
第一作者:Marc Ziemba
通讯作者:Christian Hess
论文DOI:https://doi.org/10.1002/anie.202209388

全文速览
尽管 In2O3已成为一种很有前景的 CO2 活化催化剂,但是,目前科学界仍缺乏对其在 CO2 加氢中的催化机理的了解。这是因为,吸收效应导致原位操作振动光谱的应用具有挑战性。在这项机理研究中,本文系统地解决了与 In2O3 纳米颗粒表面和体相的逆水煤气变换反应 (rWGSR) 相关的氧化还原过程。基于与温度相关的原位操作紫外可见光谱和热粉末催化剂的新型原位操作阻抗方法,该研究发现 CO2 氧化可能是 rWGSR 的速率决定步骤。该结果与氧化还原过程一致,其中,含氢表面物质显示出促进作用。该研究结果表明,除了表面过程外,氧/氢动力学对活性也很重要,这不仅与 In2O3相关,而且与其他可还原氧化物催化剂也相关。

背景介绍
基于立方 In2O3(c-In2O3, Ia3̅) 的催化剂因其在 CO2 活化方面的优异性能而被广泛研究,例如甲醇合成,使用双功能催化剂直接生产液体燃料,或逆水煤气变换反应 (rWGSR)。后一种反应与能源产业和化学工业密切相关,因为 CO2可以转化为 CO,然后可以将其加氢生成液体燃料(通过Fischer-Tropsch 过程)或用作化学过程的原料。这种方法可以满足不断增长的能源需求,同时还可以减少燃烧化石燃料排放的大量二氧化碳。
理论研究已经解决了 In2O3 上的 CO2加氢问题,突出了氧空位的重要性。其中, H2 解离在热力学和动力学上是有利的。更具体地说,In2O3−x(OH)y(111) 表面上的受挫路易斯对 (FLP) 已被视为关键因素用于 H2 解离以及 CO2 还原(后者是限速步骤)。另一项关于可能反应途径的理论(密度泛函理论,DFT)研究报告表明,将弯曲的 CO2 吸附物 (bt-CO2*) 转化为羧酸盐中间体 (COOH*) 的质子化是 CO 形成的限速步骤(随后 COOH* 在表面分解为 CO 和氢氧化物)。在原位光谱和 DFT 相结合的研究中,科学家研究了 c-In2O3 的温度依赖性还原行为。
在实验方面,研究人员发现,表面铟oxo物种有利于氧化铝负载的 c-In2O3上的氢异裂解离,这与表面氢化铟和羟基的形成有关。对 In2O3-CeO2催化剂的研究强调了 In2O3 中的氧空位对 CO2 转化的重要性。立方 In2O3已被证明比六方 In2O3 更适合 rWGSR,其通过增强 H2 的解离吸附,促进氧空位的形成并增强吸附和活化 CO2 的能力。富含缺陷的 In2O3已被用作 rWGSR的光催化剂,在≤200°C时表现出高活性,而在更高的温度下,光化学活性和热活性之间的差异变得更小。
In2O3 在热rWGSR(≥200°C)中的机理研究数据仍然非常有限,特别是在表面化学和次表面/体积动力学方面,这可能是因为 In2O3 吸收特性导致 IR 和拉曼光谱存在一定局限性。事实上,到目前为止,还没有关于 In2O3催化剂的 rWGSR 原位操作研究报道。然而,(亚)表面/体过程似乎在 In2O3 催化剂中发挥重要作用。作者之前的研究表明,在高温下,体相和(亚)表面之间的氧空位会交换。此外,氢的扩散可能通过影响电子结构或氢化中间体(例如 COOH*)的形成,从而影响催化活性。阻抗测量可用于在甲醇蒸汽重整和 (r)WGS 的背景下研究机理,但目前仍没有使用等效电路拟合或原位操作监测进行进一步分析。总之,在文献中似乎同时假设了再生氧化还原机制(没有发生反应中间体,如碳酸盐、COOH*)和通过中间体进行的反应。因此,它们同时发生似乎也是合理的。

图文解析
图 1. 在 130°C 至 280°C 的反应条件(CO2:H2, 2:4)下,以 30°C 的步长,在 O2 和 H2 暴露期间记录的 In2O3 片的原位操作紫外可见光谱结果。
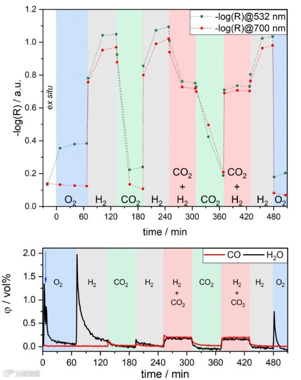
图 2. 上图:在 250°C 和总流速为 100 mL/min 的指定气体暴露期间,记录的 In2O3 片的原位操作紫外可见结果;在25°C 下获取的是非原位光谱。底部:UV-vis 测量期间的气相 IR 分析。
图 3. 基于 In2O3的原位操作 EIS 奈奎斯特图,及其相应等效电路的拟合。A)在 250°C 下 CO2 气体处理(2vol%;总流量:50 mL min–1)期间,奈奎斯特图中的不同区域及其在等效电路中的相应部分。B) 同上,条件为在 250°C 的CO2/H2 处理过程中(2vol% CO2,4vol% H2;总流速:50 mL min–1)。
图 4. 在 250°C 和总流速为 100 mL min–1的指定气体暴露后,在 50°C 的氩气中记录的准原位拉曼光谱。
图 5. 在暴露于 250 °C 和总流速为 100 mL min–1的指定气体气氛后,准原位记录的价带光电子光谱。

总结与展望
基于上述结果,本文通过应用原位操作紫外-可见光谱和(在热催化方面)新开发的原位操作阻抗光谱,以及准原位光谱(拉曼、XPS、UPS),对在 c-In2O3 催化剂上的rWGSR机理有了更深入的了解。通过对相关还原和氧化过程及其与反应条件的比较,证明了In2O3 在原位操作模式下的新机理。例如,研究表明,表面还原,以及氧空位的扩散会导致体还原。虽然还原后的 c-In2O3 纳米颗粒可以被表面的 CO2氧化,但只有 O2 才能完全氧化体相。这种行为与还原剂(H2 或 CO)无关,尽管 CO 会导致更强的 In2O3 还原。
基于与温度相关的 UV-vis 分析,CO2 的氧化被确定为 rWGSR 的速率决定步骤,这得到了原位操作阻抗谱的支持验证,并显示出了氢贡献的优势。CO 和 H2O 的明显演变(以及在用CO2 或 H2 单独处理后)与氧化还原过程完全一致。但是,由于在反应条件下转化率稍高,因此作者认为含氢表面物质(例如氢氧化物、氢化物)具有促进CO2 转化的作用(和/或含氢中间体(例如 COOH*)可能发挥作用)。这种行为与理论研究的结果一致,并将 CO2转化与受挫的 Lewis 对相关联。
上述对(亚)表面和体相的分析表明,整个 In2O3 纳米粒子都参与了反应,这只能通过使用互补的原位/操作技术来验证。结合实验和理论结果,作者开发出在 c-In2O3上的rWGSR机理图。该研究结果对于详细了解 In2O3上的 CO2 加氢和其他相关催化过程具有直接相关性。考虑到基于可还原氧化物材料的催化剂的重要性日益增加,预计它们也会产生更普遍的影响。
声明
本文仅供科研分享,不做盈利使用,如有侵权,请联系后台小编删除
“邃瞳科学云”直播服务
“邃瞳科学云"平台正在收集、整理各类学术会议信息,欢迎学会、期刊、会议组织方择优在邃瞳平台上进行线上直播,希望藉此帮助广大科研人员跨越时空的限制,实现自由、畅通地交流互动。欢迎老师同学们提供会议信息(会有礼品赠送),学会、期刊、会议组织方商谈合作,均请联系翟女士:18612651915(微信同)。
投稿、荐稿、爆料:Editor@scisight.cn
扫描二维码下载
邃瞳科学云APP

