
第一作者:Qiaowan Chang, Yumeng Liu
通讯作者:陈经广,Ji Hoon Lee,Shyam Kattel
论文DOI:https://doi.org/10.1021/jacs.2c06953

全文速览
非贵过渡金属 (TM) 单原子催化剂 (SAC) 通常表现出独特的电化学性能,尤其在电化学二氧化碳还原反应 (CO2RR) 中。然而,它们的结构不均匀性使得很难直接比较不同TM SAC 的 CO2RR 活性、选择性和反应机理。本文通过使用一系列结晶分子催化剂,即 TM 配位酞菁 (TM-Pcs),系统地研究了孤立 TM(Fe、Co、Ni、Cu 和 Zn)之间的差异,进而直接比较具有相同局域配位环境的 TM在 CO2RR 电催化中的作用。结合TM-Pc 催化剂的实验测量、原位表征和密度泛函理论计算,揭示了与 TM 相关的 CO2RR 活性和选择性,其中,ΔG(*HOCO) – ΔG(*CO) 的自由能差被认为是可用于预测 CO2RR 性能的描述符。

背景介绍
众所周知,贵金属(例如金 (Au)、银 (Ag) 和钯 (Pd))基电催化剂已被广泛研究用于 CO2RR。其中,单原子催化剂 (SACs)因其具有高的原子利用率和本征活性,也引起了极大的关注。尽管过渡金属 (TMs) 的 SACs 具有高活性和高成本效益的特点,但是,TM 中心周围的催化机制和局域配位环境尚不明确,这是由于碳质载体中的不同缺陷部分(N、S、O 等,可以稳定 TM 并导致不同的电子/几何效应)所导致的。在不同 TM SACs 中,研究人员观察到不同 CO2RR 活性,甚至在用不同合成条件(例如退火温度)制备的相同SACs 中也发现了不同的 SACs 结构和活性。例如,不同文献中的 Co-SACs的 CO 选择性截然不同(24%到94%)。因此,该现象突出了直接比较具有相同局域配位环境的不同 TM SACs用于了解其独特的 CO2RR 性能起源的紧迫性和重要性。
本文通过使用一系列 TM 基酞菁(TM-Pcs,TM = Fe、Co、Ni、Cu 和 Zn),系统地研究了孤立的TM 环境对 CO2RR 的内在影响,其中,所有定义明确的TM-Pcs 都存在金属-氮 (TM-N4)单元。CO2RR 产物分布在不同 TM上具有显著差异。在-0.7 V vs 可逆氢电极(RHE)下,CO选择性的顺序为Co-Pc > Ni-Pc ≫ Fe-Pc > Cu-Pc > Zn-Pc。Co-Pc的CO分电流密度比 Zn-Pc的要高出近3 个数量级。这与最近关于 SACs 的报道不同,在该报道中,Co基 SACs专门用于析氢反应 (HER,CO2RR 的主要竞争反应)。原位 X 射线表征测量证实,孤立 TM 的TM-N4 配位结构在 CO2RR 期间可以被保留。密度泛函理论 (DFT) 计算确定了一个通用描述符(*HOCO 和 *CO 之间的自由能差异),用于理解和预测不同 TM-Pcs 的 CO2RR 性能。其中,DFT 理论计算结果与全电势范围内的实验数据之间存在线性相关性。当前研究结果有助于理解不同孤立 TM 的作用,并报道了一种通用描述符,用于设计改进 CO2RR 催化剂。

图文解析
图1. TM-Pcs的结构分析。(A) TM-Pc 化学单元上的 CO2RR 示意图。(B) 一系列 TM-Pcs 的XRD图谱(基于同步加速器)。(C) 不同粉末 TM-Pcs 的TM K-edge XANES 曲线。
图 2. 在 (A) -0.6 V、(B) -0.7 V、(C) -0.8 V、(D) -0.9 V、(E) -1.0 V 和 ( F) -1.1 V下,不同 TM-Pcs 的CO2RR产物。

图 3. 在 -0.7 V 时,不同TM-Pc的电化学 CO2RR 性能。在不同TM-Pc 上得到的 (A) 不同产物的法拉第效率,(B) 不同产物的部分电流密度,以及 (C) CO/H2 比率。(D) Co-Pc 和 (E) Zn-Pc 的稳定性测试。
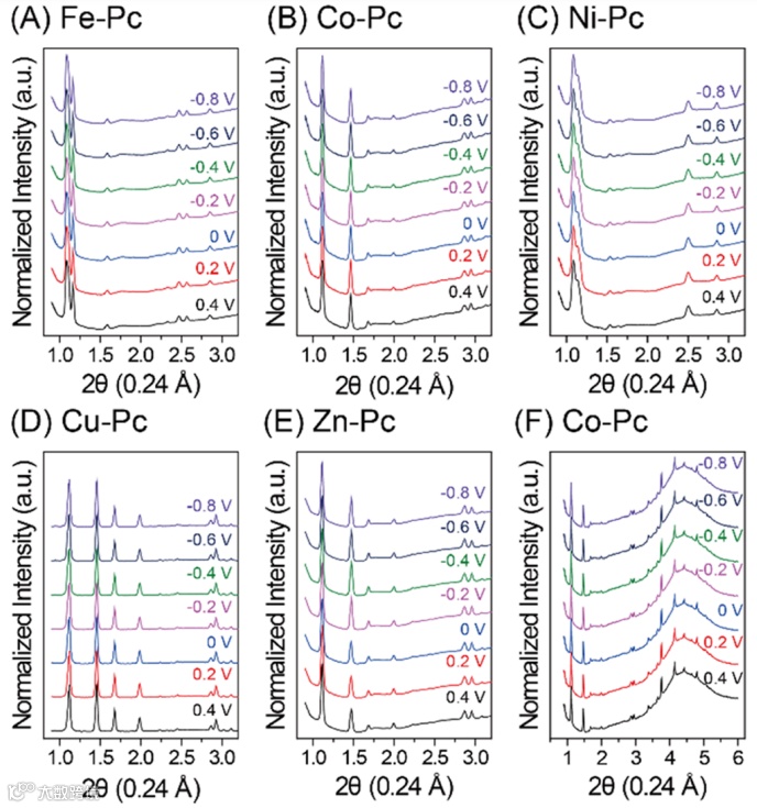
图 4. 在 0.4 到 -0.8 V 范围内的不同 TM-Pc的原位 XRD图谱,间隔为0.2 V。
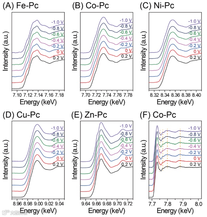
图 5. 一系列 TM-Pcs 的原位 XANES;其电位范围为 0.2 至 -0.8 V,间隔为0.2 V。
图 6. 实验结果与 DFT 计算之间的关系。(A) V = 0 V 时,CO2RR 的自由能图。(B) 在不同 TM-Pc 上,反应中间体自由能之间的线性标度。(C) 不同 TM-Pc 上的 *HOCO 和*CO 自由能。(D) *HOCO 和 *CO 吸附自由能差异与-0.7 V 时的 J(CO)的关系图。

总结与展望
基于上述结果,本文在一系列 TM-Pcs(TM = Fe、Co、Ni、Cu 和 Zn)上研究了 CO2RR 性能。这提供了一条系统的途径,用于明确研究具有相同局域配位环境的孤立 TM 的活性和选择性。结合电化学评估、原位 X 射线分析和 DFT 计算,发现了 Co-Pc 在所有 TM-Pcs 中实现了最佳的 CO2RR 活性(FE(CO) 和 J(CO))。这是由于其*HOCO 和 *CO 在催化活性 TM中心上的最佳结合强度所导致的。DFT计算的结合能表明在TM-Pc中,TM中心对反应中间体的结合亲和力决定了CO2RR活性。此外,DFT 计算观察到的 ΔG(*HOCO) – ΔG(*CO)自由能差与实验观察到的 J(CO) 之间的线性相关性表明,ΔG(*HOCO) – ΔG(*CO) 可以用作CO2RR 活性的潜在描述符,用于设计提升定义明确的TM SACs 的活性。
声明
本文仅供科研分享,不做盈利使用,如有侵权,请联系后台小编删除
“邃瞳科学云”直播服务
“邃瞳科学云"平台正在收集、整理各类学术会议信息,欢迎学会、期刊、会议组织方择优在邃瞳平台上进行线上直播,希望藉此帮助广大科研人员跨越时空的限制,实现自由、畅通地交流互动。欢迎老师同学们提供会议信息(会有礼品赠送),学会、期刊、会议组织方商谈合作,均请联系翟女士:18612651915(微信同)。
投稿、荐稿、爆料:Editor@scisight.cn
扫描二维码下载
邃瞳科学云APP

