
第一作者:Jian Peng, Yun Gao
通讯作者:李丽,侴术雷,王佳兆
DOI:10.1002/anie.202205867

全文速览
普鲁士蓝类似物(PBA)具有一系列优点,可以作为钠离子电池(SIBs)的优良正极材料。然而,它们的大规模商业化仍然不太理想,存在稳定性差、大量[Fe(CN)6]缺陷以及结构中的间隙水等问题,这些与晶体快速生长有关。本文提出了一种“盐包水”纳米反应器来合成高度结晶的PBA,减少了其缺陷和水分,在SIBs中显示出优异的比容量和倍率性能。所合成的PBA的空气稳定性、全气候条件使用性和全电池特性也得到了评估,通过与水基共沉淀法合成的对应物相比,它表现出增强的电化学性能和更高的体积产率。此外,已经通过多种原位技术测量鉴定了其高度可逆的钠离子存储行为。这项工作为大规模储能系统中基于 PBA的SIBs铺平了道路。

背景介绍
由于化石燃料的储量有限,近年来,人们对于可持续能源的开发和利用投入了更大的研究,为了将可再生能源有效地利用到智能电网中,目光投向了可充电蓄电池。与已知的资源有限且价格昂贵的锂离子电池(LIBs)相比,钠离子电池(SIBs)由于其天然储量和低成本特性,有希望成为电网规模储能的更好选择。迄今为止,最有前途的商业SIBs正极材料主要有四种,包括层状氧化物、普鲁士蓝类似物 (PBA)、聚阴离子材料以及有机化合物。PBAs是一种具有坚固三维开放结构的金属-有机骨架,允许钠离子的可逆储存,在过去十年中作为正极材料得到了广泛的研究。与其他需要高温煅烧的正极不同,PBAs在室温下通过水基共沉淀法从丰富的原材料中简便的合成工艺使其成为有希望的候选材料,可以有效地大规模生产并广泛用作低成本电网规模储能系统(GESS)中SIBs的正极材料。
PBAs的化学式一般可以表示为AxM1[M2(CN)6]1-y□y•nH2O,其中A代表碱金属离子,M代表过渡金属,□代表间隙水占据的空位。得益于低成本的Fe/Mn资源及其在PBA框架内的电化学活性,铁基和锰基PBAs是丰富的PBA家族中的两个理想候选者,理论比容量高达约170 mAh g-1。然而大多数PBAs由于其晶体结构中含有大量空位和间隙水分子,导致其容量低,循环寿命短,这是由晶体快速生长引起的。因此,探索能够以低成本和高空间利用率生产高度结晶PBAs的简便合成策略至关重要。
本文报告了一种独特的纳米反应器策略,该策略能够在有限的反应区内,无需任何添加剂的帮助,制造高度结晶的PBAs。所制备的锰基PBA(MnHCF-S-170)在-10℃至50℃的宽温度范围内表现出快速稳定的电化学性能和增强的空气稳定性。此外,使用MnHCF-S-170作为阴极,软碳作为阳极,展示了全电池。利用原位粉末X射线衍射(PXRD)和原位拉曼光谱进一步揭示了MnHCFS-170的高可逆性。本文的研究结果表明,这种“盐包水”纳米反应器策略是以低成本实现PBAs大规模生产的一条有希望的途径,并为其在SIBs中的实际应用铺平了道路。

图文解析
图1. 立方MnHCF-L(a,c)和单斜MnHCF-S-170(b,d)的结构示意图和Rietveld精修图。
图2. PBA样品的结构和形态分析。MnHCF-L和MnHCF-S-170的(a)TGA曲线,(b)FTIR光谱,(c)N2吸附-脱附等温线,孔径分布在插图中,以及(d)Fe 2p和(e)Mn 2p拟合光谱;(f)三个样品的拉曼光谱,(g)SEM图像和相应的元素分布图像,以及(h)MnHCF-S-170的EDS光谱。
图3. MnHCF-L和MnHCF-S-170的电化学性能。(a)以0.1 mV s-1的扫描速率测量的典型CV曲线;(b)电流密度为10 mA g-1时的充/放电曲线;(c)制备样品的空间利用率和耗水量比较;(d)不同循环的充电/放电曲线;(e)MnHCF-S-170的充电/放电曲线;(f)倍率性能;(g)样品在10-1000 mA g-1电流密度范围内的容量保持率;(h) 样品的Nyquist图;(i)10 mA g-1 初始放电过程的 GITT曲线。
图4. 钠储存机制。(a)具有投影的原位拉曼3D彩色图,(b)2D等高线图,以及(c)线光谱(左)和相应的恒电流充电/充电电压曲线,电流密度为30 mA g-1(右);(d) MnHCF-S-170的有投影的原位粉末XRD 3D彩色图,(e) 2D等高线图,和 (f) 线光谱(左)和恒电流充电/充电电压曲线,电流密度为30 mA g-1(右)。
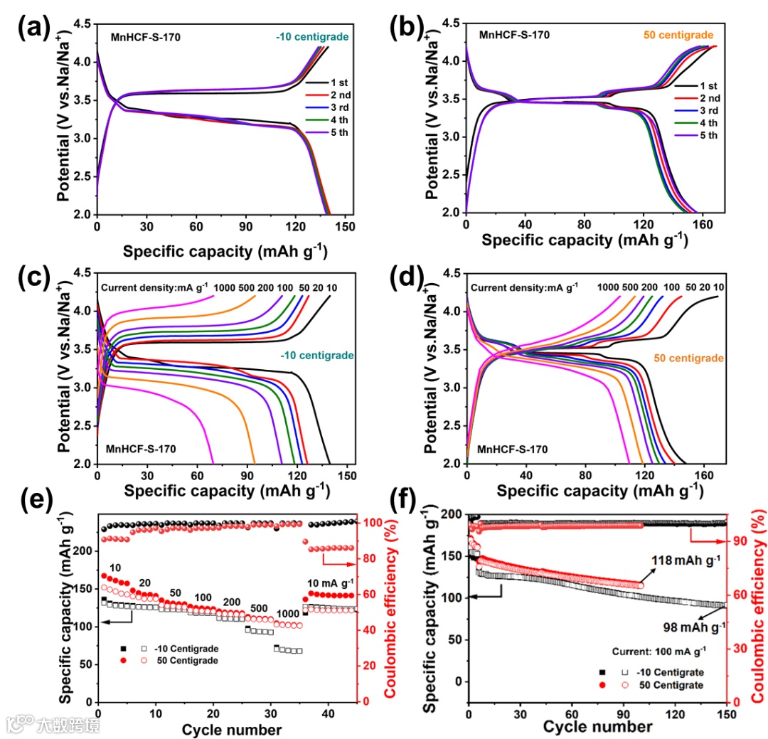
图5. MnHCF-S-170的全气候电化学性能。(a,b)活化后电流密度为10 mA g-1时,在-10°C和50°C下的充电/放电曲线;(c-e)电流密度为10-1000 mA g-1时,在-10°C和50°C下的速率性能;(f)电流密度为100 mA g-1时,在-10°C和50°C下的长循环性能。
图6. 基于MnHCF-S-170阴极和软碳阳极的软包全电池电化学性能。(a) 全电池的示意图;(b) MnHCF-S-170和软碳电极的充电/放电曲线,用于确定全电池的电压范围;(c) 全电池前5个循环的充电/放电曲线,和(d)全电池的循环性能。

总结与展望
本文成功地设计了一种独特的纳米反应器,以制备无任何添加剂的高度结晶PBAs。MnHCF-S-170在10 mA g-1时表现出164 mAh g-1的高比容量,在-10°C到50°C宽范围内的钠离子存储性能。原位PXRD和原位拉曼光谱结果均显示其高度可逆的结构演化过程,GITT 研究了Na+扩散系数。为了实际应用,制作了MnHCF-S-170和软碳基全电池作为演示。结果表明,通过这种低成本方法制备的PBAs具有很高的空间利用率,在SIBs的各种正极材料中具有很强的竞争力,应该对其在GESS中的实际应用进行更全面的研究。

文献来源
Peng, J., gao, y., Zhang, H., Liu, Z., Zhang, W., Li, L., Qiao, Y., Yang, W., Wang, J., Dou, S.and Chou, S. Ball Milling Solid-state Synthesis of Highly Crystalline Prussian Blue Analogue Na2-xMnFe(CN)6 Cathodes for All-climate Sodium-ion Batteries. Angew. Chem. Int. Ed.2022
文献链接:https://doi.org/10.1002/anie.202205867
声明
本文仅供科研分享,不做盈利使用,如有侵权,请联系后台小编删除
“邃瞳科学云”直播服务
“邃瞳科学云"平台正在收集、整理各类学术会议信息,欢迎学会、期刊、会议组织方择优在邃瞳平台上进行线上直播,希望藉此帮助广大科研人员跨越时空的限制,实现自由、畅通地交流互动。欢迎老师同学们提供会议信息(会有礼品赠送),学会、期刊、会议组织方商谈合作,均请联系翟女士:18612651915(微信同)。
投稿、荐稿、爆料:Editor@scisight.cn
扫描二维码下载
邃瞳科学云APP

