

背景介绍
工业废水的污染问题已经引起越来越多的关注。许多工业过程如煤炭、石油、塑料和橡胶工业,都需要对工业废水中高浓度的苯酚及其衍生物进行降解处理。废水中的苯酚不仅威胁着人类健康,而且很难在自然条件下分解。目前,从废水中去除苯酚的主要方法包括物理法、化学法和生物法。令人遗憾的是,这些方法往往适用于处理低浓度有机物的废水。通过使用高降解效率的氧化剂,化学除酚法可以将废水中的有机物氧化成相对无害的最终产物二氧化碳和水。催化湿式氧化法是一种利用氧化剂降解废水的有效方法。常用的均相芬顿试剂或类芬顿试剂在金属如铁或铜催化剂的作用下促进苯酚的降解。但是反应过程中金属组分的浸出效应严重,容易对环境造成二次污染。因此,寻找一种简单有效的方法来去除废水中高浓度的苯酚是刻不容缓。
#图文简介
近日,中国科学院化学研究所韩布兴院士、樊红雷副研究员团队设计合成了十二烷基三甲基钨酸铵离子液体,该离子液体在50 °C条件下经过8小时可以将高浓度苯酚(48 g/L)完全降解为气体(二氧化碳、一氧化碳及氢气)和水。
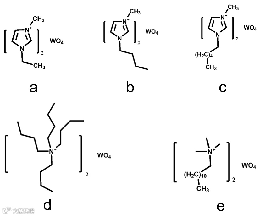
为了研究苯酚的降解,作者首先合成几种含有不同阳离子的钨酸盐离子液体(化学结构见图1)。这些离子液体包括咪唑类阳离子(1-乙基-3-甲基咪唑钨酸盐([EMIm]2WO4)、1-丁基-3-甲基咪唑钨酸盐([BMIm]2WO4)和1-辛基-3-甲基咪唑钨酸盐([OMIm]2WO4)和季铵盐阳离子(四丁基钨酸铵([(n-Butyl)4N]2WO4)和十二烷基三甲基钨酸铵([Dodecyl(CH3)3N]2WO4)。在预实验中利用离子液体和过氧化氢在不同反应条件下降解苯酚。当离子液体为[Dodecyl(CH3)3N]2WO4时,主要产物包含气态产物(二氧化碳、一氧化碳和氢气)(见图2),即实现了苯酚的完全降解。

图1. 所用离子液体的结构 (a) [EMIm]2WO4;(b) [BMIm]2WO4;(c) [OMIm]2WO4;(d) [(n-Butyl)4N]2WO4;(e) [Dodecyl (CH3)3N]2WO4。

图2. 苯酚在[Dodecyl(CH3)3N]2WO4催化降解时气态产物的气相色谱图。
表1. 使用不同催化剂时苯酚的氧化降解 a。
a 第1-8项的反应条件:苯酚1.0 mmol,离子液体0.05 mmol,H2O2 2 mL,反应温度363 K,反应时间3 h。b 第9-10项的反应温度为323 K。c 第9、10和11项的反应时间均为8 h。
接着,作者研究了在[Dodecyl(CH3)3N]2WO4的催化作用下,反应时间和温度对苯酚氧化降解的影响,结果见图3。在293 K至363 K的温度下,苯酚的转化率随反应时间的延长而增大。当温度高于323 K时,苯酚的降解速度变得更快。此外,在363 K温度下,苯酚可以在4小时内完全分解。众所周知,高温通常有利于反应的进行。提高温度会加速苯酚和催化剂之间的扩散,从而增加苯酚和催化剂之间的接触机会,最终提高苯酚的降解速率。因此,温度越高,反应速度越快。图3还显示,即使反应温度低至323 K,将反应时间延长至8小时,也能利用[Dodecyl(CH3)3N]2WO4离子液体使苯酚完全降解。

图3. 反应温度和时间对苯酚转化的影响。反应条件:苯酚1.0 mmol,离子液体0.05 mmol,H2O2 2 mL。
根据实验结果和文献资料,作者提出了可能实现的反应途径(如图4所示)。首先,[Dodecyl(CH3)3N]2WO4离子液体与H2O2接触,生成双过氧钨酸盐化合物。随后,苯酚被氧化成对苯醌。然后,氧原子插入苯醌中的C=C键,形成环氧化物或过氧化物。此外,环氧化物或过氧化物被水解成多羟基中间产物,然后羟基可以被氧化成羰基化合物。鉴于钨酸盐可以用作Baeyer-Villiger氧化反应的催化剂,且产物中含有有机酸,作者推断羰基化合物经过Baeyer-Villiger氧化反应后会进一步水解成有机酸。最后,在钨酸盐离子液体的催化作用下,有机酸被深度氧化生成气态产物和水。

图4. 可能实现的苯酚氧化降解机制。
#总结与展望
综上所述,研究人员发现[Dodecyl(CH3)3N]2WO4离子液体能够在323 K温度条件下将高浓度苯酚完全降解为气体和水。离子液体热稳定性强,可以在反应后循环使用。这种独特的离子液体表现出良好的催化氧化性能,可以使苯酚在离子液体周围富集,促使苯酚完全降解。本研究提供一种新的方法在温和条件下去除废水中的苯酚污染物。
#文章信息
相关工作以“Complete degradation of high-loaded phenol using tungstate-based ionic liquids with long chain substituent at mild conditions”为题发表在Green Energy & Environment期刊,第一作者为杨莹莹博士,通讯作者为韩布兴院士和樊红雷副研究员。
#通讯作者简介
韩布兴
韩布兴,中国科学院化学研究所研究员、华东师范大学特聘教授、英国诺丁汉大学荣誉教授,中国科学院院士、发展中国家科学院院士、英国皇家化学会会士,中国科学院胶体界面与化学热力学重点实验室主任,上海市绿色化学与化工过程绿色化重点实验室主任。主要从事物理化学与绿色化学的交叉研究,在绿色溶剂体系化学热力学、绿色溶剂-催化剂体系构建及其在CO2、生物质、废弃塑料等固体废弃物催化转化中的应用研究方面取得系统性成果。在Science、Nat. Commun.、Sci. Adv.、Angew. Chem. Int. Ed.、J. Am. Chem. Soc.等期刊发表SCI收录论文800余篇,获国家专利60余件,在重要学术会议做大会报告和邀请报告200余次。作为第一完成人获国家自然科学奖二等奖1项、北京市科学技术奖二等奖1项,获Elsevier出版社J.Colloid interf. Sci.期刊终身成就奖,作为非第一完成人获国家和省部级科技进步奖3项。
任国际纯粹与应用化学联合会(IUPAC)学绿色化学委员会主席、创新中国智库首席科学家、北京能源与环境学会会长、中国化学会常务理事、中国化学会绿色化学专业委员会主任;任石油化工催化材料与反应工程国家重点实验室学术委员会主任、生物质热化学技术国家重点实验室学术委员会主任、绿色合成与转化教育部重点实验室学术委员会主任、应用表面与胶体化学教育部重点实验室学术委员会主任;担任Cell 出版社The Innovation期刊主编,Green Chem.、《物理化学学报》、《科学通报》、《高等学校化学学报》期刊副主编,Natl. Sci Rev.、Chem. Sci.、ChemSusChem、Curr. Opin. Green Sustain. Chem.、J. Supercritical Fluids、J.Chem. Thermodyn.、Green Chem. Eng.、中国科学(化学)等多种期刊的编委或顾问编委。
樊红雷
樊红雷,中国科学院化学研究所副研究员,硕士生导师。主要从事超浸润材料的制备、发展绿色催化体系促进生物质的高值化利用和多环芳烃的加氢裂化研究工作。主持科研项目包括国家自然科学基金面上基金项目、青年基金项目等6项,任Frontiers in Chemistry客座副主编。共发表SCI论文49篇,主要研究工作发表在Chem 、Small、Green Chemistry、ACS Applied Materials & Interfaces、Green Energy & Environment 和Chemical Communications 等国际期刊,文章被引用2000余次,申请国家发明专利8项。
撰稿:原文作者
声明
本文仅供科研分享,不做盈利使用,如有侵权,请联系后台小编删除
“邃瞳科学云”直播服务
“邃瞳科学云"平台正在收集、整理各类学术会议信息,欢迎学会、期刊、会议组织方择优在邃瞳平台上进行线上直播,希望藉此帮助广大科研人员跨越时空的限制,实现自由、畅通地交流互动。欢迎老师同学们提供会议信息(会有礼品赠送),学会、期刊、会议组织方商谈合作,均请联系翟女士:18612651915(微信同)。
投稿、荐稿、爆料:Editor@scisight.cn
扫描二维码下载
邃瞳科学云APP

