第一作者:周欢
通讯作者:韩世超;杜金鹏;单文坡
通讯单位:中国科学院上海高等研究院;中国科学院生态环境研究中心;中国科学院城市环境研究所
论文DOI:https://doi.org/10.1021/acs.est.5c10944
未燃烧的碳氢化合物(HC),特别是丙烯(C3H6)等轻质碳氢化合物,对铜基小孔沸石在氨选择性催化还原(NH3−SCR)控制柴油车排放氮氧化物(NOx)方面的性能有显着影响。在此过程中,会形成剧毒的氰化氢(HCN),对环境和人类健康构成重大风险。本文系统地研究了C3H6的温度依赖性中毒机制和Cu-SSZ-16催化剂上HCN的形成途径。研究发现C3H6对SCR活性具有多重影响。首先,C3H6和NH3以及NOx在活性位点上的竞争吸附导致低温(<225 ℃)催化活性下降。其次,C3H6的氨氧化反应发生在中等温度范围(225−400 ℃),导致没有NH3参与NOx还原。在此过程中,B-NH4+与C3H6的部分氧化产物反应形成甲酰胺(HCONH2),脱水生成HCN。最后,C3H6选择性催化还原NOx (C3H6−SCR)、−NCO水解释放的补充NH3以及C3H6抑制氨氧化的协同效应,促进高温(>400 °C)SCR活性。
氮氧化物(NOx)是柴油车排放的主要污染物,氨选择性催化还原(NH3-SCR)是主流脱除技术,Cu-SSZ-16催化剂因优异的水热稳定性和抗SO2性能成为热门催化剂。但实际应用中,冷启动、怠速等工况下未燃烧的丙烯(C3H6)易进入SCR系统,导致催化剂中毒并生成剧毒副产物氰化氢(HCN),严重影响催化效率和环境安全。此前研究已证实C3H6对Cu基沸石的NH3-SCR性能存在多方面影响,但Cu-SSZ-16上C3H6的温度依赖性作用机制及HCN生成路径尚未明确,亟需系统探究以优化催化剂的抗烃性能。
1. 明确C3H6对Cu-SSZ-16催化剂NH3-SCR性能的温度依赖性多重作用:低温(<225℃)因竞争吸附抑制活性,中温(225-400℃)因氨氧化消耗NH3并产HCN抑制活性,高温(>400℃)则通过C3H6-SCR、-NCO水解补NH3等协同作用促进活性。
2. 揭示HCN的关键生成路径:中温下C3H6不完全氧化产物(如HCHO)与B-NH4+反应生成甲酰胺(HCONH2),后者脱水生成HCN,且HCN可进一步氧化为-NCO实现NH3临时储存。
3. 提出抗C3H6中毒的催化剂设计方向:引入强氧化剂(Ce、Mn)强化C3H6完全氧化,调控Brønsted酸位点(水热处理、调Cu含量等)抑制竞争吸附与HCN生成,为高效抗烃SCR催化剂研发提供理论依据。
1. C3H6对NH3-SCR活性的影响
C3H6对Cu-SSZ-16催化剂活性呈温度依赖性影响(图1)。温度低于225 ℃时,NOx和NH3转化率略有下降;225-400 ℃时,催化剂性能显著衰减,且出现HCN副产物;温度高于400℃时,活性恢复并略有提升。在NH3-SCR氛围中引入C3H6,C3H6氧化为COx的能力在低中温范围内受到抑制,推测其与NH3或NO发生反应。
图1 (a) 在有无C3H6条件下,Cu-SSZ-16催化剂在NH3-SCR反应中的NOx转化率和HCN浓度;(b) Cu-SSZ-16催化剂在C3H6+O2和C3H6+SCR气氛下的C3H6转化率及COx浓度。
2. C3H6中毒的温度依赖性机制
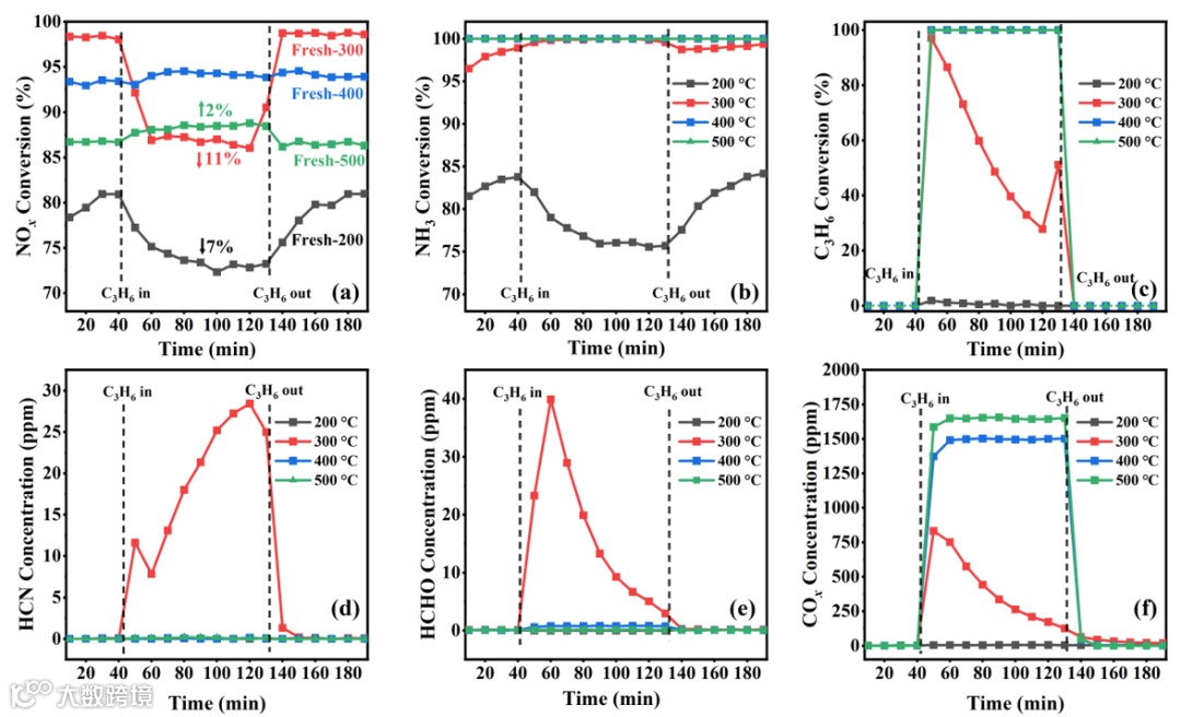
C3H6在Cu-SSZ-16催化剂上的温度依赖性中毒机制。瞬态NH3-SCR实验(图2)显示,引入C3H6后,200 ℃和300 ℃时NOx转化率分别下降7%和11%,500℃时上升2%。200 ℃时C3H6无转化,无含碳产物生成;300 ℃时C3H6转化,伴随HCN、HCHO和COx生成。400-500 ℃时,NH3和C3H6均完全转化,C3H6全被氧化为COx,中毒效应减弱。
图 2 在200、300、400和500°C下,Cu-SSZ-16催化剂在有无C3H6条件下的瞬态NH3-SCR活性测试:(a) NOx转化率;(b) NH3转化率;(c) C3H6转化率;(d) HCN浓度;(e) HCHO浓度;(f) COx浓度。
3. 低温下C3H6中毒机制
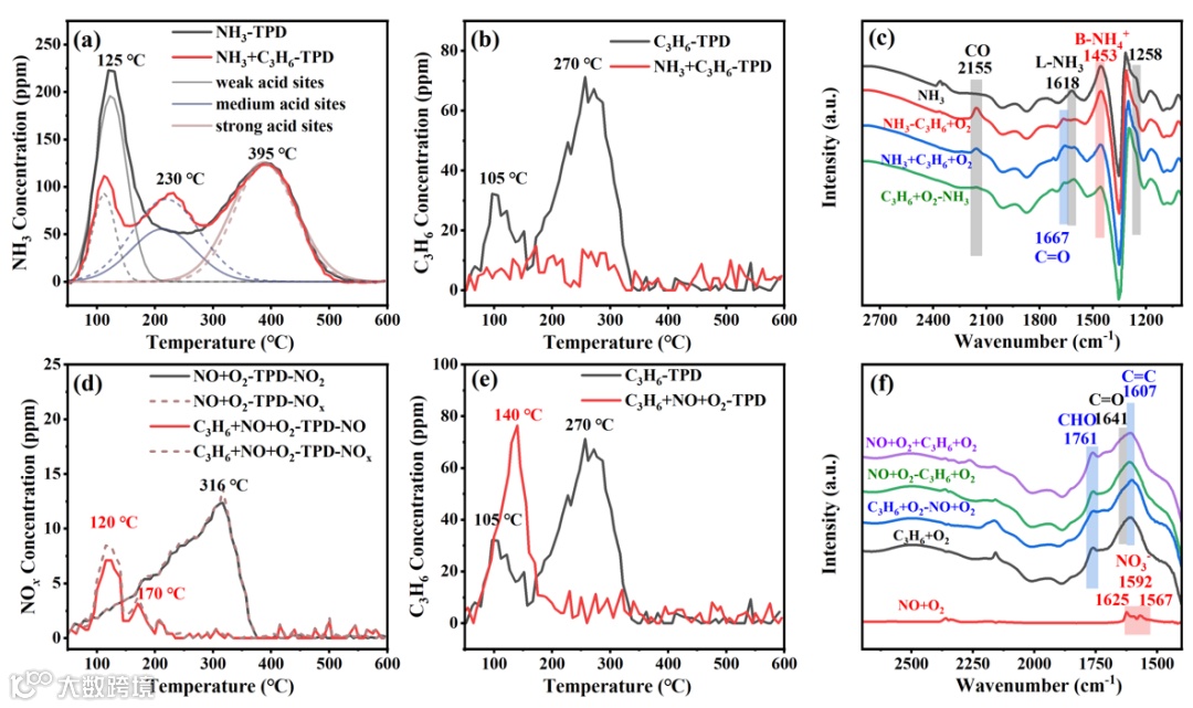
200 ℃时C3H6通过竞争吸附和阻碍NO氧化抑制催化活性。NH3-TPD显示,C3H6使催化剂总酸量下降,不同种类的酸性位点强度也发生变化(图3a)。C3H6-TPD和C3H6+NH3-TPD实验证明C3H6与NH3竞争吸附,且NH3吸附能力更强(图3b)。原位红外表明,NH3和C3H6的竞争主要发生在Brønsted酸性位点上(图3c)。有无C3H6条件下的NO+O2-TPD显示,NO和C3H6之间存在相互作用和竞争吸附,且C3H6的存在阻碍了NO氧化成NO2(图3d、e),最终抑制了SCR反应的低温性能。
图3 Cu-SSZ-16催化剂上含或不含C3H6时的NH3-TPD曲线:(a)NH3浓度,(b)C3H6浓度。Cu-SSZ-16催化剂上含或不含C3H6时的NO + O2-TPD曲线:(d)NOx浓度,(e)C3H6浓度。Cu-SSZ-16催化剂在200 ℃不同反应条件下的原位红外光谱:(c)NH3与C3H6+O2的不同引入方式,(f)NO+O2与C3H6+O2的不同引入方式。
4. 中温下C3H6中毒机制
300 ℃时,C3H6不完全氧化产物(如HCHO)与NH3反应消耗还原剂并生成HCN。不同气氛条件下实验证实,HCHO主要由C3H6不完全氧化产生,HCN主要由NH3与C3H6不完全氧化产物(如HCHO)反应生成,NO不参与HCN形成(图4)。原位红外显示,B-NH4+与C3H6氧化产物反应生成HCONH2,后者脱水生成HCN,且HCN快速氧化为-NCO(图5a)。图5b表明,NH3不能与吸附在催化剂上的C3H6氧化产物反应生成HCN。
图4. (a) Cu-SSZ-16催化剂在不同反应气氛下HCHO的生成情况,和(b) HCN的生成情况。
图5. 300 °C下Cu-SSZ-16催化剂在不同反应气氛下的原位红外光谱: (a) NH3-C3H6 + O2;(b) C3H6 + O2–NH3。
5. 高温下C3H6的促进机制
Cu-SSZ-16催化剂在300 ℃以上的温度下具有C3H6-SCR活性,从而提升了NOx的转化率。同时,在深入研究C3H6−SCR机理时发现,来自C3H6-SCR和C3H6+NH3+O2反应中的−NCO的水解产生NH3也是促进高温−活性的关键原因之一(图6)。
图6. Cu-SSZ-16催化剂在不同反应条件下的原位红外光谱: (a) 200 °C下NO + O2吸附,(b) 200 °C下C3H6+ O2吸附,(c) 300 °C下NO + C3H6 + O2反应,(d) 400 °C下有无H2O的N2吹扫。
C3H6的存在显着影响Cu-SSZ-16沸石催化剂的NH3−SCR性能,同时产生剧毒HCN,对环境和人类健康构成严重风险。因此,迫切需要开发能够控制多种污染物、针对NOx、C3H6和HCN的新型SCR催化剂。然而,这一进展的先决条件是全面了解含C3H6的NH3−SCR过程的反应机理。本研究系统研究了不同温度下C3H6对Cu-SSZ-16催化剂的影响以及HCN形成的机理。在低温(<225 °C)下,C3H6主要影响NH3在Brønsted酸位点上的吸附。在中温(225−400 ℃)下,C3H6的部分氧化产物容易与B-NH4+反应,不仅消耗NH3,而且生成HCN,严重降低NOx转化率。HCN很容易被氧化成-NCO,作为NH3的临时储存。当反应温度升高到400 ℃以上时,NH3从-NCO中释放出来,与C3H6-SCR协同作用,提高脱硝效率。这些发现通过增强将C3H6完全氧化成COx能力并适当调节Brønsted酸位点,为设计具有高HC抗性和低HCN生成的先进 SCR 催化剂奠定了基本原理。
Zhou, H.; Chen, X.; Liu, J.; Zhang, Y.; Han, S.; Sun, Y.; Du, J.; Shan, W. Dual Effects of C3 H6 in Suppressing and Promoting NH3 –SCR Performance over Cu-SSZ-16 Catalyst at Different Temperatures. Environ. Sci. Technol. 2025, acs.est.5c10944.
https://doi.org/10.1021/acs.est.5c10944.
中国科学院城市环境研究所贺泓院士/单文坡研究员团队长期从事大气污染控制与环境催化等方向研究。课题组聚焦环境催化、分子筛合成、表面科学、计算化学及应用示范项目等研究工作。现因科研需要,招聘特别研究助理和博士后数名,要求博士毕业不超过3年、35岁以下,身体健康,具备独立科研能力、责任心与团队合作精神,科研写作能力强,并在本领域国际主流期刊发表2篇以上SCI论文;需具备物理化学、催化化学、计算化学、材料化学、环境催化、环境工程、环境科学等相关专业背景。工资及福利待遇按中国科学院城市环境研究所和国家博后办有关规定执行。入职城市环境研究所宁波站的博士后,可在正常薪酬基础上另外叠加获得宁波市及北仑区最高60万元生活补贴。欢迎有意向者联系单文坡研究员:wpshan@iue.ac.cn,并发送详细个人简历(包括个人基本信息、学习工作经历、参与科研项目情况及科研成果)和自荐信各1份,及2-3篇代表性论文。期待您的加入!
声明

