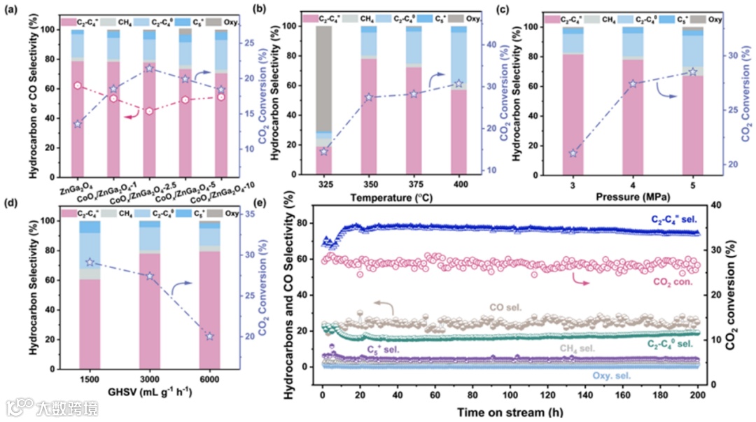
CoOx/ZnGa2O4-2.5/SAPO-34双功能催化剂在350°C,4 MPa,3000 mL g-1·h-1,颗粒堆积最优条件下实现了优异的CO2转化效率、C2-C4=选择性和产率,分别高达27.4%、77.9%和15.3%,并在200 h长期测试中显示出优异的催化稳定性,超过了目前报道的几乎所有文献。
图5. CO2加氢制低碳烯烃的性能
针对CO2转化制低碳烯烃转化率低、烯烃产率低和CO选择性高等瓶颈问题,本工作提出了一种氧化物界面工程策略,通过浸渍方法在CoOx/ZnGa2O4的氧化物界面上构建了Co-O-Zn键,提高了氧空位浓度,从而促进了CO2和H2的同时活化。结合原位表征,CO2的双齿吸附构型使暴露的C原子能够选择性地通过HCOO*途径生成CH3O*。相比之下,通过在晶格中掺入 Co2+或负载Co3O4来调节Co的分散状态,几乎无法实现 CO2到C2-C4=的高效转化,从而进一步凸显了氧化物-氧化物界面的重要作用。经过优化后,CoOx/ZnGa2O4-2.5/SAPO-34双功能催化剂实现了27.4%的优异稳定CO2转化效率和15.3%的C2-C4=产率,优于大多数最先进的研究成果。因此,本研究为二氧化碳加氢制取低碳烯烃中高活性催化剂的合理工程设计提供了重要启示。
Q. Xu, B. Shao, Z Sun, Z. Gao, Z. Xie, J. Hu, Co-O-Zn Interface Engineering for Boosting CO2 Hydrogenation to Light Olefins, AICHE Journal, (2025) e70106.
https://aiche.onlinelibrary.wiley.com/doi/10.1002/aic.70106
徐庆玲,华东理工大学硕士,2023年在江西师范大学获得化学理学学士学位,2023年9月于华东理工大学物理化学专业学习,师从胡军教授。目前主要研究方向为CO2接力催化制甲醇和低碳烯烃。在Appl. Catal. B Environ. and Energy., AICHE J.发表论文2篇,申请中国发明专利1项。
邵斌,华东理工大学特聘副研究员,硕士生导师。主要研究方向为二氧化碳捕集与转化。近五年,在能源与化工领域期刊共发表SCI论文20余篇,其中以第一作者/通讯作者在Nat. Commun., Energy Environ. Sci., ACS Catal., AICHE J. 等期刊发表SCI论12篇,2篇入选ESI高倍引论文;申请国际/国内发明专利12项,其中已授权中国发明专利6项;入选国家“博士后创新人才计划”、上海市“超级博士后”激励计划。主持国家自然科学青年基金等科研项目4项,作为核心项目骨干参与自然科学基金原创探索、国家科技部重点研发计划、中石化氢能重大科技攻关等重大研究项目3项。
胡军,华东理工大学教授,博士生导师。针对化工、建材、钢铁等工业过程高碳排问题,开展碳捕集与化工转化利用研究。通过材料结构调控与表界面功能化,构筑吸附/催化双功能材料,重点应用于高温吸附与热催化,并推广应用于光、电催化转化。主持国家973计划项目子课题,国基金面上项目6项,上海市科技创新国际合作项目,中石化重大科技攻关项目课题、欧盟第7框架玛丽居里国际合作项目课题等,作为研究骨干参与国家863计划、科技支撑项目等。已在国内外重要期刊Nature Commun., Angew. Chem. Int. Ed., ACS Catal., Appl. Catal. B-Environ. and Energy.等发表研究论文150余篇,申请/授权中国发明专利30余项。
声明

