

单原子活性位点催化剂在光催化 CO2转化领域引起了广泛关注。然而,设计同时具有 CO2 还原和 H2O 氧化活性位点的光催化剂并将相应的半反应整合到同一个光催化系统中仍然非常困难。在这里,本文合成了一种双金属单原子活性位点光催化剂Mn1Co1/CN,即在氮化碳上具有两个相容的 Mn 和 Co 活性位点。实验结果和密度泛函理论计算表明,Mn 活性位点通过积累光生空穴来促进 H2O 氧化,Co 活性位点通过增加 CO2 分子的键长和键角来促进CO2 的活化。得益于原子活性位点的协同作用,Mn1Co1/CN的 CO 产率为 47 μmol g-1h-1,显著高于相应的单金属活性位点光催化剂。

近年来,具有完全暴露活性位点的单原子催化剂在光催化 CO2转化中引起了广泛关注。特别是双单原子催化剂,不仅能暴露出更多的反应位点,而且双金属原子形成的高电子/空穴密度反应中心可作为氧化还原反应的活性位点,并产生内建电场以促进电荷转移。迄今为止,关于单原子光催化剂的设计主要集中在CO2 还原的反应位点上,而同时发生的氧化反应位点则经常被忽略。因此,有必要设计一种在原子水平上兼具 CO2 还原位点和 H2O 氧化位点的光催化剂。然而,设计这种光催化剂并在光催化系统中整合相应的半反应仍然具有挑战性。
受自然光合作用系统的启发,本文合成了一种以 Mn 和 Co 单原子作为氧化还原位点的氮化碳 (CN) 光催化剂 (Mn1Co1/CN)。与相应的单原子光催化剂相比,合成的双单原子光催化剂在 CO2 光还原为 CO 方面表现出显著增强的活性。实验结果和密度泛函理论计算表明,在 CN 上的单原子 Mn促进了 H2O的氧化。同时,单原子 Co 使 CO2 分子的C=O 键长和键角增加,从而促进了 CO2 的活化。此外,光电化学测量和飞秒瞬态吸收光谱 (TAS) 证实,在 CN 上引入Mn 和 Co 单原子有助于空穴-电子分离和电荷转移。

图 1. (a) Mn1Co1/CN 催化剂的合成。Mn1Co1/CN 的 (b) SEM 和 (c) TEM 图像。(d) Mn1/CN 和 (e) Mn1Co1/CN 的 AC HAADF-STEM 图像。
通过超分子自组装和原子限制策略合成了 Mn1Co1/CN光催化剂。先将等摩尔比的三硫氰尿酸、三聚氰胺和适量的乙酸锰在 H2O 中低速搅拌制备超分子加合物。然后,将该溶液在Ar 气氛中煅烧以获得 CN 微棒(Mn1/CN)。将 Mn1/CN 浸入Co(NO3)2·6H2O) 水溶液中剧烈搅拌,然后将所得固体在H2 气氛中退火,合成棒状 Mn1Co1/CN。Mn1Co1/CN 的 SEM 和 TEM 图像呈现出平均宽度为 1-5 μm 的棒状形态。此外,负载 Mn 和 Co 后宏观形态几乎没有变化。在 Mn1/CN、Mn1Co1/CN光催化剂的 AC HAADF-STEM 图像上观察到孤立的亮点为 Mn 和 Co 单原子。但是,由于 Mn的原子序数与 Co 接近,因此很难从 CN 载体中识别单个 Mn 和 Co 原子。
Mn1Co1/CN 的 Mn K 边 XANES 图谱中 Mn物种的价态介于 0 和 +3 之间,并且 Mn1Co1/CN 的白线与 MnO 的白线相对接近,但略高于MnO 的白线,表明 Mn 的价态略高于 +2。与 MnO 和 Mn2O3相比,Mn1Co1/CN 的 FT-EXAFS 图谱中仅观察到 Mn-N(O) 配位峰(1.63 Å),没有观察到 Mn-Mn 配位峰(2.33 Å),表明 Mn1Co1/CN中没有 Mn 纳米颗粒。小波变换(WT)图也显示 Mn1Co1/CN 催化剂的 WT 光谱在 k 空间的最大强度约为 4 Å,没有观察到最大强度约为 6 Å 的峰(Mn-Mn 金属键)。同样在 Mn1Co1/CN的 Co K 边XANES 和 EXAFS 图谱中仅观察到 Co-N 配位,没有观察到 Co-Co 配位,表明 Mn1Co1/CN 中不存在 Co 纳米颗粒。以上结果表明,在CN 基体中成功地引入了 Mn 和 Co 单原子位点。
图 2. (a) Mn 箔、Mn2O3、MnO 和 Mn1Co1/CN 的 Mn K 边 XANES 光谱。(b) 样品的 k3-加权傅里叶变换Mn K 边 EXAFS 光谱。(c) R 空间中 Mn1Co1/CN 催化剂的 Mn K 边 EXAFS 拟合曲线。(d) Mn 箔、(e) Mn2O3、(f) MnO 和 (g) Mn1Co1/CN 的小波变换 k3-加权 EXAFS 光谱。(h) Co 箔、CoO和 Mn1Co1/CN 的Co K边XANES光谱。(i) 样品的k3-加权傅里叶变换 Co K 边 EXAFS 光谱。(j) R 空间中Mn1Co1/CN 催化剂的 Co K 边 EXAFS 拟合曲线。(k) Mn1Co1/CN、(l) Co 箔和 (m) CoO 的小波变换 k3-加权 EXAFS 光谱。
图 3. (a) 双单原子活性位点样品用于 CO2还原的光催化活性,(b) 单原子氧化位点的样品用于 H2O 氧化(ESA:电子牺牲剂)和 (c)单原子还原位点的样品用于 CO2还原。
样品的光催化 CO2 还原性能评估是在纯水系统中进行的。Mn1Co1/CN 表现出最佳的 CO2光还原性能,CO 释放速率达到 47 μmol g-1h-1。负载的 Co 和 Mn 单原子可以作为氧化还原位点,显著提高 CO 的析出速率。此外,没有观察到其他气态或液态产物, CO2 还原成CO 的选择性接近100%。
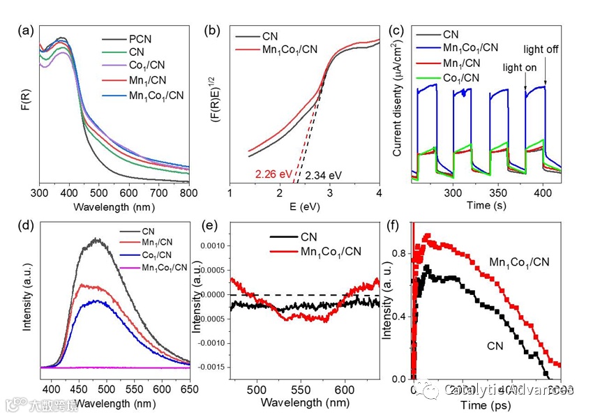
为了阐明单个原子的关键作用,对具有单个金属位点的样品进行了光催化 H2O 氧化反应。CN 的 O2 析出速率为 96 μmol g-1h-1。与 CN 相比,Co1/CN(100 μmol g-1 h-1)的 O2析出速率没有明显提高。然而,Mn1/CN的 O2 析出速率达到177 μmol g-1h-1。这一结果表明,单原子 Mn 比单原子 Co 更有利于 H2O 分解产生 O2。同样进行了单个金属位点样品的光催化 CO2还原反应,CN 的 CO 析出速率为 10 μmol g-1 h-1,Co1/CN的CO 析出速率为 28 μmol g-1 h-1,Mn1/CN的 CO 析出速率仅为13 μmol g-1 h-1,表明单原子 Co比单原子 Mn 更有利于 CO2 还原为CO。
以上结果表明,单原子Mn 位点可以促进 H2O 的氧化反应,而单原子Co 位可以促进 CO2 还原反应。
利用密度泛函理论计算研究了 CO2 在 Co1/CN 和 Mn1/CN 上的吸附和活化。当CO2 分子吸附在 Co 原子附近,CO2 分子中 C=O 键的键长从 1.16 Å 增加到 1.21 Å 和1.22 Å,CO2 分子以151.2° 的角度弯曲。这表明 Co1/CN 可以很容易地活化 CO2 分子。相比之下,在 Mn1/CN 上,CO2 分子远离底物,没有观察到弯曲,表明 Mn1/CN不利于 CO2 的活化。Mn1Co1/CN原位红外光谱 1577 和 1211 cm-1处观察到的红外峰,对应于 CO2 光还原为 CO 的关键中间体 HCOO-。13CO2 标记实验表明 CO 是 CO2 还原的产物。
紫外/可见漫反射光谱显示,与 CN 相比,Co1/CN、Mn1/CN 和 Mn1Co1/CN的光吸收边呈现出轻微的红移。Tauc 图表明,与 CN 带隙(2.34 eV)相比,Mn1Co1/CN 带隙(2.26 eV)减小,有利于光吸收。此外,光电化学测量、光致发光 (PL) 和飞秒瞬态吸收光谱 (TAS) 表明 Mn1Co1/CN 在可见光激发下显示出更有效的光生电荷分离。

本文开发了一种超分子自组装和原子限制策略,成功合成了一种含有 Mn 和 Co 双单原子活性位点的光催化剂。在光催化 CO2 转化中,Mn 单原子活性位点有利于空穴的积累,加速H2O 的氧化。同时,Co 单原子可以有效吸附CO2,从而加速 CO2 还原为CO。此外,实验结果还表明,构建双金属单原子氧化还原位点可以有效促进光生电荷的转移。本文的研究结果可用于制备具有单原子活性位点的光催化剂,这些活性位点在人工光合作用中具有广阔的应用前景。
文献信息
Honghui Ou, Shangbo Ning, Peng Zhu, Shenghua Chen, Ali Han, Qing Kang, Zhuofeng Hu, Jinhua Ye, Dingsheng Wang, Yadong Li. Carbon Nitride Photocatalysts with Integrated Oxidation and Reduction Atomic Active Centers for Improved CO2 Conversion. Angewandte Chemie International Edition 2022, doi.org/10.1002/anie.202206579.
声明
本文仅供科研分享,不做盈利使用,如有侵权,请联系后台小编删除
“邃瞳科学云”直播服务
“邃瞳科学云"平台正在收集、整理各类学术会议信息,欢迎学会、期刊、会议组织方择优在邃瞳平台上进行线上直播,希望藉此帮助广大科研人员跨越时空的限制,实现自由、畅通地交流互动。欢迎老师同学们提供会议信息(会有礼品赠送),学会、期刊、会议组织方商谈合作,均请联系翟女士:18612651915(微信同)。
投稿、荐稿、爆料:Editor@scisight.cn
扫描二维码下载
邃瞳科学云APP

