第一作者:李艳彩
通讯作者:李艳彩,张颖贞
通讯单位:闽南师范大学化学,清源创新实验室
论文DOI:10.1016/j.jcis.2025.138771
近日,闽南师范大学李艳彩教授联合清源创新实验室张颖贞博士后,在《Journal of Colloid and Interface Science》(中科院一区Top期刊)发表最新研究成果。该工作成功设计并定制了一种Pt/Ni-NC双功能催化剂,将其高效应用于耦合生物质葡萄糖电氧化与析氢反应的系统中,实现了在低能耗下,阳极高效生产高附加值化学品(乳酸、甲酸)、阴极同步产出氢气,为生物质资源的高效利用与绿氢生产提供了新颖的一体化解决方案。
随着全球对可再生能源和绿色化工需求的日益增长,如何在能源转化过程中实现“化学品增值”与“清洁能源产出”的协同,是当前能源化学领域的重大挑战。生物质衍生物葡萄糖的电催化氧化(GOR),能够将其转化为高附加值化学品,同时耦合析氢反应,是一条极具吸引力的双向增值路径。然而,开发兼具高活性、高选择性和稳定性的双功能催化剂仍是当前面临的巨大挑战。
1. 双功能协同催化设计:通过引入Pt调控Ni的电子结构,促进葡萄糖电氧化反应与HER的协同进行,实现高效能量利用。
2. 精准结构调控:利用碳载体的高比表面积与导电性,提升了活性位点暴露度与电荷传输效率,使催化性能显著提升。
3. 绿色能源与化学品共生体系:将葡萄糖电氧化与HER相耦合,不仅降低了整体能耗,还同步生成氢气与高附加值产物(如乳酸、甲酸),体现了“双碳化学”的可持续理念。
图1 Pt-Ni-C催化剂的合成路线和微观结构表征 ©
图2 Pt-Ni-C催化剂的表面化学状态分析 ©
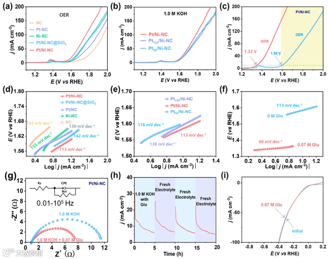
图3 葡萄糖电氧化反应性能分析 ©
图4 GOR耦合HER性能和产物分析 ©
图5 DFT模拟揭示GOR反应机制 ©
图6 HER活性与稳定性分析 ©
该项研究通过巧妙的催化剂设计,成功开发出高效的双功能Pt/Ni-NC催化剂,为生物质资源的高值化利用与清洁能源生产提供了全新的技术思路。这种耦合反应策略不仅大幅降低了电解过程的能耗,还实现了从废弃生物质到化学品和氢能的协同转化,符合绿色可持续发展的核心理念。该工作为设计下一代高效能量转化-化学品合成集成系统奠定了坚实的科学基础,预示着在生物质精炼和氢经济领域广阔的应用前景。
Tailoring bifunctional platinum-nickel-carbon catalysts for coupled biomass glucose electrooxidation to value-added products with hydrogen evolution reaction, Journal of Colloid and Interface Science, 2025, DOI: 10.1016/j.jcis.2025.138771
本文由闽南师范大学李艳彩教授团队与清源创新实验室张颖贞博士后联合供稿。
本文第一作者和通讯作者,李艳彩教授,硕士生导师,2014年被评为福建省优秀教师。主持完成1项国家自然科学基金青年项目,主持完成2项福建省自然科学基金面上项目,主持完成1项福建省自然科学基金青年创新项目,以主要参与人参与4项国家自然科学基金项目。致力于新型纳米复合材料的合成、燃料电池电催化、电化学传感器等领域的研究工作,在J. Colloid Interface Sci.、Electrochim. Acta、Sens. Actuators, B、Int. J. Hydrogen Energy等期刊发表论文50余篇。
本文通讯作者,张颖贞博士,福州大学博士毕业,现任福州大学与清源创新实验室联合培养博士后,泉州市高层次人才(第三层次),主持中国博士后科学基金面上项目1项。聚焦能源与环境交叉领域,致力于含氮废水能源化制氢、非贵金属催化剂设计、光/电催化合成高值化学品及电化学传感器方向研究。总计发表SCI论文24篇,以第一作者/通讯作者身份在Appl. Catal. B、Nano Energy、Chin. J. Catal.、J. Colloid Interface Sci.等期刊上发表12篇,被他引600余次,H指数为15(谷歌学术)。担任Chin. Chem. Lett.、Exploration、Carbon Neutralization等3本期刊青年编委,兼任AIChE J.、Nano Energy等多本期刊独立审稿人。
声明

