第一作者:王兴悦
通讯作者:董双石
通讯单位:吉林大学
论文DOI:10.1016/j.jhazmat.2022.128864
图片摘要

成果简介
近日,吉林大学新能源与环境学院的董双石教授在Journal of Hazardous Materials上发表了题为“Cl-based functional group modification MIL-53(Fe) as efficient photocatalysts for degradation of tetracycline hydrochloride”的研究论文。该论文研发了一种基于Cl官能团改性MIL-53(Fe)的过氧化氢(H2O2)活化体系,深入研究了对盐酸四环素的降解反应机制,论证了铁价态转化和自由基的作用机理。系统研究了引入Cl官能团对有机金属骨架(MOF)的影响,为提升芬顿反应性能提供了新的思路。
全文速览
本研究采用水热法,通过掺入三种不同的含氯配体:2-氯对苯二甲酸、2,5-二氯对苯二甲酸和2,3,5,6-四氯对苯二甲酸,制备了不同Cl官能团含量的改性MIL-53(Fe)。研究表明,构建的2Cl-MIL-53(Fe)催化剂的反应速率常数是单独MIL-53(Fe)催化剂的3.8倍,并且2Cl-MIL-53(Fe)催化剂在保持原有结构特性的同时表现出最佳的光电性能。实验分析和第一性原理研究表明,Cl官能团的引入不仅减小了带隙宽度,增强了可见光吸收能力,而且显着提高了Fe-O团簇的电子云密度。进一步加速Fe(III)/Fe(II)的氧化还原循环,有利于H2O2的活化。
引言
据报道,在MOF中引入官能团可以提高光吸收能力或降低电子-空穴复合效率,从而促进可见光光催化活性。研究表明,卤素原子的强电子离域效应可以有效地增强电荷载流子的分离和转移,且在MOF中引入不同的配体也会影响光芬顿反应中的重要活性中心Fe-O簇。然而,目前尚无将Cl原子引入MIL-53(Fe)催化剂的相关报道,也尚不清楚在MOF中引入卤素基团是否会影响Fe-O簇的催化活性。
图文导读

图1:MIL-53(Fe) 的 SEM 图像(a)、TEM 和 Fe 的映射图像(插图)。1Cl-MIL-53(Fe) (b)、2Cl-MIL-53(Fe) (c) 和 4Cl-MIL-53(Fe) (d) 的 SEM 图像、Cl 的 TEM 和映射图像(插图)。
SEM和TEM分析确定MIL-53(Fe)催化剂在改性前后的形态。原始的MIL-53(Fe)催化剂具有不规则的纺锤形结构,长度约为0.5µm(图1a)。1Cl-MIL-53(Fe)催化剂呈现规则的棒状纺锤体结构,晶体长度比原来的MIL-53(Fe)催化剂长20µm(图1b)。显然,2Cl-MIL-53(Fe)催化剂的每个配体被两个Cl原子取代后的形状完全变成了棒状(图1c),导致主轴表面消失。4Cl-MIL-53(Fe)催化剂的形态呈现出片状堆叠的花状球形结构,与之前的三种催化剂不同(图1d)。EDX图谱显示了Cl在不同催化剂中的均匀分布和掺杂量的变化,其中4Cl-MIL-53(Fe)催化剂中的Cl含量最低,这些变化与PXRD结果一致。

图2:原始和改性MIL-53(Fe)的XRD图(a)、FTIR光谱(b)、氮吸附-脱附等温线(c)和TGA曲线(d)。
XRD结果图(2a)显示,当四个H原子在对苯二甲酸配体上被Cl取代后,4Cl-MIL-53(Fe)的结晶度发生了很大变化,其特征峰模式与赤铁矿(Fe2O3, JCPDS33–0664)一致。这表明之前的骨架结构不能再合成,而是形成了Fe2O3。所制备材料中存在的化学键类型由FT-IR光谱确定(图2b)。与原始的MIL-53(Fe)催化剂相比,1Cl-MIL-53(Fe)和2Cl-MIL-53(Fe)中芳环在1010-1160cm-1附近的面内C-H弯曲振动加强,表明卤素官能团被掺入到Cl-MIL-53(Fe)催化剂中。然而,4Cl-MIL-53(Fe)的结构坍塌导致MIL-53(Fe)的特征峰消失。图2c表明三个MOF呈现典型的Ⅳ型等温线形状,具有H3磁滞回线,催化剂具有介孔结构。4Cl改性材料的高比表面积归因于结构Fe2O3坍塌后产生的氧空位增加。图2d的热重分析(TGA)表明,MIL-53(Fe)、1Cl-MIL-53(Fe)、2Cl-MIL-53(Fe)的分解趋势相同,280~310℃前的失重来源于材料中的吸附水或结合水分子。随后的失重(370-480℃)对应于MOF结构的坍塌以及有机配体的分解。相似的过程表明,1Cl和2Cl官能团的引入对MIL-53(Fe)的结构没有显著影响。4Cl-MIL-53(Fe)催化剂在分解过程中只有4.48%的重量损失,即催化剂具有超高铁含量和很少的有机配体。这与之前的分析一致,即它已分解为Fe2O3。

图3:TCH在原始和改性MIL-53(Fe)上的光催化降解(a)以及在可见光下MIL-53(Fe)和改性MIL-53(Fe)的相应准一级动力学曲线(b);制备的催化剂在不同体系中的去除效率(c)和相应的反应动力学曲线(d);不同H2O2浓度(e)和初始pH值(f)对2Cl-MIL-53(Fe)降解TCH的影响。
评估了改性后MOFs的光芬顿降解性能。图3a中的MIL-53(Fe)催化剂,其对TCH只有57.2%的降解,而1Cl-MIL-53(Fe)和2Cl-MIL-53(Fe)催化剂的TCH降解显着改善,去除效率分别为72.4%和82.3%。然而,由于缺乏原始MOF结构,4Cl-MIL-53(Fe)的降解率仅为29.7%。图3b展示了2Cl-MIL-53(Fe)的反应速率常数k为0.1087min−1,明显优于MIL-53(Fe)(k=0.0289min−1)和1Cl-MIL-53(Fe) (k=0.0625min−1)。这表明在配体结构中加入Cl可有效提高MOF的光芬顿性能。此外,还评估了不同反应对2Cl-MIL-53(Fe)TCH降解的影响。在不存在催化剂的情况下,可见光或H2O2中的TCH去除可忽略不计(图3c)。与单独使用H2O2(31.3%)或可见光(19.6%)相比,H2O2/vis体系中的2Cl-MIL-53(Fe)催化剂具有更高的降解率(82.3%)。2Cl-MIL-53(Fe)的优异降解能力源于光催化和芬顿效应的协同作用。相应的反应速率常数结果(图3d)表明,2Cl-MIL-53(Fe)催化剂在H2O2和可见光条件下具有最好的降解效率。当H2O2的浓度从25mM增加到50mM时,TCH的去除率提高(图3e)。然而,随着H2O2浓度的进一步增加,降解效率逐渐降低。这可能是因为过量的H2O2作为羟基自由基的清除剂,可以抑制催化剂的降解速率。溶液中Fe和H2O2的形态和活性易受pH影响。如图3f所示,在低或高初始pH值下,对TCH的去除有抑制作用。使用2Cl-MIL-53(Fe)对TCH的降解效率在极端酸碱条件下会降低。然而,初始pH在3.5~8.3之间的反应体系显示出较高的TCH降解效率,表明催化剂在较大的pH范围内表现良好。

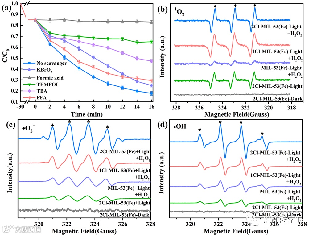
图4:不同清除剂对2Cl-MIL-53(Fe)的TCH降解(a);1O2(b)、•O2-(c)和•OH(d)在不同条件下的ESR光谱。
淬灭实验表明该体系是一个以自由基为主的催化降解过程,结合ESR测试,结果表明•OH、•O2-,和1O2是系统的主要活性物质。

图5:2Cl-MIL-53(Fe)反应前后的Fe 2p光谱(a)、MIL-53(Fe)(b)、1Cl-MIL-53(Fe)(c)和2Cl-MIL-53的DOS图(Fe)(d),催化剂(e)的理论能带结构和等值面图。
XPS结果(图5a)表明,大量光生e−有效地将Fe3+还原为Fe2+。Fe元素结合能的降低也证明了电子云密度的增强,这表明了光催化和Fenton的协同作用。采用基于DFT的能带结构计算方法对MOF的能带结构进行了计算。根据三种MOF的DOS图(图5b、c、d)可以看出,位于费米能级以下的价带主要由Fe和芳族C元素贡献,而位于费米能级之上的导带来源于Fe、C和O中心。这说明苯环上的C元素上产生的光生e−转移到了连接苯环的Fe-O簇上,而Fe元素上产生的电子将流向下一个结构的苯环上的C元素。引入Cl官能团后MOF的总电子密度显着提高,表明电子和空穴数量增加,有利于促进光芬顿反应。Cl官能团的离域有利于提高吸电子能力并导致电子和空穴分离。可以观察到Cl原子对催化剂能带的贡献主要在CB中。对于Fe和O元素,在DOS图(图5d)中可以看出,由于引入了Cl官能团,铁氧体簇上的电子云密度显着增强。这表明Fe元素上将有更多的可用电子来还原Fe3+以产生能量。Fe2+在过氧化氢中的有效活化显着提高了铁氧体簇的催化活性。通过等值面图可以更直观地看出三个MOF中电子云分布(黄色部分)的变化。
小结
采用水热法成功合成了规则的纺锤形 Cl-MIL-53(Fe) 催化剂。合成后的 2Cl-MIL-53(Fe) 晶体表现出更高的降解速率(0.1087 min-1),是纯MIL-53(Fe) (0.0289 min-1) 的 3.8 倍。Cl官能团改善了活性中心Fe原子表面电子云的分布,降低了电子和空穴的复合效率,提高了其催化活性。制备的 2Cl-MIL-53(Fe) 催化剂表现出优异和广泛的降解 TCH 的能力,具有良好的稳定性和可重复使用性。该研究为铁基MOF作为非均相光芬顿催化剂降解水中污染物提供了新思路,也为设计高效、环保、耐用的光芬顿催化剂提供了新方向。
作者简介

王兴悦:吉林大学新能源与环境学院硕士生,导师董双石教授,主要围绕金属有机骨架材料的改性策略、过渡金属在光助活化PMS反应中的作用机制开展了探索性的研究。目前以第一作者在J. Hazard. Mater.和J. Colloid Interface Sci.期刊发表SCI论文2篇。曾吉林大学研究生优秀奖学金和吉林大学优秀研究生等奖项。

董双石:吉林大学新能源与环境学院教授,博士生导师,教育部重大人才计划青年学者,吉林大学唐敖庆学者领军教授,国际水协会(IWA)会员,中国供排水协会青年工作者委员会常务委员,《Frontiers of Environmental Science & Engineering》、《Chinese Chemical Letters》与《净水技术》等杂志青年编委。主要在水污染控制与资源化领域,围绕低能耗高效率绿色环境功能材料研发与应用前沿科学问题,针对水中毒性/抑制性污染物去除难题,开展深入的研究工作。承担多项国家与省部级科研项目,在Environ. Sci. Technol.,Water Res., Appl. Catal. B: Environ., Chem. Eng. J., J. Catal.,和J. Hazard. Mater. 等期刊发表学术论文近百篇,研发的催化生物降解直接耦合工艺在多家企业中试取得良好应用。
dongshuangshi@gmail.com。
声明
本文仅供科研分享,不做盈利使用,如有侵权,请联系后台小编删除
“邃瞳科学云”直播服务
“邃瞳科学云"平台正在收集、整理各类学术会议信息,欢迎学会、期刊、会议组织方择优在邃瞳平台上进行线上直播,希望藉此帮助广大科研人员跨越时空的限制,实现自由、畅通地交流互动。欢迎老师同学们提供会议信息(会有礼品赠送),学会、期刊、会议组织方商谈合作,均请联系翟女士:18612651915(微信同)。
投稿、荐稿、爆料:Editor@scisight.cn
扫描二维码下载
邃瞳科学云APP

